Denkschrift 2003
1 Vorwort
Die Denkschrift stellt die wesentlichen Ergebnisse von Prüfungen des Rechnungshofs und der Staatlichen Rechnungsprüfungsämter aus den Jahren 2002/2003 dar. Sie enthält damit die Informationen, die für die Entlastung der Landesregierung von Bedeutung sind. In ihr wird zwar eine Vielzahl von Einzelfeststellungen aufgezeigt, dennoch soll sie kein abschließender Bericht der Finanzkontrolle über ihre Tätigkeit für diesen Zeitraum sein. Aus diesen Einzeldarstellungen lassen sich auch keine allgemeinen Schlüsse zur Qualität der Landesverwaltung herleiten. Die finanziellen Ergebnisse der Prüfungen wurden grundsätzlich in Euro (€) dargestellt, auch wenn sie frühere Jahre betreffen. Die Zahlenangaben zur Landeshaushaltsrechnung, zu Haushaltsplan und Haushaltsvollzug sowie zu den Landesschulden sind entsprechend der Rechnungslegung in DM ausgewiesen; die nachrichtlichen Betragsdarstellungen in € können infolge von Rundungsdifferenzen Unterschiede zu korrespondierenden DM-Beträgen aufweisen. Im Berichtszeitraum hat der Rechnungshof zwei Beratende Äußerungen vorgelegt. Am 11. Juni 2002 veröffentlichte er seine Untersuchung zu den „Zuschüssen und sonstigen Leistungen an die Fraktionen des Landtags in der 12. Wahlperiode“ (DS 13/1061) und am 09. April 2003 die Beratende Äußerung „Wirtschaftlichkeit des öffentlichen Statistikwesens in Deutschland - Folgerungen für Baden-Württemberg“ (DS 13/1972). Letztere ergänzt die Denkschriftbeiträge des Vorjahres (Nrn. 13 und 14) zum gleichen Thema und schlägt, gestützt auf einen Bundesvergleich, eine weitere erhebliche Verschlankung des Statistischen Landesamts vor. Die Krise der öffentlichen Haushalte macht auch vor dem Land Baden-Württemberg nicht Halt. Im Jahr 2002 betrug die haushaltsmäßige Nettokreditaufnahme des Landes 1,9 Mrd. € und liegt damit um rd. 0,4 Mrd. € unter der des Vorjahres (Nr. 3). Wird die Nettokreditaufnahme des Vorjahres um die zweckgebundene Kreditaufnahme für den Erwerb einer stillen Beteiligung an der Landesbank Baden-Württemberg von rd. 1,0 Mrd. € bereinigt, ergibt sich im Jahr 2002 ein um rd. 0,6 Mrd. € höherer Kreditbedarf als im Vorjahr. Damit erhöht sich die Kreditfinanzierungsquote auf 6,1 % im Jahr 2002 gegenüber 4,0 % im Vorjahr. Beim Vergleich der Pro-Kopf-Verschuldung liegt das Land weiterhin auf dem dritten Platz aller Flächenländer, unter den acht alten Flächenländern nimmt es unverändert den zweiten Platz ein. Infolge der Erhöhung des Schuldenstandes sind auch die Zinsausgaben gestiegen. Mit weiteren Erhöhungen ist zu rechnen, da ungewiss ist, wie lange das derzeit äußerst niedrige Zinsniveau anhalten wird. Der noch größere Lastenblock aus künftigen Pensionsverpflichtungen des Landes lässt sich bisher nicht aus dem Landeshaushalt entnehmen. Hier will die Regierung künftig einen Ausweis vornehmen, um dem Parlament und der Öffentlichkeit die noch ungelöste Zukunftsaufgabe vor Augen zu führen. Angesichts der wirtschaftlichen Rahmendaten und der Ergebnisse der Steuerschätzung vom Mai 2003 erscheint es der Landesregierung fraglich, ob sie das Ziel verwirklichen kann, ab 2006 einen Haushalt ohne Nettoneuverschuldung zu erreichen. Zur nachhaltigen Sanierung des Landeshaushalts bleiben damit die Aufgabenfelder Personalabbau, Aufgabenkritik, vorbehaltlose Durchforstung von Förderprogrammen sowie ein insgesamt restriktiver Haushalts-vollzug. Im Blick auf die schwierige Finanzlage des Landes ist insbesondere ein sorgsamer Umgang mit Vermögen des Landes und mit Steuermitteln geboten. Diese Maxime wird, wie verschiedene Beispiele der Denkschrift belegen, nicht immer beachtet. So können die Anfang der 90er Jahre für rd. 130 Mio. € errichteten Behelfsbauten zur Unterbringung von Spätaussiedlern auch heute noch sinnvoll genutzt werden. Der jetzt in vielen Fällen anstehende Abbruch der Unterkünfte ist nicht zu verantworten, weil Werte vernichtet werden und zusätzliche Kosten für Ersatzlösungen entstehen (Nr. 31). Die Universitätsklinika können dem Land jährlich rd. 3 Mio. € an Zinsaufwendungen allein dadurch sparen helfen, dass sie die Investitionsmittel erst bei konkretem Bedarf beim Land abrufen (Nr. 32). Eine ähnliche Konstellation zeigt sich bei der Stiftung Naturschutzfonds, die nicht benötigte Landeszuweisungen verzinslich anlegen kann, während das Land selbst Kredite aufnehmen muss (Nr. 22). Auch bei der Förderung von Gewerbegebieten im ländlichen Raum sollten die Mittel erst vollständig ausgezahlt werden, wenn die neuen Flächen zu über drei Viertel belegt sind; damit wird verhindert, dass Fördermittel des Landes auf Vorrat gebunden werden. Immerhin traf dies auf etwa die Hälfte der bewil-ligten rd. 30 Mio. € zu (Nr. 20). Problematisch ist der erhebliche Umfang, den die verlagerten Verpflichtungen angenommen haben. Das Land hat seit vielen Jahren Möglichkeiten geschaffen, landespolitisch bedeutsame Vorhaben außerhalb des Landeshaushalts vorzufinanzieren. Demzufolge hat sich auch der Schuldenstand des Landes bei der „Finanzierungsgesellschaft für öffentliche Vorhaben des Landes Baden-Württemberg mbH“ deutlich erhöht. Diese Gesellschaft sollte aufgelöst werden, die Kreditaufnahme sollte aus wirtschaftlichen Gründen und im Interesse der Haushaltsklarheit wieder unmittelbar durch das Land erfolgen (Nr. 8). Einige Beiträge werfen ein kritisches Licht auf den Umgang mit haushaltsrechtlichen Vorgaben. So waren in den Landesvertretungen in Berlin und Brüssel ungenehmigte Konten vorhanden; sogar Fehlbeträge waren nicht aufzuklären (Nr. 11). Kritisch ist auch die Gewährung einer hohen Spende der früheren Landesholding im Hinblick auf die Zuständigkeit des Landtags für die Haushaltsgesetzgebung zu bewerten (Nr. 15). Die Wahrnehmung der Aufgaben durch Einrichtungen des Landes kann, wie verschiedene Beiträge zeigen, wirtschaftlicher gestaltet werden. So kann durch organisatorische und personelle Maßnahmen die Haushalts- und Wirtschaftsführung beim Haus der Heimat (Nr. 12), beim Landesgewerbeamt (Nr. 19) und bei der Landesanstalt für Umweltschutz (Nr. 27) verbessert werden. Bei den Vertretungen des Landes beim Bund und bei der Europäischen Union bestehen Wirtschaftlichkeitsreserven, wenn diese ihre Veranstaltungen kostenbewusster abwickeln (Nr. 11). Untersuchungen der Aufgabenwahrnehmung im Straßenbau zeigen, dass die Verwaltung bei entsprechender Konzeption und Bildung von Auswahlkriterien ihre Aufgaben wirtschaftlicher und zielgerichteter ausführen könnte. So fehlen derzeit Kriterien, nach welchen die Rangfolge der Vorhaben objektiv priorisiert und wirtschaftlich sinnvoll realisiert werden können. Bei allem Verständnis für den Bedarf an Vorratsplanungen erscheint der Anteil der Planungskosten an den ausgegebenen Baumitteln überzogen (Nr. 9). Bei Planung und Bau von Rad- und Gehwegen fehlen andererseits Richtwerte für die Höhe angemessener Baukosten, weshalb zu viele Mittel in die einzelne Maßnahme fließen (Nr. 25). Mehrere Beiträge der Denkschrift beschäftigen sich mit dem Thema „Personal“. Sie zeigen einerseits auf, dass der Einsatz des Personals vielfach rationeller erfolgen könnte, wenn der Gesetzgeber durch entsprechende Neuregelung den Weg zu personalsparenden Verfahren öffnen oder die Verwaltung die bestehenden gesetzlichen Spielräume nutzen würde. So könnten in Baden-Württemberg allein 418 Personalstellen eingespart und damit der Landeshaushalt um rd. 20,9 Mio. € entlastet werden, wenn der Bundesgesetzgeber die Kraftfahrzeugsteuer auf die Mineralölsteuer umlegen würde. Selbst wenn eine solche Umlegung nicht erfolgen sollte, könnte das Land durch entsprechende Verfahrensverbesserungen rd. 22 Personalstellen abbauen (Nr. 28). In der Betreuung von IuK-Arbeitsplätzen ist zuviel Personal gebunden. Durch die Umstellung auf das erforderliche Maß können dort 120 Stellen in der IuK-Aus- und Fortbildung eingesetzt und weitere 240 eingespart werden (Nr. 7). Bei der Landesanstalt für Umweltschutz lassen sich rund 30 Personalstellen durch eine schlankere Aufbauorganisation und eine den Aufgaben angemessene Personalausstattung einsparen (Nr. 27). Im Bereich des Strafvollzugs kann die derzeit noch bestehende, aber nicht mehr erforderliche Einweisungskommission bei der Justizvollzugsanstalt Stuttgart aufgelöst werden (Nr. 14). Bei den allgemein bildenden Schulen könnte die Leitung durch organisatorische Maßnahmen und die Einführung von Schulassistenten effizienter gestaltet werden. Vor allem könnten sich die Schulleitungen auf ihr eigentliches Kerngeschäft, die innere Schulentwicklung, konzentrieren. Die Vorschläge des Rechnungshofs ließen sich kostenneutral umsetzen (Nr. 13). Die Prüfungen im Personalbereich sind nicht einseitig auf Wirtschaftlichkeit ausgerichtet. So gilt es zu gewährleisten, dass etwa Korruptionsfällen in besonders anfälligen Bereichen präventiv gegengewirkt wird, indem beispielsweise die Personalverwaltung auf hohe Schulden reagiert (Nr. 4). Wieder finden sich auch Beispiele dafür, dass der Einsatz der Datenverarbeitung in der Landesverwaltung wirtschaftlich weiter optimiert werden kann, aber auch muss. Dies könnte durch Verbesserung des Projektmanagements bei der Entwicklung von Anwendungen im Justizbereich (Nr. 5), des Verfahrens bei der Beschaffung von IuK-Geräten (Nr. 6) und der Schulung des Personals (Nr. 7) erfolgen. Einen weiteren Schwerpunkt der Denkschrift stellt der Zuwendungsbereich dar. Förderprogramme sollten, soweit wie möglich, konzeptionell verknüpft sowie Fördertatbestände und -verfahren systematischer und transparenter geregelt werden, um die Effizienz der jeweiligen Förderung zu erhöhen. Dabei sollten auch die vorhandenen Kontrollmechanismen verbessert werden, sodass Zuwendungen bedarfsorientiert gewährt werden. Letztlich können solche Maßnahmen auch zu einem zielgerichteten und wirtschaftlichen Einsatz von Fördermitteln führen. Dies zeigen die Beiträge Verbraucherzentrale (Nr. 17), Berufliche Bildung (Nr. 18), Erschließung von Gewerbegelände (Nr. 20), PLENUM-Projekte (Nr. 21), Förderung von Omnibusbetriebshöfen und Werkstätten nach dem Gemeindeverkehrsfinanzierungsgesetz (Nr. 24) und Zuschüsse für Anschlüsse von Einzelanwesen im ländlichen Raum an die öffentliche Kanalisation (Nr. 26). Auf die Steuereinnahmen wirken sich neben der wirtschaftlichen Entwicklung auch die sehr komplexen Regelungen des Steuerrechts negativ aus. Dies belegen zwei Untersuchungen zur Einkommensteuer. So hat der Gesetzgeber mit den Neuregelungen zur Verlustverrechnung das Einkommensteuerrecht wesentlich verkompliziert. Diese Bestimmungen sind für die Verwaltung und den Steuerbürger kaum nachzuvollziehen. Das Ziel, mit der Einführung der Mindestbesteuerung die Einnahmesituation nachhaltig zu verbessern, wird nicht erreicht werden. Stattdessen sind künftige Mindereinnahmen zu befürchten (Nr. 29). Zu solchen Mindereinnahmen kann es ebenso kommen, wenn Verwaltungsvorgaben des Bundes nicht zeitnah umgesetzt werden, wie z.B. ein Erlass des Bundesfinanzministeriums vom 11.07.2002 zur einkommensteuerlichen Behandlung hoher Kirchensteuererstattungen. Infolge der Prüfungen der Finanzkontrolle konnten vor Eintritt der Verjährung noch Steuern von rd. 3,73 Mio. € zusätzlich festgesetzt werden (Nr. 30). Außerhalb des Landeshaushaltes, aber letztlich unter der Mitverantwortung von Landtag und Landesregierung, steht die Finanzierung der Landesanstalt für Kommunikation. Sie wird über einen prozentualen Anteil an der Rundfunkgebühr finanziert, wodurch sie auch an jeder Gebührenerhöhung unabhängig vom tatsächlichen Bedarf beteiligt ist. Dieses Finanzierungssystem hat bei dieser Anstalt zu einer Finanzausstattung geführt, die den tatsächlichen Bedarf erheblich übersteigt. Daher sollte das Finanzierungssystem entsprechend angepasst werden. Ferner könnten durch eine verstärkte Kooperation im Bereich der Medienaufsicht zwischen den Ländern Synergiegewinne erzielt werden (Nr. 10). 2 Parlamentarische Beratung der Denkschrift 2002 Die parlamentarische Beratung der Denkschrift 2002 (DS 13/1174) mit Bemerkungen zur Landeshaushaltsrechnung 2000 ist abgeschlossen. Der Landtag hat in seiner 40. Sitzung am 20.02.2003 die in der Landeshaushaltsrechnung für das Hj. 2000 nachgewiesenen üpl. und apl. Ausgaben und die vom Rech-nungshof in seiner Denkschrift darüber hinaus festgestellten weiteren Überschreitungen genehmigt (Art. 81 Satz 3 LV) und der Landesregierung gemäß Art. 83 Abs. 1 LV Entla-stung erteilt (DS 13/1749). Er hat die Regierung ferner ersucht (§ 114 Abs. 2 und 4 LHO), bestimmte Maßnahmen zu treffen und ihm hierüber zu berichten (DS 13/1748). Einzelheiten ergeben sich aus der Anlage 1 zu dieser Denkschrift. Der Landtag hat in der Sitzung am 20.02.2003 ferner beschlossen, den Präsidenten des Rechnungshofs hinsichtlich der Rechnung des Rechnungshofs für das Hj. 2000 nach § 101 LHO zu entlasten (DS 13/1750).
Anhänge
1 Vorlage und Gestaltung
Auf Grund von Art. 83 Abs. 1 LV und § 114 Abs. 1 LHO hat das FM die LHR für 2001 am 22.01.2003 dem Landtag vorgelegt (DS 13/1656).
Die LHR ist den Vorschriften der §§ 81 - 86 LHO entsprechend gestaltet. Sie enthält alle in § 81 Abs. 1 und 2 LHO vorgeschriebenen Angaben für den Nachweis der bestimmungsgemäßen Ausführung des StHpl. Die finanziellen Gesamtergebnisse der Haushaltsführung sind in
- einem kassenmäßigen Abschluss gemäß § 82 LHO (Ist-Ergebnisse ohne Haushaltsreste),
- einem Haushaltsabschluss gemäß § 83 LHO (Ist-Ergebnisse zuzüglich Haushaltsreste) und in
- einer Gesamtrechnung (Soll-Ist-Vergleich, Gesamtsummen der Epl.)
dargestellt.
Der kassenmäßige Abschluss, der Haushaltsabschluss und die Gesamtrechnung sind gemäß § 84 LHO auf S. X der LHR erläutert. Die in § 85 Abs. 1 LHO genannten Übersichten sind der LHR beigefügt (S. 1115 - 1144 und 1155 - 1159). Weitere Erläuterungen über den Haushaltsvollzug geben die der LHR beigefügten besonderen Übersichten auf den S. XLVI - LXXXVIII.
2 Ergebnisse (verkürzt dargestellt)

Die nach Art. 84 Satz 1 LV hierfür erforderlichen Kreditermächtigungen ergeben sich aus § 4 Abs. 1 Satz 1 Nr. 2 und Satz 2 StHG 2000/01 i. V. m. § 18 Abs. 3 Satz 1 LHO.
3 Feststellungen nach § 97 Abs. 2 Nr. 1 LHO
Die in der LHR aufgeführten Beträge der Einnahmen und Ausgaben stimmen mit den in den Rechnungslegungsbüchern nachgewiesenen Beträgen überein. In den geprüften Rechnungen sind - außer dem in Beitrag Nr. 11 dargestellten Fall - keine Einnahmen oder Ausgaben festgestellt worden, die nicht belegt waren.
4 Druck- und Darstellungsfehler
Bei der Gesamtrechnungsprüfung hat der RH keine wesentlichen Druck- und Darstellungsfehler in der LHR feststellen können.
5 Haushaltsüberschreitungen
Über- und außerplanmäßige Ausgaben bedürfen der vorherigen Zustimmung des FM, die nur im Falle eines unvorhergesehenen und unabweisbaren Bedürfnisses erteilt werden darf. Die üpl. Ausgaben samt Vorgriffen sowie die apl. Ausgaben sind in der LHR einzeln nachgewiesen und in der Übersicht 1 (S. 1115 - 1144) zusammengestellt und begründet. Sie betragen insgesamt rd. 291 Mio. DM (149 Mio. €) - Vorjahr rd. 238 Mio. DM (122 Mio. €). Hiervon entfallen 174 Mio. DM (60 %) auf
- apl. Ausgaben von 80 Mio. DM für die Gewährung von Heizkostenzuschüssen nach dem Heizkostenzuschussgesetz, denen zweckgebundene apl. Einnahmen aus Zuweisungen des Bundes in gleicher Höhe gegenüberstehen,
- apl. Ausgaben von 24 Mio. DM zur Durchführung des Zukunftsinvestitionsprogramms des Bundes für Berufliche Schulen (Z/BS), denen ebenfalls zweckgebundene apl. Einnahmen aus Zuweisungen des Bundes in gleicher Höhe gegenüberstehen,
- Mehrausgaben von 56 Mio. DM für längerfristige Krankheitsstellvertretungen zur Vermeidung von Unterrichtsausfall,
- Mehrausgaben von 14 Mio. DM für Gerichtsvollzieher, insbesondere wegen Aufgabenzuwachses.
Der Anteil der Personalausgaben beträgt rd. 87 Mio. DM (44 Mio. €).
Die üpl. und apl. Ausgaben über 200.000 DM im Einzelfall wurden dem Landtag mit Schreiben des FM vom 10.09.2002 (DS 13/1308) gemäß § 7 Abs. 4 StHG 2000/01 mitgeteilt. Der Finanzausschuss des Landtags hat in seiner 16. Sitzung am 26.09.2002 hiervon Kenntnis genommen.
Nach den Ergebnissen der Rechnungsprüfung fehlt es bei den üpl. und apl. Ausgaben von 1.000 DM und mehr im Hj. 2001 in 60 Fällen an der Einwilligung des FM. Die Summe dieser Überschreitungen beträgt 6.057.823,84 DM (Vorjahr 3.471.740,31 DM). Auf Personalausgaben entfallen insgesamt 309.054,44 DM.
Die vom FM bewilligten Abweichungen von den Stellenübersichten sind in der Übersicht 1 A zur LHR dargestellt und begründet.
Die üpl. und apl. Ausgaben bedürfen nach Art. 81 Satz 3 LV der Genehmigung des Landtags. Sie wurde, zugleich für die Abweichungen von den Stellenübersichten, vom FM im Zusammenhang mit der Vorlage der LHR (s. Pkt. 1) beantragt.
6 Buchungen an unrichtiger Stelle
Der RH hat bei stichprobenweiser Prüfung Fälle von Buchungen an unrichtiger Haushaltsstelle - sog. Titelverwechslungen - (Verstöße gegen § 35 Abs. 1 LHO) festgestellt, die auf Versehen der Verwaltung beruhen. Sie sind von relativ geringer Auswirkung auf das Gesamtbild des Haushalts und in der Anlage 2 dargestellt, soweit hierdurch eine Überschreitung von mehr als 2.000 DM verursacht worden ist. Bei richtiger Buchung wären die üpl. und apl. Ausgaben um 15.002,01 DM (7.670,41 €) niedriger gewesen.
Anhänge
1 Haushalts-Soll und Haushalts-Ist im Haushaltsjahr 2001
Der LHR 2001 liegen zu Grunde
- das Gesetz über die Feststellung des StHpl. für die Hj. 2000 und 2001 vom 15.02.2000 (GBl. S. 89),
- das Gesetz über die Feststellung eines Nachtrags zum StHpl. für die Hj. 2000 und 2001 vom 27.07.2000 (GBl. S. 545),
- das Gesetz über die Feststellung eines Zweiten Nachtrags zum StHpl. für das Hj. 2001 vom 01.10.2001 (GBl. S. 546).
Danach war der StHpl. 2001 in Einnahme und Ausgabe auf 62.305.852.900 DM (31.856.476.739 €) festgestellt. Auf Grund von § 5 LHO und § 16 StHG 2000/01 hat das FM mit Rundschreiben vom 08.12.2000 (GABl. 2001 S. 127) die zur Ausführung des StHpl. 2001 erforderlichen Anordnungen erlassen.
Das rechnungsmäßige Jahresergebnis 2001 (Ist + Reste 2001) weist gegenüber dem Haushalts-Soll (Haushaltsansatz + Reste 2000)
Mindereinnahmen von 419.250.199,54 DM (214.359.223,21 €)
Mehrausgaben von 109.785.452,45 DM (56.132.410,51 €)
per Saldo somit einen Fehlbetrag von 529.035.651,99 DM (270.491.633,72 €)
aus.
Wie sich die Mindereinnahmen und die Mehrausgaben aus den Teilergebnissen bei den Epl. zusammensetzen, ergibt sich aus Spalte 10 der Anlage 1 zur Gesamtrechnung auf den S. XXXVI/XXXVII und den Erläuterungen hierzu auf den S. XLVI bis LIII.
2 Jahresvergleich
Die Übersichten 1 und 2 geben einen auf die Hj. 1994 bis 2002 bezogenen Überblick über die Entwicklung der Gesamt-Ist-Ausgaben im Vergleich zu den Haushaltsansätzen sowie der Ist-Ausgaben je Hauptgruppe und je Epl. Zur Übersicht 1 wird darauf hingewiesen, dass die Drittmittel der Universitäten seit dem Jahr 2000 nicht mehr im Soll veranschlagt sind. Die Gliederung nach Hauptgruppen entspricht dem für Bund und Länder einheitlichen Gruppierungsplan (§ 10 Abs. 2 HGrG und § 13 Abs. 2 LHO) mit der Abweichung, dass die Ausgaben für den Schuldendienst, für Zuweisungen und Zuschüsse mit Ausnahme für Investitionen, für Baumaßnahmen, für sonstige Investitionen und Investitionsförderungsmaßnahmen sowie für die besonderen Finanzierungsausgaben unter der Bezeichnung „Übrige Ausgabegruppen“ zusammengefasst sind. Da die Rechnungslegung bis einschließlich Hj. 2001 noch in DM erfolgt ist, sind - der besseren Vergleichbarkeit wegen - auch die Übersichten bis zu diesem Hj. in DM erstellt.


3 Globale Minderausgabe bei Kapitel 1212 Titel 972 01
Für das Hj. 2001 waren globale Minderausgaben von 200 Mio. DM veranschlagt; sie verteilen sich auf die Epl. wie in der Übersicht 3 dargestellt.

Über die Einsparungen wurden von den Ressorts Nachweise erbracht.
4 Haushaltsreste und Vorgriffe
4.1 Haushaltsjahr 2001
Beim Abschluss der LHR für das Hj. 2001 sind folgende Reste in das Hj. 2002 übertragen worden:
Einnahmereste 3.757.527.243,63 DM (1.921.193.173,04 €)
Ausgabereste 2.680.069.822,39 DM (1.370.297.941,23 €)
Überschuss Einnahmereste 1.077.457.421,24 DM (550.895.231,81 €)
Auf die Angaben in Nr. 1 Pkt. 2 dieser Denkschrift über die Zusammensetzung der Einnahmereste und auf die S. LIV - LVII der LHR über die Aufgliederung der Ausgabereste wird hingewiesen.
Das FM hat dem Finanzausschuss des Landtags mit Schreiben vom 19.08.2002 gemäß § 7 Abs. 5 StHG 2000/01 die in das Hj. 2002 übertragenen Ausgabereste mitgeteilt. Der Finanzausschuss hat hiervon in seiner 16. Sitzung am 26.09.2002 Kenntnis genommen.
Wie in den Vorjahren war die Landesregierung nach § 9 Abs. 2 StHG 2002/03 ermächtigt, unverbrauchte Mittel aus übertragbaren Bewilligungen (Ausgabereste) in Abgang zu stellen; sie hat diese Ermächtigung im Umfang von 163 Mio. DM ausgeschöpft.
4.2 Jahresvergleich
Die Übersichten 4 und 5 zeigen, wie sich die Haushaltsreste in den letzten Jahren entwickelt und wie sich die Ausgabereste auf die verschiedenen Ausgabearten verteilt haben. Bei den Einnahmeresten handelt es sich im Wesentlichen um die noch nicht verbrauchten Kreditermächtigungen.
Die Höhe der Haushaltsreste 2002 stand zum Zeitpunkt des Abschlusses der Denkschriftberatungen noch nicht fest.


Anhänge
Die haushaltsmäßige Nettokreditaufnahme belief sich im Hj. 2002 auf rd. 1,9 Mrd. €. Durch die erneute erhebliche Neuverschuldung zur Finanzierung des regulären Haushalts sind die echten Schulden des Landes zum Ende des Jahres 2002 auf rd. 35,1 Mrd. € angewachsen. Außerdem sind auch die sogenannten verlagerten Verpflichtugnen auf jetzt 640,8 Mio. € gestiegen.
1 Schuldenentwicklung
1.1 Die Verschuldung des Landes ist im Hj. 2002 wiederum erheblich angestiegen. Die Landesschulden und verlagerten Verpflichtungen haben sich wie folgt verändert:

Im Laufe des Jahres 2002 nahm das Land auf Grund der Ermächtigung im StHG Kassenverstärkungskredite an 130 Tagen (Vorjahr 46 Tage) in Anspruch. Mit 1.311,2 Mio. € war am 06.05.2002 die höchste Kreditaufnahme zu verzeichnen. Am 31.12.2002 waren Kassenkredite in Höhe von 250 Mio. € aufgenommen.
1.2 Die Schulden einschließlich der verlagerten Verpflichtungen sind 2002 um 1.592,4 Mio € (841,2 Mio. € weniger als im Vorjahr) gestiegen (Schaubild 1).

Im Hj. 2002 sind am Kapitalmarkt 5.384,9 Mio. € neue Darlehen aufgenommen worden. Gleichzeitig wurden 3.521,2 Mio. € - davon 351,1 Mio. € außerordentlich - getilgt. Die haushaltsmäßige Nettokreditaufnahme (Schaubild 2) war folglich 2002 mit 1.863,7 Mio. € um 393,5 Mio. € geringer als im Vorjahr (2.257,2 Mio. €). Bei diesem Vergleich ist jedoch zu berücksichtigen, dass im Jahr 2001 der Erwerb einer stillen Beteiligung an der LBBW in Höhe von 1.009,7 Mio. € kreditfinanziert war. Bei Bereinigung dieser zweckgebundenen Kreditaufnahme des Vorjahres ergibt sich im Jahr 2002 ein um 616,2 Mio. € höherer Kreditbedarf als im Jahr 2001. Die gegenüber der haushaltsgesetzlichen Kreditermächtigung von 1.017,5 Mio. € um 846,2 Mio. € höhere Nettokreditaufnahme wurde durch die Inanspruchnahme der in den Vorjahren nicht voll ausgeschöpften haushaltsgesetzlichen Kreditermächtigungen finanziert. Danach sind Ende des Hj. 2002 in Form von Einnahmeresten noch 941,8 Mio. € nicht in Anspruch genommene Kreditermächtigungen früherer Haushaltsjahre verblieben. Im Übrigen ist für den Kreditbedarf der nachfolgenden Haushaltsjahre von wesentlicher Bedeutung, dass der Landeshaushalt 2002 nicht wie im Vorjahr mit einem Überschuss (204,6 Mio. €), sondern mit einem kassenmäßigen Fehlbetrag in Höhe von 471,5 Mio. € abgeschlossen hat.
Der gegenüber der Nettokreditaufnahme von 1.863,7 Mio. € um 382,6 Mio. € geringere Zuwachs der Kreditmarktschulden zum 31.12.2002 (1.481,1 Mio. €) ist darauf zurückzuführen, dass von den im Jahre 2002 haushaltsmäßig gebuchten Krediten einerseits 373,6 Mio. € bereits im Jahr 2001 valutiert waren und andererseits 9 Mio. € erst im Jahr 2003 valutiert wurden.

Die im Jahr 2002 um 30,9 Mio. € reduzierten Schulden gegenüber dem Bund und dem Lastenausgleichsfonds für den Wohnungsbau sind finanzwirtschaftlich nicht von Bedeutung, weil den Schuldendienstverpflichtungen entsprechende Einnahmen von den Darlehensnehmern gegenüberstehen.
Die Kreditfinanzierungsquote im Sinne des Anteils der Nettokreditaufnahme von 1.863,7 Mio. € an den bereinigten Gesamtausgaben (ohne die besonderen Finanzierungsvorgänge) in Höhe von 30.779,6 Mio. € ist gegenüber dem Vorjahr von 7,2 % um 1,1 Prozentpunkte auf 6,1 % gesunken. Im Vergleich zur Kreditfinanzierungsquote von 4,0 % des Vorjahres ohne Berücksichtigung der seinerzeitigen Kreditaufnahme für den Erwerb der stillen Beteiligung an der LBBW ergibt sich jedoch eine Erhöhung um 2,1 Prozentpunkte.
1.3 Die auf die L-Bank, die LEG Landesentwicklungsgesellschaft Baden-Württemberg mbH und die Finanzierungsgesellschaft für öffentliche Vorhaben des Landes Baden-Württemberg mbH verlagerten Verpflichtungen, für die das Land den Schuldendienst oder den Finanzierungsaufwand erstattet, haben sich um 142,2 Mio. € auf 640,8 Mio. € erhöht. Dies ist in erster Linie auf die Finanzierung von Straßenbaumaßnahmen und die vollständige Fremdfinanzierung der Kosten für die Einführung neuer Steuerungsinstrumente zurückzuführen.
2 Pro-Kopf-Verschuldung
Die Verschuldung des Landes am Kreditmarkt (einschließlich öffentliche Sondermittel) erhöhte sich zum 31.12.2002 auf 33.378,1 Mio. €. Die Pro-Kopf-Verschuldung betrug danach 3.140 € (Vorjahr endgültig 3.020 €) und ist gegenüber dem 31.12.2001 um 4,0 % gestiegen; in allen Flächenländern belief sie sich durchschnittlich - bei einer Steigerung um 6,5 % - auf 4.073 € (Vorjahr endgültig 3.824 €). Zur Pro-Kopf-Verschuldung im Einzelnen s. Schaubild 3 und Übersicht 1.


Danach liegt Baden-Württemberg in der Pro-Kopf-Verschuldung auf dem drittbesten Platz aller Flächenländer und weiterhin auf dem zweitbesten Platz der acht alten Flächenländer. Der Abstand zu Bayern, das seit langem die günstigste Pro-Kopf-Verschuldung aufweist, ist gegenüber dem Vorjahr erneut größer geworden. Gleichzeitig hat sich aber auch der Abstand zu den nachfolgenden Ländern vergrößert. Prozentual weist Baden-Württemberg die geringste, nominal die zweitniedrigste Steigerung der Pro-Kopf-Verschuldung auf.
3 Kreditaufnahme und Schuldendienst
Die Entwicklung der jährlichen (haushaltsmäßigen) Brutto- und Nettokreditaufnahme sowie der Aufwendungen für den Schuldendienst in den letzten zehn Jahren zeigt Übersicht 2.

Die Ist-Ausgaben des Schuldendienstes für die Kreditmarktmittel (Zinsen und Tilgungsleistungen bei Kap. 1206 Ausgabe-Tit.Gr. 86 - ohne Tit. 563 86 Ausgleichsstock -) waren im Hj. 2002 um 970,3 Mio. € (+ 23 %) höher als im Vorjahr.
Die Zinsausgaben für die Kreditmarktschulden beliefen sich im Hj. 2002 auf 1.675,9 Mio. €. (Vorjahr 1.599,4 Mio. €). Danach betrug die Zinsausgabenquote als Verhältniszahl der Zinsausgaben zu den bereinigten Gesamtausgaben 5,4 % (Vorjahr 5,1 %).
Der Schuldendienst an die L-Bank und die Erstattung des Finanzierungsaufwands an die Finanzierungsgesellschaft für öffentliche Vorhaben des Landes Baden-Württemberg mbH sowie an die LEG belief sich im Hj. 2002 auf 141,2 Mio. €. Darin sind auch die Ersatzleistungen an die L-Bank für die Finanzierung des Darlehensanteils des Landes bei der Ausbildungsförderung für Studierende in Höhe von 25,4 Mio. € enthalten, die aus systematischen Gründen dem gesamten Schuldendienst zuzurechnen sind.
Die Ausgaben des Schuldendienstes für die Kreditmarktmittel und der Aufwand für die verlagerten Verpflichtungen haben sich danach um 938,4 Mio. € auf 5.338,3 Mio. € erhöht. Dementsprechend beträgt der Anteil des gesamten Schuldendienstes an den Gesamtausgaben (einschließlich der haushaltsmäßig nicht ausgewiesenen Tilgungsausgaben in Höhe von 3.521,2 Mio. €) des Landes 15,5 % (Vorjahr 12,8 %).
Der Aufwand für den Schuldendienst entsprach somit rd. einem Sechstel der Gesamtausgaben und war nach den Personalausgaben und den Ausgaben für Zuweisungen und Zuschüsse nach wie vor der drittgrößte Posten im Landesetat.
4 Kreditaufnahme - Investitionen - Steuereinnahmen
4.1 Nach Art. 84 LV dürfen die Einnahmen aus Krediten die Summe der im Haushaltsplan veranschlagten Ausgaben für Investitionen nicht überschreiten. Im StHpl. waren für das Hj. 2002 Ausgaben für Investitionen (Hauptgruppen 7 und 8) in Höhe von 2.940,7 Mio. € veranschlagt. Tatsächlich wurden im Hj. 2002 für Investitionen 3.079,6 Mio. € verausgabt. Davon wurden 65,5 Mio. € aus Privatisierungserlösen des Landes finanziert. Nach Abzug der Zuweisungen des Bundes und der Gemeinden (Obergruppe 33) und der sonstigen Beiträge Dritter (Obergruppe 34) für Investitionen des Landes in Höhe von insgesamt 479,9 Mio. € beliefen sich die vom Land selbst finanzierten Investitionen im Hj. 2002 auf 2.599,7 Mio. €. Demgegenüber betrug die Nettokreditaufnahme 1.863,7 Mio. €. Das Land hat auch unter dieser einengenden Betrachtung des Investitionsbegriffs im Hj. 2002 die verfassungsmäßige Verschuldungsgrenze eingehalten.
4.2 Die Nettokreditaufnahmen und die Einnahmen aus Steuern haben sich in den letzten zehn Jahren wie in Übersicht 3 dargestellt entwickelt.

Danach ist das Steueraufkommen im Hj. 2002 gegenüber dem Vorjahr um 759 Mio. € (- 3,4 %) zurückgegangen und lag um 1.646,3 Mio. € (- 7,2 %) unter dem Haushaltsansatz. Unter Berücksichtigung der Minderausgaben des Landes im Länderfinanzausgleich in Höhe von 287,7 Mio. € und im kommunalen Finanzausgleich in Höhe von 315,8 Mio. € beliefen sich die Steuermindereinnahmen im Vergleich zum ursprünglichen Haushaltsansatz netto auf 1.042,8 Mio. €.
Die Steuerdeckungsquote, d. h. das Verhältnis der Steuereinnahmen zu den bereinigten Gesamtausgaben belief sich im Hj. 2002 auf 69,2 % (Vorjahr 69,9 %).
4.3 Die Übersicht 4 zeigt die Entwicklung der wesentlichen Ausgabearten und die prozentualen Anteile an den bereinigten Gesamtausgaben des Landes in den letzten zehn Jahren.

Die bereinigten Gesamtausgaben haben sich gegenüber dem Vorjahr um 778,3 Mio. € auf 30.779,6 Mio. € reduziert. Dies ist darauf zurückzuführen, dass im Vorjahr 1.009,7 Mio. € für den Erwerb einer stillen Beteiligung an der LBBW aufgewendet wurden.
Ohne Berücksichtigung dieses Finanzierungsvorgangs sind die bereinigten Gesamtausgaben gegenüber dem Vorjahr um 231,4 Mio. € gestiegen. Bei einem Vergleich mit den verminderten bereinigten Gesamtausgaben des Vorjahres in Höhe von 30.548,2 Mio. € ist die Investitionsquote von 10,0 % im Hj. 2002 gegenüber dem Vorjahr (10,1 %) nahezu gleich geblieben. Demgegenüber hat sich die Personalausgabenquote auf Grund der nominalen Steigerung von 432,1 Mio. € von 40,3 % auf 41,4 % erhöht. Auf dieser Berechnungsbasis haben sich auch der Anteil der sächlichen Verwaltungsausgaben von 5,6 % auf 6,0 % und die Zinsausgabenquote von 5,2 % auf 5,4 % erhöht. Andererseits ist durch eine entsprechende Ausgabenreduzierung der prozentuale Anteil der Zuweisungen und Zuschüsse einschließlich der Finanzausgleichsleistungen an Länder und Gemeinden von 38,6 % auf 37,0 % gesunken.
4.4 In der Übersicht 5 sind die Zinsausgaben für Kreditmarktschulden im Vergleich und im Verhältnis zu den Steuereinnahmen (Zins-Steuer-Quote) dargestellt. Danach musste im Hj. 2002 ein Anteil von 7,9 % des Steueraufkommens (Vorjahr 7,2 %) zur Deckung der Zinsverpflichtungen verwendet werden.

5 Fazit und Ausblick
Die Steuereinnahmen des Landes sind im Hj. 2002 erneut zurückgegangen und nahezu auf das Niveau des Aufkommens des Jahres 1998 gesunken.
Deshalb konnte - wie bereits im Vorjahr - die im StHpl. veranschlagte Nettokreditaufnahme von 1.017,5 Mio. € nicht eingehalten werden. Vielmehr waren zur Deckung der Ausgaben 846,2 Mio. € mehr an Krediten erforderlich als vorgesehen.
Nach dem schon im Vorjahr erheblich gewachsenen Kreditbedarf ist die Neuverschuldung im Jahr 2002 wiederum beträchtlich angestiegen.
Deshalb ist absehbar, dass die künftigen Haushalte des Landes durch den permanent steigenden Schuldendienst für den auf rd. 35 Mrd. € angewachsenen Schuldenberg mehr und mehr belastet werden. Zwar sind die Zinsausgaben im Hj. 2002 durch das anhaltend günstige Zinsniveau trotz der erheblichen Neuverschuldung nur relativ geringfügig um 76,5 Mio. € gestiegen. Da aber ungewiss ist, wie lange die Niedrigzinsphase noch andauern wird, bedeutet die immense Neuverschuldung der beiden letzten Jahre auch insoweit ein erhebliches Haushaltsrisiko.
Angesichts der drohenden weiteren Einengung des finanziellen Handlungsspielraums des Landes insbesondere zu Lasten notwendiger Investitionen ist es dringend geboten, zu der in den Jahren 1999 und 2000 begonnenen Konsolidierungsphase zurück zu kehren und das Ziel der Netto-Nullverschuldung durch strenge Ausgabendisziplin, einen möglichen Aufgabenabbau und einen konsequenten Personalabbau energisch weiter zu verfolgen.
6 Zukünftige Pensionsverpflichtungen
Die Versorgungsausgaben des Landes werden sich nach einer Schätzung der Landesregierung (s. DS 13/1694) in den nächsten zehn Jahren knapp verdoppeln und bis 2030 mehr als verdreifachen; bei unveränderter Entwicklung der Ausgaben für Personal ergeben sich danach im Jahr 2010 bereits Versorgungsbezüge in der Größenordnung von 3,7 Mrd. € mit deutlich steigender Tendenz bis 2030. Diese Ausgaben belasten den Landeshaushalt zunehmend. Schon in seiner beratenden Äußerung „Wirtschaftlichkeitsanalyse Beamte-Angestellte und Vorsorge für expandierende Pensionslasten“ vom November 1996 (DS 12/730) hatte der RH im Blick auf den fehlenden Ausweis der finanziellen Auswirkungen der späteren Versorgungsverpflichtungen gefordert, dass bei einer Weiterentwicklung des Haushaltsrechts die Voraussetzungen geschaffen werden sollten, um die Versorgungsverpflichtungen im StHpl. veranschlagen zu können. Der RH unterstützt das FM, soweit es beabsichtigt, den Wert der künftigen Versorgungsleistungen im Haushaltsplan auszuweisen, deren Barwert schon jetzt die derzeitigen Kapitalmarktschulden des Landes wesentlich übersteigt. Dieser Ausweis ist als Information für den Landtag bei seinen Planungen und kostenwirksamen Beschlüssen unentbehrlich. Auch wenn im Zusammenhang mit der Einhaltung der Maastricht-Kriterien eine solche Information der Parlamente bundesweit anzustreben ist, sollte das Land wegen des finanziellen Gewichts der künftig anfallenden Versorgungszahlungen damit vorangehen.
7 Landesschuldbuch
Das Landesschuldbuch erbringt den ordnungsgemäßen Nachweis über die Buchschulden des Landes. Der RH hat die im Hj. 2002 in das Landesschuldbuch eingetragenen Schuldbuchforderungen geprüft. Die Prüfung hat keine Beanstandungen ergeben.
Anhänge
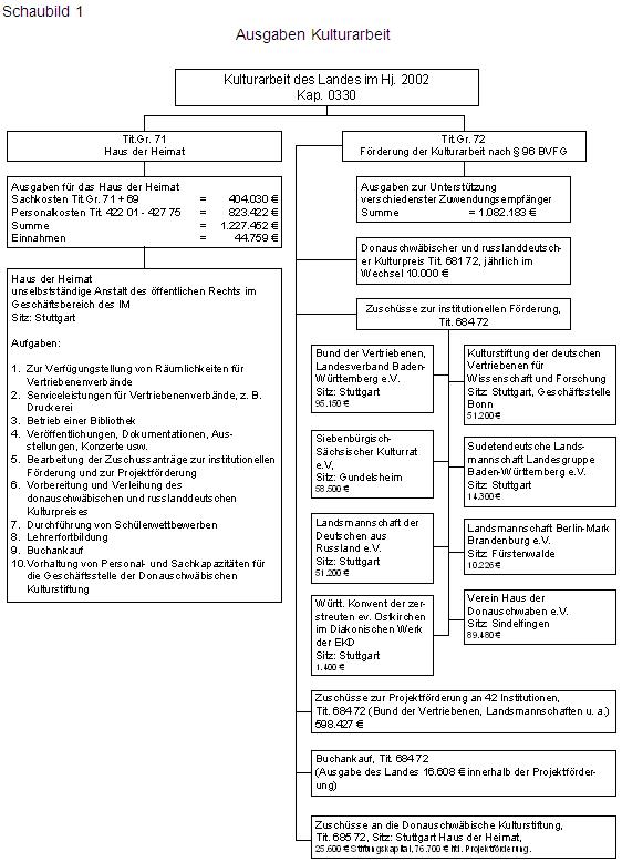
Die Behandlung von Pfändungen und Abtretungen beim Landesamt für Besoldung und Versorgung und bei den personalverwaltenden Stellen ist verbesserungsbedürftig. Die personalverwaltenden Stellen müssen rechtzeitig und vollständig über eingehende Pfändungen informiert werden und daraus die notwendigen Konsequenzen ziehen. Dies gilt insbesondere in sicherheitsrelevanten und korruptionsanfälligen Bereichen.
1 Vorbemerkung
Erfüllt ein Landesbediensteter oder Versorgungsempfänger seine privaten finanziellen Verpflichtungen nicht, so können seine Gläubiger mit Hilfe eines vollstreckbaren Titels seine Bezüge pfänden und zur Einziehung überweisen lassen. Das LBV errechnet in diesen Fällen den pfändbaren Teil der Bezüge und überweist diesen so lange unmittelbar an den Pfändungsgläubiger, bis die titulierte Forderung getilgt ist.
Dasselbe gilt, wenn der Beamte, Angestellte oder Arbeiter den pfändbaren Teil seiner Bezüge an einen Dritten abtritt und der neue Gläubiger vom Land die Erfüllung der abgetretenen Forderung begehrt.
Für das zuständige LBV ist die Bearbeitung der Pfändungs- und Überweisungsbeschlüsse und der Abtretungen mit einem erheblichen Arbeitsaufwand verbunden:
- Nach den einschlägigen gesetzlichen Bestimmungen ist das LBV gehalten, dem pfändenden Gläubiger auf Verlangen innerhalb von zwei Wochen ab Zustellung des Beschlusses Auskunft über den Bestand der Forderung und über evtl. bestehende Vorrechte anderer Gläubiger zu erteilen, es muss den pfändbaren Teil der Bezüge errechnen und den so errechneten Betrag an den Pfändungsgläubiger abführen.
- Da sich die Höhe des pfändbaren Betrages durch Veränderung der persönlichen Verhältnisse, durch Veränderungen der Bezüge und durch die zweijährlich erfolgende Anpassung der Pfändungsfreigrenzen ändert, muss die Höhe des abzuführenden Betrages laufend überprüft und ggf. an die neuen Verhältnisse angepasst werden.
- Die Pfändung oder Abtretung nennenswerter Teile der Bezüge kann ein Hinweis auf wirtschaftliche Schwierigkeiten sein, in denen sich der Beamte, Angestellte oder Arbeiter befindet. Daraus können sich (vor allem in sicherheitsrelevanten oder korruptionsempfindlichen Bereichen der Verwaltung) Konsequenzen für die Verwendung des Bediensteten, im Einzelfall auch dienst- oder arbeitsrechtliche Folgen ergeben. Deshalb ist das LBV unter bestimmten Voraussetzungen verpflichtet, die personalverwaltenden Stellen über eingegangene Pfändungen und angezeigte Abtretungen der Bezüge zu unterrichten.
Beim LBV sind insgesamt acht Bedienstete mit der Bearbeitung von Drittschuldnerangelegenheiten - einschließlich der Registraturarbeiten - befasst. Für die Aufgabenerledigung werden 3,9 Vollzeitäquivalente eingesetzt.
Die personalverwaltenden Stellen sind gehalten, aus den vom LBV mitgeteilten Informationen die notwendigen Konsequenzen zu ziehen.
Der RH hat im Jahr 2002 die Praxis des LBV bei der Erledigung der mit Pfändungen und Abtretungen verbundenen Aufgaben geprüft und bei Bediensteten, die in sicherheitsrelevanten oder korruptionsanfälligen Bereichen beschäftigt sind, zugleich überprüft, welche Konsequenzen die personalverwaltenden Stellen aus den einschlägigen Mitteilungen des LBV gezogen haben.
2 Grundlegende Feststellungen
Das LBV führt keine fortlaufende Statistik über den Bestand sowie die jährlich neu eingehenden Pfändungen und Abtretungen. Auf Veranlassung des RH wurden Bestand und Geschäftsanfall im Februar 2002 ermittelt:
Es waren 1.778 Bedienstete des Landes von Pfändungen und/oder Abtretungen betroffen. Auf sie entfielen insgesamt 11.850 Pfändungen und 1.800 Abtretungen.
Durchschnittlich entfielen mithin auf einen betroffenen Bediensteten rd. sieben Pfändungen und eine Abtretung.
Im Jahr 2001 sind insgesamt 1.930 Pfändungen und Abtretungen von Bezügeempfängern neu eingegangen. Sie verteilen sich auf 1.680 Pfändungen und 250 Abtretungen. Neueingänge und vollständige Erledigungen halten sich nach Angaben des LBV etwa die Waage, sodass von einem regelmäßigen Bestand an Pfändungen und Abtretungen in einer Größenordnung von 13.650 Fällen auszugehen ist.
Eine zweite Auswertung im November 2002 ergab, dass
0,4 % der Landesbeamten,
0,8 % der Arbeitnehmer des Landes und
0,4 % der Versorgungsempfänger des Landes
mit Pfändungen und Abtretungen belastet waren.
Bei einem Vergleich der Zahl der Bezügepfändungen bei allen Landesbediensteten und Versorgungsempfängern mit der Zahl der Bezügepfändungen bei den Erwerbspersonen und Rentnern in zwei Amtsgerichtsbezirken ergibt sich, dass Landesbedienstete deutlich seltener als der Durchschnitt der Bevölkerung von solchen Pfändungen betroffen sind.

3 Ursachen und Hintergründe der Pfändungen und Abtretungen
Der RH hat im Zuge seiner Prüfung eine Zufallsstichprobe gezogen, die jeden fünften aktiven Bediensteten erfasste, bei dem im Oktober 2002 auf Grund einer Pfändung oder einer Abtretung ein Abzug vorgenommen wurde.
Eine Auswertung dieser Fälle hat folgende Fallgruppen ergeben:
3.1 Pfändungen auf Grund einer wirtschaftlichen Notlage
Rund 42 % der betroffenen Beamten und rd. 70 % der betroffenen Arbeitnehmer sind dieser Fallgruppe zuzuordnen, die in der Regel durch eine Serie von Pfändungen durch einen oder mehrere Gläubiger gekennzeichnet ist. In einigen der untersuchten Fälle waren mehr als 20 laufende (d. h. offene) Pfändungen zu verzeichnen. Den Unterlagen war zu entnehmen, dass diese Bediensteten teilweise auch die Eidesstattliche Versicherung abgegeben haben. In 3,5 % der untersuchten Fälle wurde nach vorangegangenen Pfändungen schließlich ein Insolvenzverfahren eröffnet.
Der Umstand, dass wegen der hohen Pfändungsfreibeträge oft nur geringe Abzüge möglich sind, lässt bei vielen dieser Bediensteten mit Blick auf die sich ständig erhöhenden Schuldzinsen und Vollstreckungskosten eine effektive Schuldenabtragung kaum zu. Vielmehr erhöht sich der Schuldenstand in manchen Fällen kontinuierlich.
Auffällig war eine größere Zahl von Pfändungsverfügungen durch Finanzbehörden wegen Steuern und steuerlichen Nebenleistungen sowie von Pfändungen, die durch Ärzte veranlasst wurden. In den zuletzt genannten Fällen besteht Anlass zu der Annahme, dass einige Bedienstete sich dadurch Liquidität verschafft haben, dass sie für Arztrechnungen Beihilfeleistungen beantragt und ausbezahlt erhalten haben, ohne die Arztrechnungen zu begleichen.
3.2 Pfändungen ohne wirtschaftliche Notlage
Eine zweite Fallgruppe umfasst Pfändungen, bei denen kein Indiz für eine wirtschaftliche Notlage vorliegt. Dieser Fallgruppe sind 29 % der betroffenen Beamten und 21 % der betroffenen Arbeitnehmer zuzuordnen.
Nach Aktenlage könnten diese Bediensteten die jeweils zu Grunde liegende Forderung eigentlich ohne Pfändungsmaßnahme erfüllen; sie waren oder sind zu freiwilligen Leistungen aber offensichtlich nicht bereit. Zu nennen sind in diesem Zusammenhang hauptsächlich Unterhaltsverpflichtungen gegenüber geschiedenen Ehegatten und Kindern. Oftmals laufen solche Unterhaltspfändungen über Jahre hinweg, obwohl die Bediensteten vielleicht nur anfänglich nach Abschluss des Scheidungsverfahrens und der damit im Zusammenhang stehenden Folgeentscheidungen in Zahlungsrückstand waren.
Da die dauerhafte Abbuchung und Überweisung durch das LBV oftmals nicht nur für den Gläubiger, sondern auch für die Bediensteten eine bequeme Art der kostenfreien Erlangung oder Leistung des geschuldeten Unterhalts ist, werden solche Dauerpfändungen von manchen Bediensteten offenbar gerne akzeptiert. Für das Land als Dienstherr bzw. Arbeitgeber ist die Bearbeitung und Ausführung dieser Pfändungen mit Kosten verbunden, die der Bedienstete bei ordnungsgemäßem Verhalten vermeiden könnte.
3.3 Vorsorglich angezeigte Sicherungsabtretungen
Viele Beamte, seltener auch Arbeitnehmer, treten zur Sicherung eines Kredits den pfändbaren Teil ihres Einkommens an die Kredit gewährende Bank, Bausparkasse oder Versicherung ab. Um den späteren „Rangnachweis“ zu sichern, zeigen manche Kreditgeber diese Abtretung dem LBV sofort an, ohne die Rechte aus dieser Abtretung sogleich geltend zu machen.
Diese vorsorglich angezeigten Sicherungsabtretungen werden vom LBV lediglich zur Kenntnis genommen und verursachen zunächst nur einen geringen Aufwand, da weder Berechnungen, noch Abzüge zu veranlassen sind.
3.4 Abtretungen zur vereinfachten Erfüllung regulärer Darlehensverpflichtungen
Bei 22 % der betroffenen Beamten und bei 4 % der betroffenen Arbeitnehmer diente die Abtretung eines Teils der Bezüge der regulären Tilgung einer Darlehensschuld. In diesem Fall hat die Abtretung nicht nur Sicherungsfunktion, sondern das LBV wird von Kreditgeber und Kreditnehmer als kostenloses Inkassobüro bemüht, das eine für die Beteiligten einfache und bequeme Art des Forderungseinzugs garantiert. Nach Aktenlage profitieren die Beamten und Arbeitnehmer des Landes von dieser Vorgehensweise durch besonders günstige Darlehenszinssätze.
3.5 Notleidend gewordene und deshalb offen gelegte Sicherungsabtretungen
Bei 7 % der betroffenen Beamten und bei 5 % der betroffenen Arbeitnehmer erfolgte der Abzug auf Grund einer Sicherungsabtretung, nachdem die Bediensteten mit der Erfüllung der gesicherten Forderung in Verzug geraten waren und die Kreditgeber die Sicherungsabtretung nunmehr offen legten und auf Erfüllung bestanden. Diese Fälle sind nach ihrer wirtschaftlichen Bedeutung der Fallgruppe 3.1 (Pfändungen infolge wirtschaftlicher Notlage) gleichzusetzen.
4 Ordnungsgemäße Aufgabenerfüllung durch das Landesamt für Besoldung und Versorgung
4.1 Feststellungen des Rechnungshofs
Beim LBV sind (auf Vollzeitkräfte umgerechnet) rd. vier Bedienstete mit der Bearbeitung von Drittschuldnerangelegenheiten einschließlich der zugehörigen Registraturarbeiten befasst. Da die eigentlichen Sachbearbeiter nahezu ausschließlich mit der Erledigung solcher Angelegenheiten befasst sind, zeichnen sie sich durch ein hohes Maß an Spezialisierung und Professionalität im Umgang mit den anspruchsvollen Aufgaben aus, die sich in diesem Bereich ergeben.
Die Prüfung der Stichprobe durch den RH hat dementsprechend auch kaum Anhaltspunkte dafür ergeben, dass das LBV seine gesetzlichen Verpflichtungen gegenüber den Bediensteten und gegenüber ihren Gläubigern nicht ausreichend erfüllen würde. Lediglich in einem Fall wurde festgestellt, dass trotz Erledigungsmitteilung des Rechtsreferats an den Kontenführer weiterhin Abzüge einbehalten und an den Gläubiger abgeführt wurden. Auf Hinweis des RH hat das LBV die Abzüge eingestellt.
Mängel haben sich allerdings bei der Prüfung der Frage ergeben, ob das LBV seine Mitteilungspflichten gegenüber den personalverwaltenden Stellen ausreichend erfüllt.
Durch die Mitteilung der Pfändung oder Abtretung an die personalverwaltende Stelle sollen die Vorgesetzten des betroffenen Beamten oder Arbeitnehmers in die Lage versetzt werden, die gebotenen Konsequenzen aus einer wirtschaftlichen Notlage zu ziehen, die durch die Pfändung (Fallgruppe 3.1) oder die Abtretung (Fallgruppe 3.5) offenbar geworden ist. Diesem Vorgehen kommt nach Auffassung des RH vor allem dann besondere Bedeutung zu, wenn der betroffene Bedienstete in sicherheitsrelevanten oder korruptionsanfälligen Bereichen beschäftigt wird (Polizei, Justiz, Bauverwaltung, Finanzverwaltung).
Das FM hat vor diesem Hintergrund am 08.03.1990 eine VwV erlassen, die die Voraussetzungen und Modalitäten der Mitteilungspflicht bei Pfändungen und Abtretungen regelt. Danach sind im Wesentlichen folgende Sachverhalte mitteilungspflichtig:
- Pfändungs- und Überweisungsbeschlüsse, wenn die Hauptforderung, soweit ihretwegen vollstreckt wird, die regelmäßigen monatlichen Bruttobezüge (ohne Kindergeld), mindestens jedoch 384 € (750 DM), übersteigt.
- Bei Abtretungen gelten die Mitteilungspflichten entsprechend mit der Maßgabe, dass eine Information der Hauptpersonalakten führenden Stelle erst dann erfolgt, wenn der neue Gläubiger gegenüber dem LBV Zahlung aus der abgetretenen Forderung verlangt.
- Unabhängig von der Höhe der der Pfändung bzw. Abtretung zu Grunde liegenden Forderungen sind die Hauptpersonalakten führenden Stellen ferner zu informieren, wenn
- entweder innerhalb eines Jahres mehr als drei Pfändungsbeschlüsse, -verfügungen und/oder Abtretungen eingegangen sind, oder
- in drei aufeinander folgenden Kalenderjahren jeweils mindestens ein Pfändungsbeschluss, eine Pfändungsverfügung oder eine Abtretung eingegangen ist.
Abtretungen werden hierbei nur berücksichtigt, wenn der neue Gläubiger gegenüber dem LBV Zahlung aus den abgetretenen Forderungen verlangt.
Weiterhin ist in der VwV bestimmt, dass Verhältnisse eines anderen, die dem LBV durch Mitteilung einer Finanzbehörde (insbesondere Finanzministerien des Bundes und der Länder, OFDen, Finanzämter, Hauptzollämter, Zollfahndungsämter sowie die Gemeinden bei der Erhebung von Grund- und Gewerbesteuern) bekannt geworden sind, dem Steuergeheimnis unterliegen und deshalb nicht mitgeteilt werden dürfen.
Für Versorgungsempfänger gilt die Mitteilungsregelung nicht; bei diesem Personenkreis unterbleiben daher Mitteilungen des LBV.
Im Rahmen der oben genannten Stichprobe wurde bei 141 repräsentativ ausgewählten Bediensteten überprüft, ob das LBV seiner Mitteilungspflicht genügt hat.
Dabei ergab sich, dass bei 60 der untersuchten Bediensteten keine Mitteilungspflicht nach der VwV bestand.
Bei den übrigen 81 Bediensteten waren eine oder mehrere Mitteilungen zu veranlassen.
Die Prüfung hat ergeben, dass diese Mitteilungen nur bei 45 Bediensteten ordnungsgemäß und vollständig erfolgten.
Bei 36 Bediensteten (25 % der untersuchten Fälle) wurden die personalverwaltenden Stellen entweder überhaupt nicht oder nur von einem Teil der mitteilungspflichtigen Fälle in Kenntnis gesetzt. Dabei handelte es sich zu einem großen Teil um Pfändungsmaßnahmen, die erhebliche wirtschaftliche Schwierigkeiten indizierten und/oder Beamte aus sicherheitsrelevanten Bereichen betrafen.
Auch soweit Benachrichtigungen erfolgt sind, geschah dies z. T. mit zeitlicher Verzögerung. So wurden sie häufig erst bei späteren Pfändungen nachgeholt oder in die neuen Pfändungsmitteilungen „einbezogen“. Bei den Pfändungsmitteilungen konnte der RH die Höhe der mitgeteilten Pfändungsbeträge nicht immer nachvollziehen.
Als Grund für die unterlassenen Mitteilungen wurde von den zuständigen Bearbeitern insbesondere Arbeitsdruck genannt. Auch wurde darauf hingewiesen, dass die Dienststellen ihre in Zahlungsschwierigkeiten befindlichen Mitarbeiter kennen würden, insbesondere in den Fällen, in denen der Dienststelle der Pfändungs- und Überweisungsbeschluss zunächst unzuständigerweise selbst zugestellt worden sei.
4.2 Bewertung und Vorschläge des Rechnungshofs
Die teilweise vorschriftswidrige Praxis des LBV im Hinblick auf die Mitteilungspflichten verhindert, dass Vorgesetzte rechtzeitig auf wirtschaftliche Notlagen hingewiesen werden, in denen sich Beamte, Angestellte und Arbeiter des Landes befinden. Auf die damit verbundenen Gefahren wurde oben bereits hingewiesen.
Eine objektive Ursache für diese mangelhafte Verfahrensweise liegt nach Auffassung des RH in der Komplexität der Tatbestandsmerkmale begründet, an die die VwV die Mitteilungspflicht des LBV anknüpft. Die Sachbearbeiter sind dadurch zu einer näheren Prüfung gezwungen, die jedoch in der alltäglichen Praxis häufig unterbleibt. Der RH regt deshalb an, diese VwV unter Beachtung des Verhältnismäßigkeitsgrundsatzes so weit zu vereinfachen, dass der Prüfungsumfang für die Mitarbeiter des LBV deutlich reduziert wird.
5 Behandlung von Pfändungen und Abtretungen durch die personalverwaltenden Stellen
5.1 Feststellungen des Rechnungshofs
Um sich einen Überblick darüber zu verschaffen, welche Konsequenzen Mitteilungen über Pfändungen und Abtretungen auslösen, hat der RH seine Erhebungen auf mehrere Hauptpersonalakten führenden Stellen solcher Verwaltungszweige und Bereiche erstreckt, bei denen eine Tätigkeit von hoch verschuldeten Bediensteten unter Sicherheitsaspekten (insbesondere Korruption, Bestechlichkeit, Vorteilsannahme, Untreue, Manipulationsgefahr) ein erhöhtes Risiko darstellt. Im Einzelnen handelte sich hierbei um das JuM (Abteilung Justizvollzug), die OLGe Karlsruhe und Stuttgart, das Landeskriminalamt, die LPDen Karlsruhe sowie Stuttgart I und Stuttgart II, die OFD Karlsruhe und das RP Karlsruhe.
Auch bei der Prüfung dieser Pfändungen und Abtretungen war - wie schon zuvor bei der repräsentativen Stichprobe - festzustellen, dass eine Unterrichtung der Hauptpersonalakten führenden Stellen durch das LBV entweder überhaupt nicht oder in einer größeren Anzahl von Fällen nicht erfolgt ist. In einigen Fällen sind die Mitteilungen nach Aktenlage statt an die Hauptpersonalakten führenden Stellen an die Beschäftigungsdienststellen gerichtet worden.
Eine einheitlich strukturierte, gleichförmige Vorgehensweise bei Pfändungen und Abtretungen war bei den ausgewählten personalverwaltenden Stellen nicht festzustellen, auch nicht innerhalb der einzelnen Verwaltungszweige. Selbst bei Justiz und Landespolizei war keine einheitliche Verfahrensweise im Umgang mit den vom LBV mitgeteilten Pfändungen und Abtretungen erkennbar.
In der Mehrzahl der untersuchten Fälle (so z. B. im Justizvollzug, bei der LPD Stuttgart II, beim Landeskriminalamt oder bei der OFD Karlsruhe) wurde von den personalverwaltenden Stellen oder von den Beschäftigungsstellen dennoch in sachgerechter Weise auf Pfändungs- und Abtretungsmitteilungen reagiert (Personalgespräche, Ermahnungen, Belehrungen, Anforderung von Schuldenaufstellungen, Androhung von Disziplinarmaßnahmen usw.). Teilweise wurden förmliche Anhörungen und Ermittlungen durchgeführt, die in Einzelfallen zu Disziplinarmaßnahmen (Verweis) führten. Im Arbeitnehmerbereich sind z. T. Abmahnungen erfolgt. In einem Fall wurde die Übernahme aus einem Arbeitsverhältnis in das Beamtenverhältnis zurückgestellt, bis keine Pfändungen mehr bestehen. In einem Einzelfall wurde eine Kündigung angedroht, zu der es allerdings nicht gekommen ist.
Nur bei wenigen personalverwaltenden Stellen wurde hinreichend geprüft, ob es bei dem bisherigen Einsatzbereich des Bediensteten bleiben kann. Umsetzungen sind nur in Einzelfällen erfolgt, obwohl die in wirtschaftliche Not geratenen Bediensteten z. T. in Sicherheitsbereichen tätig waren. Vereinzelt wurden Einschränkungen im bisherigen Einsatzbereich vorgesehen. Bei einer Steuerbeamtin wurde sachgerecht die Zeichnungsbefugnis dahin eingeschränkt, dass die von ihr angewiesenen Beträge nur mit einer weiteren Unterschrift ausbezahlt werden durften („Vier-Augen-Prinzip“).
Bei mehreren untersuchten Behörden führten die Mitteilungen dagegen regelmäßig zu keinerlei Reaktionen („zu den Akten“); in einigen Fällen wurde nur die erste eingehende Mitteilung zum Anlass einer Anhörung genommen, während die weiteren Mitteilungen dann ohne Reaktion zu den Akten genommen wurden.
5.2 Bewertung und Vorschläge des Rechnungshofs
Das unsystematische und teilweise wenig fundierte Vorgehen einiger personalverwaltenden Stellen im Umgang mit Mitteilungen des LBV über Pfändungen und Abtretungen verwundert vor dem Hintergrund der seit einigen Jahren intensivierten Anstrengungen zur Vermeidung von Korruption im öffentlichen Dienst.
Bestehen auf der Grundlage tatsächlicher Anhaltspunkte Zweifel an der Zuverlässigkeit des Beamten, die mit seinem Dienstposten verbundenen Aufgaben zuverlässig und korrekt wahrzunehmen, müssen die personalverwaltenden Stellen Umsetzungsmaßnahmen in Erwägung ziehen.
Für unvertretbar hält es der RH, wenn auf Pfändungs- und Abtretungsmaßnahmen mit z. T. erheblichen Beträgen nicht reagiert wird und die entsprechenden Mitteilungen des LBV - ohne Anhörung des Bediensteten und ohne Information der Beschäftigungsstellen - von den personalverwaltenden Stellen stillschweigend zu den Akten genommen werden. Schon im Hinblick auf die Regelung des § 113 b LBG müssen die betroffenen Beamten auch in diesen Fällen gehört werden.
Nach Auffassung des RH ist eine mindestens ressortweise Regelung der Vorgehensweise bei Pfändungen und Abtretungen für die personalverwaltenden Stellen und die Beschäftigungsdienststellen erforderlich. Neben einer obligatorischen Anhörung des Beamten sollten diese Regelungen vorsehen, dass Erwägungen über mögliche Einschränkungen der Verwendbarkeit angestellt und aktenkundig gemacht werden.
Auch im Hinblick auf die Arbeitnehmer wäre eine ressortweise Regelung der Vorgehensweise der personalverwaltenden Stellen angezeigt.
6 Stellungnahme des Ministeriums
Das FM räumt in seiner Stellungnahme ein, dass das LBV in etwa 25 % der untersuchten Fälle die durch seine VwV angeordnete Mitteilungspflicht nicht oder nicht vollständig erfüllt habe.
Eine Vereinfachung der VwV hält es aus Rechtsgründen für ausgeschlossen, da der Verhältnismäßigkeitsgrundsatz und die Wahrung des Steuergeheimnisses eine derart differenzierte Regelung erfordere.
Das Schuldenmachen eines Beamten sei nur ausnahmsweise als dienstliche Pflichtverletzung einzustufen, wenn besondere Umstände eine solche Zuordnung rechtfertigen. Deshalb seien die personalverwaltenden Stellen auch nicht verpflichtet, bei Kenntnis von Pfändungen und Abtretungen immer der Frage nachzugehen, ob ein Pflichtenverstoß des Beamten vorliegt. Eine Anhörung des Beamten müsse vor diesem Hintergrund nicht in allen Fällen erfolgen.
Eine ressortweise einheitliche Regelung der Behandlung von Pfändungs- und Abtretungserklärungen sei aus Rechtsgründen nicht grundsätzlich geboten.
7 Schlussbemerkung
Der RH bleibt bei seiner Auffassung, dass das LBV seine Mitteilungspflichten künftig sorgfältig und vollständig erfüllen muss. Ob im Einzelfall eine beamtenrechtliche oder arbeitsrechtliche Pflichtverletzung vorliegt, kann von den Vorgesetzten nur dann verantwortlich entschieden werden, wenn ihnen die Fakten vollständig bekannt sind. Dazu gehört auch die Stellungnahme des betroffenen Beamten oder Arbeitnehmers. Gefahren für die ordnungsgemäße Aufgabenerfüllung können sich in sicherheitsrelevanten oder korruptionsanfälligen Bereichen auch dann ergeben, wenn keine Dienstpflichtverletzung vorliegt.
Eine ressortspezifische Regelung der Vorgehensweise ist nicht wegen der Einheitlichkeit erforderlich, sondern weil die Prüfung ergeben hat, dass eine Reihe von personalverwaltenden Stellen ohne eine solche Regelung mit den offenbar gewordenen wirtschaftlichen Notlagen ihrer Bediensteten nicht sachgerecht umgeht.
Anhänge
Das Projektmanagement bei der Entwicklung von Geschäftsstellenautomationen im Justizbereich kann optimiert werden. Die Programmanforderungen sollten reduziert und die Entwicklungszeiten verkürzt werden. Wirtschaftlichkeitsuntersuchungen und Erfolgskontrollen ist ein höherer Stellenwert einzuräumen. Kooperationen zwischen den Gerichtsbarkeiten und den Ländern sollten intensiviert werden.
1 Ausgangslage
Das JuM und das SM haben seit Mitte der 80er Jahre verschiedene Programme zur Geschäftsstellenautomation bei den Gerichten der Ordentlichen und der Fachgerichtsbarkeiten sowie bei den Notariaten eingeführt. Diese Programme haben primär die Arbeiten der Unterstützungskräfte im Geschäftsstellen- und Schreibdienst erleichtert und modernisiert. Die Programme unterstützen die Texterstellung und die meisten anderen für die Verfahrensbearbeitung erforderlichen Tätigkeiten. Diese Tätigkeiten haben in allen Gerichtsbarkeiten ein einheitliches Grundmuster. Letztlich führen die meisten Bearbeitungsschritte zu einer Texterstellung. Für Unterstützungskräfte stehen in den genannten Bereichen landesweit über 4.400 Stellen zur Verfügung. Beim OLG Stuttgart wurde eine Gemeinsame DV-Stelle Justiz eingerichtet, die insbesondere für Programmentwicklungen und Nutzerschulungen und -betreuung zuständig ist. Im Jahr 2001 wurde dort Personal im Umfang von rd. 80 Vollzeitäquivalenten eingesetzt. Im Geschäftsbereich des JuM sollen die Programme derzeit vereinheitlicht und auf eine technisch zukunftsfähige Basis gestellt werden. Für die Entwicklung, Einführung und Betreuung der Programme und deren Schulung wird ein zweistelliger Millionenbetrag aufgewendet.
Das JuM und das SM haben ihr Projektmanagement bei der Programmentwicklung in den vergangenen Jahren verbessert. Das Projektmanagement bleibt jedoch eine komplexe Aufgabe, die durch die rasante Entwicklung im DV-Bereich weiter erschwert wird. Der RH will mit der durchgeführten Untersuchung, die ressort- und programmübergreifend die Entwicklungsstadien über einen Zeitraum von mehr als 15 Jahren analysiert, nicht einzelne, bei derartigen Großprojekten fast zwangsläufig auftretende Fehler der Vergangenheit in den Vordergrund stellen, sondern in erster Linie aus den gewonnenen Erfahrungen Handlungsempfehlungen für die Zukunft ableiten.
2 Projektmanagement
2.1 Allgemeines
Das Projektmanagement von JuM und SM bei der Entwicklung und Einführung von DV-Programmen in ihren Geschäftsbereichen umfasst die Organisation, Planung, Steuerung und Überwachung der wahrzunehmenden Aufgaben und eingesetzten Ressourcen. An Hand der nachstehend dargestellten Beispiele aus dem Geschäftsbereich des JuM sollen Optimierungsansätze für die Zukunft aufgezeigt werden.
2.2 Datenverarbeitungs-Programm für die Notariate
Für den Bereich der Notariate wurde bereits 1990 mit der Entwicklung eines DV-Programms (NOAH) begonnen, das die Notare und ihre Servicekräfte unterstützen sollte. Bei der Programmentwicklung wurden die unterschiedlichen Zuständigkeiten und Arbeitsabläufe in den Notariaten des badischen und württembergischen Landesteils berücksichtigt.
Seit 1996/1997 sind Test-/Pilotversionen von NOAH im Einsatz. Erst im September 2001 konnte NOAH in einer vom JuM als „nunmehr sehr leistungsfähig und in beiden Landesteilen uneingeschränkt praxistauglich“ bezeichneten Version fertig gestellt werden. Die Entwicklungs- und Realisierungskosten betrugen rd. 1 Mio. €. Im Laufe des Jahres 2001 wurde mit der flächendeckenden Installation von NOAH bei den Notariaten begonnen. Bis 2005 sollen alle Notariate ausgestattet werden. Die Kosten für das Projektmanagement, die Programminstallationen, Systempflege und Benutzerbetreuung während der Einführungsphase werden jährlich rd. 2 Mio. € betragen. Seit Erteilung des Projektauftrags bis zum Beginn der flächendeckenden Ausstattung waren zwölf Jahre vergangen, bis zum Abschluss der flächendeckenden Ausstattung werden bei plangerechter Installation 16 Jahre vergangen sein.
Der RH hat bei Bediensteten verschiedener Notariate deren Zufriedenheit mit NOAH hinterfragt. Hierbei gaben Bedienstete im württembergischen Rechtsgebiet meist eine positive Einschätzung ab, während das Programm von Bediensteten im badischen Rechtsgebiet als zu kompliziert, zeitaufwändig und nicht ausgereift beschrieben wurde. Bis Mitte 2002 setzten im badischen Rechtsgebiet von den damit ausgestatteten Notaren nur wenige NOAH ein.
Ursächlich für die unterschiedliche Bewertung von NOAH in den beiden Landesteilen dürfte insbesondere der Aufbau und Inhalt der in NOAH zur Unterstützung von Beurkundungen erforderlichen Textsammlungen sein. Die Textsammlung im badischen Rechtsgebiet ist in erheblich mehr Textbausteine gegliedert als die Textsammlung im württembergischen Rechtsgebiet. Dies wirkt sich negativ auf die Nutzerakzeptanz aus.
Auf Grund der Feststellungen des RH hat das JuM das Schulungskonzept umgestellt, die Einführungsbetreuung intensiviert und eine Überprüfung des Programms NOAH veranlasst. Damit soll die Akzeptanz des Programms erhöht werden. Die unterschiedlichen Textsammlungen werden als nicht erfolgskritisch angesehen. Erforderlichenfalls sollen auch Programmanpassungen erfolgen. Spätestens nach Abschluss der Einführung soll eine Erfolgskontrolle durchgeführt werden. Das JuM sollte auch weiterhin die Akzeptanz von NOAH bei den Notariaten angemessen beobachten und evtl. Steuerungsmaßnahmen ergreifen.
2.3 Datenverarbeitungs-Programm für die Land- und Amtsgerichte
Das JuM entschied 1994, eine DV-Lösung für Amtsgerichte auf der Basis vernetzter PC und Standardsoftware (HADES) entwickeln zu lassen, da die bei größeren Amtsgerichten bereits eingesetzte Geschäftsstellenautomation SIJUS für kleinere Gerichte als nicht geeignet angesehen wurde. Die Entwicklung sollte durch Justizpersonal erfolgen. Professionelle DV-Kenntnisse wurden nicht als erforderlich erachtet. Die sich aus der stark dezentralen Gerichtsstruktur in Baden-Württemberg ergebenden Probleme bei der flächendeckenden Ausstattung und Betreuung der Gerichte wurden nicht zum Anlass genommen, diese Struktur in Frage zu stellen (vgl. Denkschrift 1998, Nr. 9 Personaleinsatz bei den Amtsgerichten, DS 12/3213).
Vor der Installation von HADES in der Fläche ließ das JuM das Programm 1995 durch eine externe Firma überprüfen. Diese bezeichnete das Programm als ein nicht optimal entwickeltes DV-System, das eine Reihe von Schwachstellen aufweise. In der Folgezeit konnten die grundlegenden Probleme trotz Beseitigung einiger Schwachstellen nicht behoben werden. Mangels Alternativen wurden in der Folgezeit bei 84 der 108 Amtsgerichte und nach einer Programmerweiterung bei allen 17 Landgerichten HADES-Module für Zivil- und Strafsachen installiert. Trotz der negativen Bewertung von HADES durch die externe Firma wurden ab 1997 zwei Mitarbeiter der DV-Stelle mit einer Programmergänzung für Vollstreckungssachen mit einem zeitlichen Aufwand von rd. 2,5 Personenjahren beschäftigt. Wegen eines nicht vorhersehbaren Ausscheidens dieser beiden Mitarbeiter ist die Programmierung 1999 abgebrochen worden.
HADES wurde anschließend nicht mehr weiter entwickelt. Einige Verfahrensarten werden nicht unterstützt, bei anderen fehlen wichtige Funktionen. Beispielsweise hat HADES keine Schnittstelle zu entsprechenden Verfahren bei der LOK oder dem Statistischen Landesamt (StaLa), sodass Daten auf Papier ausgedruckt werden und bei der LOK oder dem StaLa erneut erfasst werden müssen.
Das JuM kam 1999 zu der Bewertung, dass HADES für einen dauerhaften Einsatz bei den Land- und Amtsgerichten nicht geeignet sei. Ursächlich hierfür sei insbesondere, dass HADES angesichts der kleinräumigen Gerichtsstruktur einen hohen Pflege- und Betreuungsaufwand bei einem Einsatz in der Fläche bedingt. Das JuM entschied sich daher, ein Nachfolgeprogramm (JUSTUS) zu entwickeln. HADES soll noch eingesetzt werden, bis JUSTUS zur Verfügung steht.
Nach Ansicht des RH war bereits bei Projektbeginn fraglich, ob das in dem Projektteam HADES vorhandene DV-Wissen für eine so komplexe Programmentwicklung ausreichend war. Daher hätte zumindest die Beauftragung einer externen Firma zur Überprüfung der Konzeption und Entwicklung zu einem früheren Zeitpunkt erfolgen müssen. Die Entscheidung, das Modul Vollstreckung auch nach dem Gutachten auf der Basis von HADES mit eigenen Mitarbeitern zu realisieren, erscheint fragwürdig.
2.4 JUSTUS-Programmfamilie
2.4.1 Allgemeines
Das JuM entschied 1999, für sämtliche Gerichtsbarkeiten seines Geschäftsbereichs eine neue, möglichst einheitliche Geschäftsstellenautomation entwickeln zu lassen. Begonnen wurde mit einem Programm für die Sozialgerichtsbarkeit (JUSTUS-SozG). Das Programm wurde bis Juni 2001 realisiert und abgenommen. Es wurde in den Folgemonaten bei allen Gerichten in der Sozialgerichtsbarkeit installiert und befindet sich seither im Einsatz. Für die Verwaltungs- und Finanzgerichtsbarkeit schloss das JuM im Oktober 2001 einen Vertrag zur Anpassung von JUSTUS-SozG an diese Gerichtsbarkeiten (JUSTUS-VG und -FG). Für die Entwicklung und Realisierung eines Programms für die Ordentliche Gerichtsbarkeit (JUSTUS-OrdG) wurde im Juni 2002 der Zuschlag erteilt. Die Kosten für die Entwicklung und Realisierung der Programme sollen nach derzeitigem Stand über 6 Mio. € betragen.
2.4.2 Programmeinsatz in der Verwaltungs- und Finanzgerichtsbarkeit
Die Programme JUSTUS-VG und -FG wurden am 21.12.2001 abgenommen, anschließend wurde die vereinbarte Vergütung gezahlt. Bei der Abnahme wurde eine Gewährleistungsfrist bis 28.02.2003 vereinbart, insbesondere weil für einen Echtbetrieb erforderliche Vorlagen fehlten. Diese wurden vom Personal der jeweiligen Gerichtsbarkeiten entgegen den ursprünglichen Annnahmen des JuM erst im Herbst 2002 fertig gestellt. Auch danach wurden die Programme JUSTUS-VG und -FG noch nicht eingesetzt, weil ein Kostenberechnungsmodul fehlte und bis Herbst 2002 die Migration der Altdaten aus den bisherigen Programmen noch nicht gelöst war. Die Entwicklung eines Kostenmoduls war erst für JUSTUS-OrdG vorgesehen.
Am 30.07.2002 beauftragte das JuM eine Firma mit der Realisierung einer DV-Lösung zur Migration der Altdaten und einer Anpassung des Kostenmoduls zur Weiternutzung der bisher eingesetzten Programme. Für die Anpassung des nur vorübergehend zu nutzenden Kostenmoduls fallen rd. 26.000 € Kosten an.
Die Anpassung des alten Kostenmoduls und das Programm zur Altdatenmigration stehen der Verwaltungs- und Finanzgerichtsbarkeit seit Anfang 2003 zur Verfügung. Der VGH plant den Ersteinsatz von JUSTUS-VG für Juni 2003. Das Finanzgericht will das Programm ab März 2003 einsetzen. Somit werden die Programme erst nach über einem Jahr seit ihrer Abnahme und Zahlung genutzt.
Im Zuge des Prüfungsverfahrens konnte das JuM mit der Herstellerfirma eine Verlängerung der Gewährleistungsfrist bis zum 15.08.2003 vereinbaren. Dennoch besteht die Gefahr, dass durch die stark verkürzte Einsatzzeit während der Gewährleistungsfrist Programmmängel zu spät entdeckt werden und danach kostenpflichtig behoben werden müssen.
Bei künftigen Programmentwicklungen sollten absehbar erforderliche Module sofort berücksichtigt werden, um regelmäßig teure Programmanpassungen zu vermeiden. Im Rahmen der Projektsteuerung ist ein unverzüglicher Praxiseinsatz nach Programmfertigstellung sicherzustellen.
2.4.3 Funktionsumfang der JUSTUS-Programme
Das JuM hat bei der Konzeption für die JUSTUS-Programme vorgegeben, nur die wesentlichen Geschäftsabläufe zu automatisieren. Die Programme sollten einen einheitlichen Programmkern haben, der einen Änderungsbedarf für den Einsatz bei verschiedenen Gerichten auf ein Minimum reduzieren soll. In die Entwicklungsphasen sollten Praktiker stets intensiv einbezogen werden, damit eine adäquate Fertigungstiefe und eine hohe Akzeptanz in der Praxis erreicht wird.
Die vom JuM angestrebte Begrenzung der Automation auf wesentliche Geschäftsabläufe ist richtig. Der RH hat jedoch Zweifel, ob dieses Ziel bei der Realisierung der JUSTUS-Programme immer verwirklicht worden ist:
- Die Programmanforderungen für JUSTUS-SozG hatten einen Umfang, der in zwei Aktenordnern beschrieben war. Für JUSTUS-VG wurden die Programmanforderungen in drei, für JUSTUS-FG in einem Aktenordner beschrieben. Die Programmanforderungen für JUSTUS-OrdG füllen 32 Aktenordner (13.000 DIN-A4-Seiten).
- Die Kosten der Anpassung von JUSTUS-SozG an die Bedürfnisse der Verwaltungsgerichtsbarkeit betrugen ein Drittel der ursprünglichen Entwicklungskosten.
- Die Anpassung des Grundmoduls „Basis“ für JUSTUS-OrdG wird mindestens das Dreifache des gesamten Programms JUSTUS-SozG kosten.
- Innerhalb des Programms JUSTUS-OrdG fallen für das Programmmodul „Beratungshilfe“, gemessen an dem in diesem Bereich eingesetzten Personal, zu hohe Kosten an.
Angesichts dieser Relationen kann nach Auffassung des RH bei JUSTUS-OrdG nicht mehr von der Anpassung eines - ursprünglich für die Sozialgerichtsbarkeit entwickelten - Programmkerns gesprochen werden. Vielmehr steht zu befürchten, dass die nun erfolgenden Programmentwicklungen letztlich zu eigenständigen Programmen führen werden. Das JuM hätte im Zuge seiner Projektsteuerung diese Relationen zum Anlass nehmen müssen, die Anforderungen der Gerichte an den Umfang der Programme und die Wirtschaftlichkeit einzelner Module kritisch zu hinterfragen.
Der RH hat dem JuM an Beispielen aufgezeigt, dass die Programme Funktionalitäten haben, deren Nutzen fragwürdig ist. Im Rahmen der Programmpflege sollte das JuM darauf achten, dass die Programme in ihrer Funktionalität schlank gehalten werden.
2.5 Folgerungen des Rechnungshofs
Der RH sieht im Projektmanagement bei der Entwicklung der Geschäftsstellenautomationen Optimierungspotenzial. Bei künftigen Entwicklungen sollten die Programmanforderungen verschlankt und dadurch auch die Entwicklungsdauer verkürzt und die Kosten gesenkt werden. Im Rahmen der Projektsteuerung ist ein nahtloser Programmeinsatz und eine hohe Nutzerakzeptanz sicherzustellen.
3 Wirtschaftlichkeitsuntersuchungen und Erfolgskontrollen
3.1 Allgemeines
Zur Grundausstattung eines modernen Büroarbeitsplatzes gehört eine bedarfsgerechte DV-Ausstattung (regelmäßig ein PC mit Netzwerkanbindung einschließlich sog. Standardprogramme). Falls darüber hinausgehende Fachanwendungen eingesetzt werden sollen, ist deren Erforderlichkeit und Wirtschaftlichkeit nach Auffassung des RH vor Beginn und nach Ende des Projekts eingehend zu untersuchen. Die bereits bei der Planung neuer Maßnahmen zu erstellenden Wirtschaftlichkeitsuntersuchungen sind eine wesentliche Grundlage für die Projektentscheidungen. Diese müssen die Ziele, alternative Lösungsmöglichkeiten, die Auswirkungen auf den Haushalt, die Kosten und den Nutzen der Ergebnisse und die Dringlichkeit der Maßnahmen benennen. Erfolgskontrollen für DV-Projekte sind nach Abschluss eines Projekts und begleitend durchzuführen (VV-LHO Nrn. 3.2 und 3.3 zu § 7 LHO sowie Nr. 3.1.6 der Richtlinien der Landesregierung über den Einsatz der Informations- und Kommunikationstechnik in der Landesverwaltung Baden-Württemberg).
3.2 Geschäftsbereich des Justizministeriums
3.2.1 Entscheidungsgrundlage für die JUSTUS-Entwicklungen
Das JuM hielt Ende der 90er Jahre die damals in der Sozialgerichtsbarkeit laufende Geschäftsstellenautomation aus technischen Gründen für nicht mehr weiter verwendbar. Im Gegensatz dazu hatten die Verwaltungs- und Finanzgerichtsbarkeit seit Anfang der 90er Jahre jeweils DV-Programme zur Geschäftsstellenautomation im Einsatz, die ihre Bedürfnisse im Wesentlichen deckten und zumindest bis auf Weiteres einsetzbar waren. Im Bereich der Ordentlichen Gerichtsbarkeit waren Ende der 90er Jahre verschiedene Programme zur Geschäftsstellenautomation im Einsatz. Die heterogene DV-Landschaft führte zu verschiedenen Problemen, insbesondere zu einem erhöhten Betreuungs- und Pflegeaufwand.
Das JuM entschied sich vor diesem Hintergrund für eine neue, weitgehend einheitliche Entwicklung einer Geschäftsstellenautomation für alle Gerichtsbarkeiten in seinem Geschäftsbereich. Einsparungen durch Rationalisierungen, die über das mit dem bisherigen DV-Einsatz Erreichte hinausgehen, erwartet das JuM durch das neue Programm nicht.
Nach § 7 Abs. 2 LHO sind für alle finanzwirksamen Maßnahmen angemessene Wirtschaftlichkeitsuntersuchungen durchzuführen. Neben der Beschreibung der Ziele und der finanziellen Auswirkungen sollten auch Aussagen zu evtl. Alternativlösungen getroffen werden. Der RH bestreitet nicht die vom JuM gesehene Notwendigkeit zur Ablösung der Altprogramme in der Sozialgerichtsbarkeit. Dennoch wären die zuvor genannten Aussagen erforderlich gewesen, um eine sichere Basis für die Projektentscheidung, den Zeitpunkt der Umsetzung und eine spätere Erfolgskontrolle zu haben. Dies gilt besonders für die Verwaltungs-, Finanz- und Ordentliche Gerichtsbarkeit, da diese programmtechnisch nicht zwingend sofort neue Geschäftsstellenautomationen benötigten. Angesichts der finanziellen Dimensionen wäre es auch verhältnismäßig gewesen, eingehende Wirtschaftlichkeitsuntersuchungen zu erstellen.
3.2.2 Erfolgskontrollen
Im Bereich der Ordentlichen Gerichtsbarkeit hat das JuM zwei Erfolgskontrollen durchführen lassen. Beim SIJUS-Programm wurde dabei ein methodisch falscher Ansatz gewählt, weil der Bedarfsermittlung statt der Verfahrenserledigungen die Verfahrenseingänge zu Grunde gelegt worden sind. Als Entlastungsfaktor wurde ein Anteil des eingesetzten Personals in Höhe von netto 11 % für Zivilsachen und 24 % für Familiensachen angenommen. Bei der zeitlich späteren Erfolgskontrolle der Geschäftsstellenautomation in Zivilsachen mit HADES wurde ein analytischer Ansatz gewählt. Als Entlastungsfaktor wurden netto 9 % ermittelt.
Für die anderen eingesetzten Programme im Bereich der Ordentlichen Gerichtsbarkeit wurde keine Erfolgskontrolle durchgeführt. Es wurde auch nicht ermittelt, wie hoch die Kosten für die Programmentwicklung und -realisierung waren.
Das JuM hat dem RH im Zuge des Prüfungsverfahrens mitgeteilt, dass es beabsichtigt, für die JUSTUS-Programme Erfolgskontrollen durchzuführen. Die Neuentwicklung würde eine Ersatzbeschaffung darstellen, die bereits eingetretene und durch Personalabzüge abgeschöpfte Rationalisierungseffekte erhalten solle.
Die Verwaltungsabteilungen der Oberlandesgerichte Karlsruhe und Stuttgart berücksichtigen bei ihren Personalbedarfsberechnungen für die Unterstützungskräfte einen Entlastungsfaktor von netto 3 % je eingesetztem PC ohne Geschäftsstellenautomation. Die geringe Differenz dieses Entlastungseffekts von 3 % bei PC-Einsatz mit Standardsoftware gegenüber 9 % bei HADES-Einsatz lässt vermuten, dass nicht alle automatisierten Bearbeitungsschritte zu spürbaren Entlastungen geführt haben.
Das JuM geht davon aus, dass mit den neuen JUSTUS-Programmen keine zusätzlichen Personaleinsparungen im Bereich der Unterstützungskräfte der Gerichte zu erwarten sind. Gerade deshalb ist es besonders wichtig, im Rahmen einer Untersuchung die Wirtschaftlichkeit des Projekts zu betrachten. Wenn die Entlastung der Unterstützungskräfte durch spezielle Geschäftsstellenautomationsprogramme tatsächlich nur 6 Prozentpunkte über der Entlastung durch reine Standard-Software liegt, muss dies Anlass für eine strenge Begrenzung der Programme auf die Bereiche ihres hauptsächlichen Nutzens sein. Hierdurch könnten die Programmkosten deutlich gesenkt werden.
Berechnungen zum Rationalisierungserfolg sind die Basis für künftige Entscheidungen, welchen Automationsumfang Gerichtsprogramme haben sollen. Durch eine Reduzierung des Programmumfangs können erhebliche Entwicklungs-, Einführungs-, Schulungs-, Pflege- und Betreuungskosten gespart werden. Entsprechende Vergleichsberechnungen sind künftig vorzunehmen.
Ohne diese Berechnungen kann nicht festgestellt werden, ob die aufgewendeten Mittel für die JUSTUS-Programme wirtschaftlich und sparsam verwendet wurden. Der RH hält eine Erfolgskontrolle, die auch Aspekte einer Wirtschaftlichkeitsuntersuchung berücksichtigt, für erforderlich. Damit kann die Verwaltung bei künftigen Projekten die Notwendigkeit einzelner Fachanwendungen unter wirtschaftlichen Aspekten besser beurteilen. Bei neuen Programmen sind dabei die gesamten Entwicklungskosten systematisch zu ermitteln.
3.3 Geschäftsbereich des Sozialministeriums
Für die Arbeitsgerichtsbarkeit wurde 1991 mit der Entwicklung einer Geschäftsstellenautomation (ARGUS) begonnen. Bei Projektbeginn ging das SM davon aus, dass sich durch dieses Projekt in einem elfjährigen Zeitraum ein Kostenvorteil von über 3 Mio. € ergäbe. Bis 1994 wurde ARGUS bei mehreren Arbeitsgerichten installiert, obwohl es die ursprünglich definierten Anforderungen in wesentlichen Teilen nicht erfüllte. Im Mai 1994 bewertete das Landesarbeitsgericht (LAG) das Projekt neu und entschied, es auf dieser Basis nicht weiter zu betreiben. Statt dessen wurde ein Nachfolgeprogramm (FOCUS) entwickelt. Bis zu diesem Zeitpunkt waren für die Entwicklung des ursprünglichen Programms rd. 320.000 € aufgewendet worden.
Das SM hat bisher keine Erfolgskontrolle durchgeführt und auch nicht ermittelt, in welcher Höhe die Geschäftsstellenautomation in der Arbeitsgerichtsbarkeit einen Rationalisierungsgewinn erbrachte.
Nach Auffassung des RH hätten die Schwachstellen, die zur Einstellung des ursprünglichen Programms geführt haben, bei Durchführung ordnungsgemäßer Erfolgskontrollen früher erkannt werden können. Hierdurch hätten die für die Entwicklung gezahlten Kosten reduziert werden können. Eine ordnungsgemäße Erfolgskontrolle ist bei künftigen Entwicklungen unabdingbar.
4 Kooperationen bei Geschäftsstellenautomationen
4.1 Justizministerium und Sozialministerium
Die Aufgabenstellung bei der Bearbeitung von Verfahren durch Unterstützungskräfte ist zumindest bei einigen Gerichtsbarkeiten ähnlich. Beispielsweise dürften sich die erforderlichen Arbeitsschritte bei der Verfahrensbearbeitung in den Zivilsachen bei den Amtsgerichten und in den Arbeitsgerichtsverfahren ähneln. Daher ist es naheliegend, dass vor der Entwicklung von Geschäftsstellenautomationen die Kooperationsmöglichkeiten mit allen Gerichtsbarkeiten geprüft werden sollten.
Das SM entschied 1994, für die Belange der Arbeitsgerichtsbarkeit FOCUS als eigenständige Geschäftsstellenautomation zu entwickeln. Die Entwicklung von FOCUS erfolgte in den Jahren 1996/1997. Das Programm basiert auf der Standardsoftware LOTUS NOTES und bietet nach Auffassung des LAG eine umfassende Unterstützung für die Servicekräfte, sei übersichtlich und leicht zu erlernen. Die Bediensteten seien mit dem Programm zufrieden. Auf Grund der eingesetzten Standardsoftware LOTUS NOTES entspreche FOCUS nicht den Anforderungen des Landessystemkonzepts. Das SM sieht derzeit keinen Bedarf für eine Änderung von FOCUS und will es weiterhin einsetzen.
Auch das JuM ließ in den Jahren 1994 bis 1996 eine eigenständige Geschäftsstellenautomation (HADES) entwickeln. Das Programm HADES wurde vom JuM Ende der 90er Jahre als nicht zukunftsfähig angesehen, weshalb das JuM entschied, ein Nachfolgeprogramm (JUSTUS) entwickeln zu lassen. Bei seiner Konzeption für eine neue Geschäftsstellenautomation mit JUSTUS hat das JuM nur die Gerichtsbarkeiten in seinem Geschäftsbereich berücksichtigt. Wie bei FOCUS ist auch bei dem Programm JUSTUS-SozG der Verfahrensablauf bei der Fallbearbeitung abgebildet.
Weder das JuM noch das SM haben bei ihren Konzeptionen für HADES/JUSTUS und FOCUS eine Abstimmung mit der anderen Gerichtsbarkeit herbeigeführt. Nach Aussagen des JuM kam FOCUS als Basis für eine Entwicklung einer Geschäftsstellenautomation für die Gerichtsbarkeiten in seinem Geschäftsbereich nicht in Betracht, da es die Standards des Landessystemkonzepts nicht erfüllt. Ob ein Einsatz von FOCUS unter Begründung einer Ausnahme von den Standards des Landessystemkonzepts in Betracht käme, wurde nicht untersucht.
Die Entwicklung, Realisierung und Pflege von DV-Programmen ist mit erheblichen Kosten verbunden. Beispielsweise wurden bei der Arbeitsgerichtsbarkeit in den vergangenen zweieinhalb Jahren für die Programmpflege von FOCUS insgesamt rd. 135.000 € gezahlt. Auf Grund der bisherigen Erfahrungen geht der RH davon aus, dass auch künftig ein Weiterentwicklungs- und Pflegeaufwand in ähnlicher Größenordnung anfallen wird.
Bei der Entwicklung von DV-Programmen für die Gerichte sollte eine Abstimmung mit allen Gerichtsbarkeiten auch bei unterschiedlichen Ressortzuständigkeiten erfolgen. Durch Kooperationen kann der erforderliche Aufwand für Programmentwicklungen und -pflege gemindert werden.
4.2 Kooperationen mit anderen Ländern
4.2.1 Aufgabenstellung für die Unterstützungskräfte
Die Aufgabenstellung der Unterstützungskräfte bei den jeweiligen Gerichtsbarkeiten ist in allen Bundesländern grundsätzlich vergleichbar. Daher wäre es naheliegend, wenn die Länder für die Unterstützung der Arbeitsabläufe bei den Gerichten möglichst gemeinsam DV-Programme entwickeln, realisieren und pflegen würden.
Die Ausgestaltung der Aufbau- und Ablauforganisationen der Gerichte und Justizbehörden können die Länder nach ihren Vorstellungen regeln. Sie sind derzeit nicht einheitlich. In diesem Zusammenhang ist zu beachten, dass die richterliche Unabhängigkeit die Arbeitsweise der Unterstützungskräfte stark beeinflusst.
4.2.2 Bestehende Kooperationen
Um Fragen der „DV und Rationalisierungen in der Justiz“ zwischen den Ländern abzustimmen, besteht schon seit den 70er Jahren eine gleichnamige Bund-Länder-Kommission. Neben allgemeinem Informationsaustausch trug sie dazu bei, dass für verschiedene DV-Programme Länderkooperationen begründet wurden.
Nach Auskunft des JuM bestehen für vier in Baden-Württemberg eingesetzte Programme Kooperationen mit anderen Ländern. Hierbei haben sich verschiedene Länder zu einem Pflege- und Entwicklungsverbund zusammengeschlossen. Anfallende Kosten werden seither durch diese Länder gemeinsam getragen; die Aufteilung erfolgt nach dem sog. Königsteiner Schlüssel; der Kostenanteil von Baden-Württemberg betrug 2002 rd. 12 %. Wie hoch die durch diese Kooperationen gesparten Pflege- und Entwicklungskosten waren, wurde nicht festgestellt.
4.2.3 Nicht zu Stande gekommene Kooperationen
Denkbare weitere Kooperationen mit anderen Ländern wurden vom JuM und vom SM und verschiedenen Obergerichten in den vergangenen Jahren mit unterschiedlichen Begründungen nicht weiter verfolgt.
- Das Landessozialgericht lehnte 1992 den Einsatz eines in einem anderen Land eingesetzten Programms ab, da dieses landestypische Besonderheiten abgebildet habe.
- Das SM entschied sich 1992 gegen den Einsatz eines von zwei Programmen, die in einer „gutachterlichen Äußerung von Angehörigen der Arbeitsgerichtsbarkeit über die Softwareentwicklungen in verschiedenen Ländern“ als für einen Einsatz in der Arbeitsgerichtsbarkeit geeignet bezeichnet wurden. In der Folge wurde das Programm ARGUS entwickelt, das bereits 1994 nicht weiter verfolgt wurde.
- Das LAG unterhält seit Mitte der 90er Jahre Kontakt zu einem anderen Land bezüglich des DV-Einsatzes in der Arbeitsgerichtsbarkeit. Es erklärte sich 1997 damit einverstanden, dass die in Baden-Württemberg entwickelte Software-Lösung FOCUS auch dort eingesetzt werden kann. In der Folgezeit wurde das Programm in den jeweiligen Ländern unterschiedlich weiterentwickelt; die Kooperationsbemühungen verliefen im Sande.
- Das JuM entschied sich 1996 für eine eigenständige Entwicklung des Programms HADES und gegen eine Kooperation mit anderen Ländern, obwohl in einem Land ein Programm mit ähnlicher Funktionalität gleichzeitig entwickelt wurde. Die Entscheidung wurde damit begründet, dass der zu erwartende Abstimmungs- und Testaufwand gegen eine Entwicklungskooperation gesprochen habe. HADES wurde vom JuM Ende der 90er Jahre als nicht zukunftsfähig angesehen.
- Das JuM sondierte vor der Entscheidung über JUSTUS ab Juli 2000 die gemeinsame Entwicklung einer Geschäftsstellenautomation mit einem anderen Land. Dieses Land hatte bereits mit der Entwicklung eines neuen Programms begonnen. Bei einer Bewertung der Kooperationsmöglichkeit kam das JuM zu dem Schluss, dass sich die Vorstellungen Baden-Württembergs bei einer Kooperation nicht verwirklichen lassen würden. Eine Kooperation kam nicht zu Stande.
In den genannten Fällen kamen Kooperationen insbesondere wegen landestypischer Besonderheiten nicht zu Stande.
4.2.4 Bewertung des Rechnungshofs
Der RH verkennt nicht die Schwierigkeiten, die eine Kooperation mit anderen Ländern im DV-Bereich mit sich bringt. Ein großer Teil der Schwierigkeiten bei gemeinsamen DV-Programmen entsteht dadurch, dass die Programme die unterschiedlichen Arbeitsabläufe zu detailliert abbilden. Hierdurch werden gemeinsame Lösungen erschwert und verteuert. Kooperationen würden darüber hinaus erleichtert werden, wenn die Arbeitsabläufe bundesweit einem einheitlichen Grobraster folgen und die DV-Programme nur diese wesentlichen Arbeitsschritte abbilden würden. Am Beispiel des Mahnverfahrens zeigt sich, dass dort in Folge des einheitlichen Arbeitsablaufs erfolgreich ein einheitliches Programm eingesetzt werden kann.
5 Stellungnahmen der Ministerien
5.1 Justizministerium
Das JuM weist auf die - nicht justizspezifischen - Schwierigkeiten der Anwendungsentwicklung im DV-Bereich hin, die insbesondere in der umwälzenden technischen Entwicklung und im beschränkten Mitteleinsatz begründet seien. Die begrenzt zur Verfügung stehenden Haushaltsmittel hätten sich teilweise negativ auf die Entwicklungsdauer der Programme ausgewirkt. Der Programmumfang in der Ordentlichen Gerichtsbarkeit spiegele die Vielfalt der fachlichen Anforderungen und die gesetzlichen Vorgaben wider. Die Beschreibung der Programmanforderungen für die Ordentliche Gerichtsbarkeit sei auch deshalb umfangreicher, weil sämtliche gebräuchlichen Textmuster enthalten seien. Insoweit handele es sich tatsächlich nicht um eine Programmanpassung, sondern um ein eigenständiges Programm.
Das JuM führt weiter aus, Erfolgskontrollen von Geschäftsstellenautomationen erforderten einen Praxiseinsatz an einer repräsentativen Zahl von Arbeitsplätzen. Sie sollten daher zeitlich nach Abschluss der jeweiligen Programmeinführungen erfolgen. Die vom RH aus früheren Projekten gezogenen Schlüsse werden weitgehend auch vom JuM bestätigt. Die Erkenntnisse seien in vielen Bereichen in den neueren Projekten berücksichtigt worden. Künftig würden auch die Anregungen zu vertieften Wirtschaftlichkeitsuntersuchungen stärker berücksichtigt werden.
Das JuM kann sich eine Kooperation mit dem SM bezüglich eines gemeinsamen Einsatzes einer Geschäftsstellenautomation auf der Basis von JUSTUS vorstellen. Gemeinsame Entwicklungen mit anderen Ländern seien in der Vergangenheit oft an Rahmenbedingungen wie Ausstattungsumfang, Verfügbarkeit von Haushaltsmitteln und unterschiedlichen Einsatzzeitpunkten gescheitert.
5.2 Sozialministerium
Das SM weist in seiner Stellungnahme darauf hin, es habe bezüglich des Programms ARGUS auf eine Erfolgskontrolle verzichtet, weil es zunächst nur bei einem Teil der Arbeitsgerichte eingesetzt worden sei. Für FOCUS werde die Erfolgskontrolle dergestalt durchgeführt, dass permanent ein Abgleich der Fortentwicklung zu den Anforderungen im Pflichtenheft stattfinde. Das Programm erfülle alle Anforderungen der Arbeitsgerichtsbarkeit. Auf absehbare Zeit werde keine Notwendigkeit für einen Systemwechsel gesehen. Die durch die Geschäftsstellenautomation erzielten Rationalisierungen sollten im Zusammenhang mit einer beabsichtigten, bundesweiten Personalbedarfsberechung auf analytischer Basis ermittelt werden.
Im Falle einer evtl. Kooperation zwischen dem JuM und dem SM zur Entwicklung einer gemeinsamen Plattform für eine Geschäftsstellenautomation habe das SM befürchtet, dass der Arbeitsgerichtsbarkeit keine angemessene Priorität eingeräumt worden wäre. Das SM geht nicht davon aus, dass eine Kooperation mit einem anderen Land zustande kommen wird. Die anderen Länder hätten überwiegend schon eigene Automationslösungen umgesetzt.
6 Schlussbemerkung
Das JuM und das SM haben die DV bei Gerichten und Notariaten in den vergangenen Jahren mit erheblichem Aufwand modernisiert. Obwohl dies im Grundsatz richtig war, hält es der RH für erforderlich, durch ein optimiertes Projektmanagement und insbesondere durch die Reduzierung der jeweiligen Programmanforderungen in Zukunft Entwicklungszeiten zu verkürzen, Kooperationsmöglichkeiten zu verbessern und die Wirtschaftlichkeit der Programme zu erhöhen. Angesichts der hohen Investitionen in Geschäftsstellenautomationen sind für die Programme Wirtschaftlichkeitsuntersuchungen und Erfolgskontrollen durchzuführen.
Anhänge
Die Beschaffung von IuK-Geräten wird nicht in wirtschaftlich sinnvollem Umfang gebündelt, ist zu aufwändig und erfüllt nicht immer die rechtlichen Vorgaben. Mit Hilfe der Internet-Technik und nach organisatorischen Änderungen können die Beschaffungen vereinfacht, wirtschaftlicher gestaltet und rechtssicherer gemacht werden.
1 Untersuchungsgegenstand
Nach überschlägiger Auswertung der amtlichen Personalstandsstatistik zum 30.06.2000 betreibt das Land in seinen Behörden und Einrichtungen mindestens 80.000 Bildschirmarbeitsplätze (BSA) , die in der Regel aus den Einzelkomponenten Bildschirm, Rechner und Drucker bestehen. Bei einer durchschnittlichen Nutzungsdauer von vier Jahren ergibt sich daher ein jährlicher Ersatzbedarf von 60.000 solcher Einzelkomponenten für die IuK-Arbeitsplätze. Darüber hinaus sind noch Notebooks, Server oder Netzwerkkomponenten und auch Verbrauchsmaterialien für den IuK-Betrieb erforderlich.
Die staatlichen Einrichtungen beschaffen, betreiben und betreuen ihre IuK-Geräte überwiegend selbst. Lediglich 9.500 BSA von zunächst 20.000 vorgesehenen werden von einer externen Firma betrieben. Ein vom IM geschlossener „Rahmenvertrag über Outsourcing Bürokommunikation“ hat auf diesem Gebiet nicht im erwarteten Umfang zur Privatisierung beitragen können. Vor diesem Hintergrund kommt der Wirtschaftlichkeit und Ordnungsmäßigkeit der IuK-Gerätebeschaffung besondere Bedeutung zu.
Der RH hat sich mittels Fragebögen einen Überblick über größere IuK-Beschaffungen in den Geschäftsbereichen der Ministerien für die Jahre 2001 und 2002 verschafft. Zeitgleich haben die StRPÄ alle IuK-Beschaffungen der FH Offenburg, Karlsruhe, Esslingen und Reutlingen, der Pädagogischen Hochschulen Heidelberg, Ludwigsburg und Weingarten sowie der Berufsakademie Lörrach aus den Jahren 2000 bis 2002 erhoben.
2 Beschaffungen durch das Finanzministerium
Das FM beschafft IuK-Geräte für seinen Geschäftsbereich durch EU-weite Ausschreibungen im Nichtoffenen Verfahren mit vorgeschaltetem Teilnahmewettbewerb (vergleichbar mit Beschränkter Ausschreibung auf nationaler Ebene) und versieht die Verträge mit Öffnungsklauseln, nach denen auch andere Behörden des Landes und die Kommunen zu den selben Bedingungen in einem definierten Zeitraum abnahmeberechtigt sind. So hat es im Oktober 2002 einen Vertrag mit einer garantierten Abnahme von 4.000 PC geschlossen und das optionale Bezugsrecht für weitere 6.000 PC geregelt. Den Bezugsberechtigten bleibt es lt. Leistungsverzeichnis unbenommen, günstigere Bedingungen zu vereinbaren. Den Zuschlag für diese Ausschreibung erhielten drei namhafte Gerätehersteller. Laut Bekanntmachung des FM „txt_ellipsis erfolgt die Aufteilung der Abnahmemenge im Wettbewerb der Hersteller und wird von Fall zu Fall (Kontingent) nach wirtschaftlichen Kriterien entschieden“. Die „Ausschreibungsgewinner“ übertrugen die Abwicklung der Aufträge an mittelständische Händler aus dem Land.
Im Zeitraum Juni 1998 bis März 2001 hat das FM auf diese oder ähnliche Weise zwölf Beschaffungsmaßnahmen mit einer finanziellen Größenordnung von 13 Mio. € Mindestabnahme durchgeführt. Durch Optionen wären Beschaffungen von insgesamt rd. 30 Mio. € möglich gewesen.
Die Vereinbarung von Bezugsmengen, die über den eigenen Bedarf des FM hinaus gehen, und die Öffnungsklauseln in den Verträgen sind Schritte in die richtige Richtung. Sie sollen den Bedarf bündeln, größere Lose ermöglichen und außerdem anderen Einrichtungen Ausschreibungsaufwand ersparen. Diese Ziele werden in der Praxis jedoch nur bedingt erreicht:
- Dem Verfahren ist weder eine Bedarfserhebung vorgeschaltet noch folgt ihm eine Erfolgskontrolle. Das FM wird seitens der anderen Bedarfsträger nicht über deren Abrufe informiert, und es wird nicht mitgeteilt, wie viele Geräte die Firmen auf Grund der Verträge tatsächlich ausgeliefert haben.
- Zwar ist fast überall im Land grundsätzlich bekannt, dass das FM „für alle“ ausschreibt; Einzelheiten über das Beschaffungsverfahren und die Bedingungen erreichen die Bearbeiter in den Behörden aber nicht immer zuverlässig.
- Die vom FM weiter gegebenen Listen über Bezugsmöglichkeiten sind als Basis für Preisvergleiche nicht gut geeignet:
- Sie enthalten zu wenig konkrete Informationen über die Ausstattung der Geräte.
- Aus den Listen ergibt sich nicht hinreichend genau, ob und welche Betriebsystem-Software mit der Hardware geliefert wird.
- Mitgeteilt wird zwar der Zuschlagspreis, manchmal jedoch nicht, wie lange dieser gilt.
- Völlig unbekannt vor Ort ist, wie sich vom FM vereinbarte Preisanpassungsklauseln auswirken, vor allem, wenn die Firmen die ausgeschriebenen Geräte nicht mehr führen, sondern Nachfolgemodelle liefern wollen.
- Die Vertragsdurchführung wird nicht überwacht. Die Firmen werben mit Geräten unter Hinweis auf die FM-Ausschreibung, obwohl diese Geräte nicht Gegenstand der Ausschreibung waren, und verkaufen diese auch oder verkaufen Geräte zu anderen als in den FM-Listen genannten Preisen. Beispiel: Eine Firma hat einer Pädagogischen Hochschule je 40 PC der Marke Fujitsu Siemens SCENIC T i845D zum Preis von 799 € und SCENIC L i845 zum Preis von 811 € angeboten und schriftlich bestätigt: „Alle Preise sind lt. FM vom Land Baden-Württemberg kalkuliert und vom Warenkorb abgesichert“. Dies traf nicht zu.
Das FM stellt diese Kritikpunkte nicht in Abrede, sondern verweist darauf, dass es nicht Landesbeschaffungsstelle sein kann und will, sondern in erster Linie den Bedarf seiner Behörden deckt und nur im Rahmen seiner personellen Möglichkeiten versucht, den anderen Landeseinrichtungen günstige Bezugsmöglichkeiten für IuK-Geräte zu eröffnen. Auf freiwilliger Basis erbringt das FM eine kostenlose Dienstleistung für alle Bedarfsträger im Land. Es hält - wie der RH - Verfahrensänderungen für sinnvoll.
3 IuK-Gerätebeschaffungen in den Geschäftsbereichen der Ministerien
Die Umfrage des RH brachte das in Übersicht 1 wiedergegebene Ergebnis.

Über 60 Organisationseinheiten beschaffen jährlich etwa 40.000 Geräte und schließen hierüber mehr als 200 Verträge ab. In den Jahren 2001 und 2002 betrug das Volumen 65 Mio. € und wurde zu 40 % über Miete oder Leasing finanziert. Abgefragt wurden nur größere Beschaffungen ab etwa 30 gleichartigen Geräten oder einem Beschaffungsvolumen ab etwa 40.000 €. Die tatsächliche Anzahl der Beschaffungsvorgänge liegt um ein Vielfaches höher. Mögliche Preisminderungen durch weitere Bündelung und die Einbeziehung der vielen Beschaffungen unterhalb der Umfragegrenze von angenommen (lediglich) 5 % würden demnach ein Finanzierungspotential von mindestens 3 Mio. € erschließen.
4 IuK-Gerätebeschaffungen ausgewählter Fachhochschulen, Pädagogischen Hochschulen und Berufsakademien
4.1 Überblick
Die Stichprobe umfasste acht Hochschulen mit zusammen etwa 3.700 BSA. Bezogen auf die Anzahl der Einrichtungen beträgt der Stichprobenumfang 21 %. Die von diesen acht Hochschulen im Zeitraum 2000 bis 2002 durchgeführten Beschaffungen zeigt Übersicht 2.

Stichproben der StRPÄ in den Beschaffungsakten haben gezeigt, dass Vorgänge, die von den geprüften Stellen als „Ausschreibungen“ bezeichnet werden, formal fehlerhaft durchgeführt wurden und als Freihändige Vergaben zu werten sind; insgesamt ist somit bei den Hochschulen die Freihändige Vergabe der Regelfall (über 90 %).
Fast alle Geräte wurden gekauft, Leasingfinanzierung kam nicht vor. Ein wesentlicher Grund hierfür ist die Mischfinanzierung mit Bundesmitteln.
4.2 Feststellungen
4.2.1 Die Organisation des IuK-Beschaffungswesens weist teilweise strukturelle Defizite auf.
Tätig sind viele unterschiedliche Beschaffungsstellen, die den IuK-Bedarf der Gesamteinrichtung nicht systematisch ermitteln, sondern „auf Zuruf“ einzeln beschaffen. Beschaffungsstellen sind nicht selten wissenschaftliche Assistenten mit Zeitverträgen, mit der Folge häufig wechselnden Personals ohne hinreichende Kenntnisse der Rechtsgrundlagen. In Einzelfällen wird auch das in der Einrichtung vorhandene IuK-Fachwissen nicht immer genutzt. In einzelnen Einrichtungen stehen dem Personal keine Hilfsmittel in Form von Formularen oder Bildschirmmasken zur Verfügung, die den Beschaffungsvorgang strukturieren, erleichtern und nachvollziehbar machen.
4.2.2 Das Vergabewesen entspricht nicht den Formvorschriften.
Die VOL und die LHO sind in vielen Beschaffungsstellen nur unzureichend bekannt. Öffentliche Ausschreibungen werden fast nie, Beschränkte Ausschreibungen nur selten durchgeführt; es überwiegt die Freihändige Vergabe.
Die vielen Kleinaufträge liegen zwar unter der Ausschreibungsgrenze von 10.000 €. Sie sind trotzdem zu kritisieren, weil bei Bedarfsbündelung größere Lose entstehen würden. So hat eine FH im Erhebungszeitraum 402 Beschaffungen durchgeführt und dabei 1.041 IuK-Geräte erworben. Umgerechnet auf 230 Arbeitstage je Jahr bedeutet dies, dass im Durchschnitt des Erhebungszeitraums bei dieser Einrichtung mindestens an jedem 2. Arbeitstag (alle 1,7 Arbeitstage) eine Beschaffung durchgeführt wurde. In 258 Fällen wurde jeweils nur ein einzelnes IuK-Gerät beschafft. Durch den Verzicht auf eine Bündelung nahm sich diese Einrichtung die Möglichkeit, auf Grund der größeren Verhandlungsmasse günstigere Konditionen aushandeln zu können. Außerdem ist die fehlende Koordination in der Bedarfsermittlung zu bemängeln.
4.2.3 Die Auftragsvergabe wird nicht immer ausreichend dokumentiert und entzieht sich somit einer in- und externen Revision.
Gründe für den Ausschreibungsverzicht (§ 3 Nr. 5 VOL/A) sind nicht aktenkundig. Das Preisermittlungsverfahren ist nicht nachvollziehbar, weil Vergleichsangebote selten dokumentiert sind. Selbst Angebote, die zum Zuschlag führten, sind in den Akten nicht immer vorhanden. Vergabevermerke, die § 30 VOL/A gerecht würden, sind meistens nicht zu finden.
4.2.4 Die Einrichtungen nehmen die Bezugsmöglichkeiten aus Ausschreibungen des FM nur unzureichend in Anspruch.
Teils sind diese an der Basis nicht bekannt, teils werden die FM-Preise als überholt und überteuert eingestuft, ohne dass dies belegt werden kann. Die Veröffentlichungen des FM seien als Vergleichsbasis nicht geeignet. Auch seien für Forschung und Lehre keine Standard-PC, sondern stets nur speziell konfigurierte Geräte verwendbar.
Abgesehen davon, dass bei Bildschirmen und Druckern bei den Hochschulen kaum ein Unterschied zu Behördenarbeitsplätzen festzustellen ist, gibt es keinen wirtschaftlichen Grund, auf gemeinsame Beschaffungen generell zu verzichten.
Auf eine positiv zu wertende gemeinsame Beschaffung mit Standardisierung und Bündelung ist die Finanzkontrolle bei der FH Karlsruhe gestoßen. Diese hat - unterstützt von einem Arbeitskreis - für 14 FH einheitliche CAD-Ausstattungen (CAD = Computer Aided Design, Entwerfen und Zeichnen mittels Computern) im Wert von 2,3 Mio. € beschafft (305 Arbeitsplätze).
4.2.5 Die Hochschulen kaufen teurer als nötig ein.
Die StRPÄ sind bei ihren Stichproben auf etliche Beschaffungen gestoßen, bei denen durch einen Bezug über die FM-Ausschreibungen oder durch Bündelung günstigere Preise erzielt und dadurch Mittel hätten gespart werden können. Hierzu einige Beispiele:
a) Eine FH hat im Erhebungszeitraum keine Geräte aus der FM-Ausschreibung abgerufen, sondern identische Geräte zu wesentlich höheren Preisen gekauft (s. Übersicht 3). Die verglichenen Preise beinhalten jeweils identische Garantieleistungen.

b) Eine Pädagogische Hochschule beschaffte von einer Firma, die vom FM den Zuschlag erhielt, Bildschirme zu höheren und zu niedrigeren Preisen als in den Ausschreibungen des FM angegeben (s. Übersicht 4).

c) In vergleichbaren Zeiträumen haben verschiedene Hochschulen und teilweise die selben Fachbereiche dieser Hochschulen für Geräte gleichen Typs bei verschiedenen Anbietern unterschiedliche Preise bezahlt. Die verglichenen Preise beinhalten jeweils die gleichen Garantieleistungen (s. Übersicht 5).

4.2.6 Der Informationsstand über die für die Hochschulen geltenden Sondervereinbarungen ist unzureichend.
Ein allgemeiner Überblick über vorhandene Rahmenverträge sowie spezielle Vereinbarungen zur Gewährung von Rabatten für Forschung und Lehre u. ä. sind nicht vorhanden. Das Verzeichnis der Rahmenverträge im Landesintranet, auf das im Übrigen die meisten Fachbereiche der Hochschulen keinen Zugriff haben, spart Forschung und Lehre aus. Ein Informationssystem oder eine Plattform für einen Erfahrungsaustausch fehlen.
4.3 Wertung
Die Erhebung der StRPÄ hat viele zu beanstandende Punkte zu Tage gefördert. Das Dargestellte trifft zwar nicht bei allen Einrichtungen in vollem Umfang zu - teilweise wurden auch mustergültig durchgeführte und dokumentierte Beschaffungen und geeignete Formulare zur Ablaufunterstützung angetroffen -, es charakterisiert aber die Gesamtsituation.
Manche Einrichtungen klagen über technologischen Rückstand auf Grund fehlender IuK-Finanzmittel zu Lasten ihrer Studenten, setzen andererseits ihr Geld aber nicht optimal ein. Ziel der Finanzkontrolle ist hier nicht die Mittelstreichung, sondern das Aufzeigen von Wegen, um die zur Verfügung stehenden Gelder wirtschaftlicher einzusetzen, was wiederum Forschung und Lehre zu Gute kommen soll.
Die ordnungsgemäße und wirtschaftliche Umsetzung der Vergabevorschriften (4. Teil des Gesetzes gegen Wettbewerbsbeschränkungen, § 55 LHO und die VwV dazu, VOL, VOB und VOF) erfordern neben Rechtsverständnis auch Übung und Erfahrung. Diese kann bei „Gelegenheitsbeschaffern“, wie sie bei den Hochschulen häufig anzutreffen sind, gar nicht vorhanden sein. Auf diese Zusammenhänge hat der RH das MWK bereits mit Schreiben vom 26.10.2000 hingewiesen, worauf das MWK zugestanden hat, „dass das Beschaffungswesen txt_ellipsis einer Revision bedarf“.
Die neueren Erhebungen zeigen, dass die Zustände weiter verbessert werden können. Vor allem Bedienstete der Hochschulen äußerten während der Prüfung den Wunsch, durch einen bildschirmgestützten Prozessablauf geführt zu werden (Werkzeug), nach einer Anlaufstelle für Zweifelsfragen (Beratung) und der Möglichkeit sich aus „Warenkörben“ zu bedienen (Abruf). Dies zeigt den dringenden Bedarf an Arbeitshilfen zur optimalen Umsetzung der Vergabevorschriften.
4.4 Empfehlungen für die Hochschulen
Bedienstete der Hochschulen haben eine Fülle von Wünschen geäußert, die sich im Ergebnis mit den Überlegungen der Finanzkontrolle weitgehend decken und in folgende Vorschläge münden:
- Zumindest innerhalb der jeweiligen Einrichtung sind Beschaffungen so weit wie möglich zu bündeln, um größere Vergabelose zu ermöglichen.
- Auch eine regelmäßige Bedarfserhebung für jeweils alle FH, Pädagogischen Hochschulen und Berufakademien sollte geprüft werden. Die durch zweckmäßige Bündelung zu erreichenden Vorteile dürften erheblich höher sein als der damit verbundene Aufwand.
- Der Informationsstand über Rahmenvereinbarungen, Bezugsmöglichkeiten aus durchgeführten Ausschreibungen u. ä. muss im Interesse der Wirtschaftlichkeit deutlich verbessert werden. Wenn einzelne Einrichtungen Verträge schließen, sollten sie diese auch den anderen Hochschulen bekannt geben.
- Zunächst sollten „Warenkörbe“ mit den an den Hochschulen häufig benötigten Rechnern, Bildschirmen, Druckern und anderen IuK-Geräten gemeinsam definiert werden, und die Einrichtungen sollten laufend ihren Bedarf melden. Eine darauf spezialisierte Stelle sollte regelmäßig ausschreiben und die „Warenkörbe“ füllen. Soweit die Einrichtungen diese Angebote nicht annehmen wollen, sondern selber beschaffen, müssten sie die Wirtschaftlichkeit der Eigenbeschaffung jeweils belegen und dokumentieren.
- Für weiterhin notwendige Einzelbeschaffungen sollte den Einrichtungen ein Instrumentarium als Handlungsunterstützung zur Standardisierung, Vereinfachung und Beschleunigung sowie zur Erhöhung der Rechtssicherheit zur Verfügung gestellt werden.
Einrichtungen zur Übernahme von Koordinierungsaufgaben sind bereits vorhanden, nämlich die IuK-Planungsgruppe Reutlingen für die Verwaltungsautomation bei den Pädagogischen Hochschulen und die Koordinierungsstelle für Verwaltungsautomation der Fachhochschulen und Kunst/Musikhochschulen in Konstanz (KOS). Das MWK hat der KOS und der Planungsgruppe Reutlingen bereits die Aufgabe „Finanzmanagement und zentrales Beschaffungswesen“ zugewiesen. Es weist darauf hin, dass diese jedoch nur IuK-Beschaffungen im Verwaltungsbereich abdecken könnten. Außerdem habe es für die Koordinierung von zentralen IuK-Beschaffungsmaßnahmen der wissenschaftlichen Bibliotheken ein Service-Zentrum in Konstanz eingerichtet.
5 Logistikzentrum der Polizei
5.1 Beschaffung von Verbrauchsgütern
Der Landesbetrieb Logistikzentrum der Polizei (LzP) ist (neben anderen Aufgaben) zentrale Beschaffungsstelle für Verbrauchsgüter des Landes (sog. C-Güter, zu denen auch Zubehör für die DV gehört). Es ist über das Landesintranet Schnittstelle zwischen den Behörden und den Lieferanten (e-Büro-Shop) und wickelt seine Ausschreibungen und Beschaffungen zunehmend IuK-gestützt ab (e-procurement).
Im Jahr 2002 haben 650 Dienststellen Zubehör für DV im Gesamtwert von 2,7 Mio. € über die gemeinsame Beschaffungsstelle bezogen. Das sind nach Angaben des LzP lediglich etwa 50 % der in Frage kommenden Behörden.
Vereinzelt hat das LzP auch Ausschreibungen für Behörden als Auftragsarbeit durchgeführt (z. B. Kopiergeräte für das KM). Außerdem bietet es bereits heute über seinen „e-Büroshop“ IuK-Geräte aus einer Ausschreibung des FM an. Der Abruf ist bislang allerdings noch sehr gering.
Die Hochschulen können ihren IuK-Bedarf zwar grundsätzlich selbstständig beschaffen. Der RH empfiehlt ihnen aber über die gemeinsame Beschaffungsstelle zu beziehen (Nr. 4.2 der Beschaffungsanordnung), soweit die Wirtschaftlichkeit der Einzelbeschaffung nicht nachgewiesen ist. Dies gilt auch für Behörden, die diese Möglichkeit bisher noch nicht nutzen. Einrichtungen, die noch nicht teilnehmen, können sich unter www.lzp.bwl.de über das Angebot und die Regularien informieren.
5.2 IuK-unterstützte Beschaffung (e-procurement)
Das LzP
- testet in Zusammenarbeit mit der FH Heilbronn Softwarepakete zur Unterstützung der einzelnen Teilprozesse eines auf elektronischen Medien basierenden Beschaffungs-Work-Flows, einschließlich Verschlüsselung und digitaler Signatur (e-Vergabe),
- testet zusammen mit dem NSI-Team die automatische Überführung und Integration der Beschaffungsdatensätze aus den Vergabesystemen in die SAP-Programme, z. B. für Materialwirtschaft, das Haushaltsmanagementsystem und die Kostenrechnung (e-ordering),
- hat digitale Pilotausschreibungen in Zusammenarbeit mit der OFD Stuttgart, der FH Heilbronn, werbemäßig unterstützt von der IHK Stuttgart, durchgeführt,
- kann durch seine Erfahrungen auf konkrete Referenzmodelle verweisen und sieht sich fachlich in der Lage, die zur Zeit aktuellen Vergabeplattformen einzusetzen und die Prozesse zu beherrschen. Es sieht sich allerdings personell derzeit nur bedingt in der Lage, landesweite Dienstleistungen in größerem Umfang zusätzlich zu erbringen, da für die hier angesprochenen Aufgaben insgesamt nur wenige Personalstellen zur Verfügung stünden.
6 Weiterentwicklung des IuK-Beschaffungswesens
6.1 Stand der Diskussion
Die Stabstelle Verwaltungsreform beim IM (StaV) hat erkannt, dass eine andere Beschaffungsorganisation zur weiteren Standardisierung und Optimierung beitragen und im Ergebnis Geld sparen kann. Sie hat die Problematik in einem Entwurf zur Überarbeitung der IuK-Richtlinien des Landes thematisiert. Auch das FM steht Überlegungen, die IuK-Beschaffung neu zu organisieren, aufgeschlossen gegenüber. Andere Ressorts stehen allerdings den Überlegungen vor allem unter Berufung auf die Ressorthoheit eher reserviert gegenüber.
6.2 Eine Neugestaltung der IuK-Beschaffung sollte
- die Gerätevielfalt durch Schaffung weitgehend standardisierter PC-Arbeitsplätze minimieren, um die Folgekosten für Betrieb und Wartung zu reduzieren,
- die Wirtschaftlichkeit erhöhen, z. B. durch günstigere Einkaufspreise; der Einkauf großer Stückzahlen bei leistungsfähigen Firmen und die Abwicklung der Beschaffungen über örtliche Distributoren - wie vom FM bereits teilweise praktiziert - könnte ein wirtschaftlicher und zugleich mittelstandskonformer Weg sein, den Aufwand vermindern und die Abläufe koordinieren, z. B. durch netz- und softwaregestützte Bedarfserhebung, Ausschreibung, Vergabe und Abwicklung der Lieferungen über Landesintranet und Internet sowie Datenaustausch mit den SAP-Programmmodulen im NSI-Projekt; Stichworte hierzu sind: Warenkörbe, e-ordering und e-procurement,
- die Ordnungs- und Rechtmäßigkeit gewährleisten durch vorschriftsmäßige Ausschreibungen sowie
- den Informationsstand verbessern durch Einrichtung einer „Beschaffungsdatenbank“ (oder Ausbau des IuK-Informationssystems dazu) und Einrichtung einer Gerätebörse im Landesintranet.
6.3 Organisatorische Aspekte
Zur Erreichung dieser Ziele sind unterschiedliche Organisationsformen und die Ansiedelung der neuen Beschaffungsstelle bei unterschiedlichen bestehenden Einrichtungen denkbar. Die Diskussion muss vor dem Hintergrund geführt werden, dass sich sowohl die Software zur Unterstützung der einzelnen Arbeitsschritte als auch die Technik sehr schnell weiter entwickeln und dass inzwischen fast alle Landesbehörden mit Beschaffungsaufgaben Zugang zum Landesintranet haben.
Im Folgenden sind beispielhaft die Arbeitsschritte eines Vergabevorganges für ein Europäisches Vergabeverfahren, die in Arbeitsteilung zwischen Auftrag gebender Dienststelle und Vergabestelle durchzuführen sind, dargestellt.
- Bedarfsermittlung
- Leistungsbeschreibung und Technische Spezifikation
- Festlegung des Verfahrens
- Erstellung der Verdingungsunterlagen
- Bekanntmachung
- Bieterrecherche
- Übersendung der Verdingungsunterlagen
- Eingang der Angebote
- Öffnung der Angebote
- Formale Prüfung
- Erstellung des Preisspiegels
- Fachliche Prüfung und Wertung
- Vergabevorschlag/Vergabevermerk
- Nachbearbeitung/Bekanntmachung vergebener Verträge
- Statistik
Viele dieser Arbeitsschritte, die insgesamt bis zu 60 einzelne Tätigkeiten umfassen, können zunehmend softwaregestützt abgewickelt werden. Da es sich bei der Beschaffung nicht um ministerielle Aufgaben handelt, sollte diese Aufgabe nicht auf Dauer beim FM angesiedelt bleiben. Als IuK-Gerätebeschaffungsstelle zur Ausschreibung, Vergabe und Bestellabwicklung kommen in Frage:
- Das LzP, das bisher schon praktische Erfahrungen als gemeinsame Beschaffungsstelle für IuK-Verbrauchsgüter sammeln konnte.
- Das Zentrum für Kommunikationstechnik und Datenverarbeitung (ZKD), als Gemeinschaftsrechenzentrum im Geschäftsbereich des IM.
- Das Zentrum für Informationsverarbeitung und Kommunikation bei der OFD Stuttgart (ZfI) im Geschäftsbereich des FM.
6.4 Möglicher wirtschaftlicher Mehrwert
Das Einsparpotential bei Durchführung von Ausschreibungen auf elektronischem Wege lässt sich nicht hinreichend genau in Beträgen ausdrücken. Erwartet werden können:
- Geringere Verwaltungskosten
- Kürzere Beschaffungszeiten
- Geringerer Einkaufspreis/größere Anbieterauswahl
- Mehr Transparenz im Vergabeprozess
- Geringere Missbrauchsmöglichkeiten
- Vorteile für Betrieb und Service durch Standardisierung
Das Hauptpotential der Einsparungen durch ein e-Vergabe-System liegt in der Reduzierung der Prozesskosten. Bereits heute erfordert ein Abruf von Verbrauchsmaterial bei der zentralen Beschaffungsstelle über das Landesintranet deutlich weniger Aufwand als zuvor die Bestellabwicklung über Papierformulare. Die Vorteile lassen sich durch Ausweitung der gemeinsamen Beschaffung auf weitere Güter und durch die Einbeziehung weiterer Abnehmer noch erhöhen. Die von den StRPÄ geprüften Hochschulen und vom RH abgefragten Behörden stellen nur einen Ausschnitt der Einrichtungen dar, die mit öffentlichen Mitteln IuK-Geräte beschaffen.
6.5 Vorschlag
Eine spezialisierte Beschaffungsorganisation für möglichst viele Güter ist Voraussetzung für ein leistungsfähiges e-procurement; e-Vergabe und Führung elektronischer Kataloge sind vor allem dann wirtschaftlich, wenn ein zentraler Service eingerichtet ist. Diese Beschaffungsstelle wäre Dienstleister für die Fachressorts, mit denen sie in gemeinsamer Projektarbeit die Bedarfe ermittelt und beschreibt. Das Land sollte daher kurzfristig
- IuK-Geräte auf der Basis definierter Standards in die gemeinsame Beschaffung mit einbeziehen,
- die Aufgabe einer Beschaffungsstelle zuweisen und
- die Beschaffungsanordnung insoweit anpassen.
Darüber hinaus sollte auch geprüft werden, ob und inwieweit Softwarelizenzen ebenfalls zur gemeinsamen Beschaffung geeignet sind.
Die Beschaffungsstelle müsste in die Lage versetzt werden, ihren zusätzlichen Aufwand zu refinanzieren. Dafür kämen beispielsweise in Frage
- dem Aufgabenübergang folgender Stellenübergang von größeren Behörden zur Beschaffungsstelle,
- Umsatzrückvergütung von Lieferanten, der in den Leistungsverzeichnissen mit auszuschreiben wäre und
- pauschalierte Gebührensätze für die einzelnen Dienstleistungen.
Für den Inhalt der Ausschreibungsunterlagen (Leistungsverzeichnis und Pflichtenheft) sowie die Finanzierung der Beschaffung bleiben bei diesem Vorschlag die Endabnehmer (Bedarfsträger) verantwortlich. Sie sollten lediglich die Durchführung an eine auf diese Tätigkeit spezialisierte Einrichtung auslagern.
Erforderlich ist ein neuer, ganzheitlicher und technikgestützter Ansatz. Dabei genügt es aber nicht, Softwaresysteme zur Unterstützung der einzelnen Teilprozesse in einer Landeseinrichtung oder bei einem privaten Dienstleister zu installieren. Wichtiger sind zunächst die Schaffung der organisatorischen Rahmenbedingungen und weitest mögliche Standardisierung der IuK-Arbeitsplatzausstattungen (Definition von IuK-Warenkörben). Diese Arbeiten sollte die StaV initiieren und koordinieren.
Unter Berücksichtigung der bestehenden Organisationen, der sonstigen geplanten Aufgabenzuweisungen und der vorhandenen Erfahrungen plädiert der RH dafür, die Beschaffung von „IuK-Alltagsgeräten“, wie PC, Bildschirme, Drucker und Notebooks, dem LzP zuzuweisen. Für die Beschaffung anderer Komponenten, wie Großrechner, größere Server, Speichersysteme, Lesesysteme u. ä., wären die beiden anderen Einrichtungen eher prädestiniert (ZfI und ZKD).
Das LzP hat bereits heute über die Polizei hinaus gehende Aufgaben. Bei Zuweisung weiterer landesweiter Aufgaben sollte seine Zuordnung innerhalb des Epl. 03 überprüft werden.
7 Stellungnahme der Ministerien und Schlussbemerkung
Die Ministerien haben gegen das Zahlenwerk, die Sachdarstellung und die Wertung durch den RH keine nennenswerten Einwände vorgebracht. Sie sehen ebenfalls die Notwendigkeit für Verbesserungen des IuK-Beschaffungswesens und wollen kurzfristig eine Projektgruppe mit der Ausarbeitung von Einzelheiten beauftragen. Das FM und das IM sind allerdings der Meinung, bei der Übertragung zusätzlicher Aufgaben an das LzP, das ZKD bzw. das ZfI seien zwingend die finanziellen und personellen Rahmenbedingungen zu lösen. Eine Deckung müsse außerhalb des Epl. 03 bzw. des Epl. 06 erfolgen.
Das sieht der RH nicht so. Gerade in den Geschäftsbereichen der beiden großen Ministerien fällt bisher erheblicher personeller Aufwand für Beschaffungen an. Es gilt, diesen zu identifizieren. Diese Stellen stehen dann zur Verfügung.
Das MWK unterstützt die Vorschläge des RH, auch weil kleinere Einrichtungen mit wenig Verwaltungspersonal bei der Durchführung von IuK-Beschaffungen oft überfordert sind. Vor weiteren Bündelungsmaßnahmen in seinem Geschäftsbereich will es aber die Ergebnisse der Prüfung des IM abwarten. Darüber hinaus regt es an, Arbeitshilfen zur Umsetzung der Vergabevorschriften durch die StaV erarbeiten zu lassen.
Die einbezogenen Ministerien sehen also die Vorteile einer spezialisierten Beschaffungsstelle und wollen auch deren Dienstleistungen nutzen. Andererseits verhalten sie sich zögerlich, wenn es darum geht, die Beschaffungsstelle aufzubauen und auszustatten. Diese Haltung ist gerade derzeit nicht angebracht. Jahrelange Vorbereitungs- und Planungsprozesse zur Optimierung der IuK-Beschaffung müssen vermieden werden. Die Landesregierung sollte für zügige Einführung und Umsetzung sorgen, damit die finanziellen Vorteile bald in Anspruch genommen werden können. Wichtig ist, schnell zu beginnen und das Verfahren nach und nach zu verfeinern.
Anhänge
Der Personaleinsatz für die IuK-Benutzer- und Systembetreuung kann landesweit reduziert werden. Die dadurch frei werdenden Stellen können zu einem Drittel in die Verbesserung der IuK-Aus- und Fortbildung investiert werden. Damit verbleibt dann noch ein Einsparpotential von 240 Stellen.
1 Allgemeines
Die StRPÄ und der RH haben erhoben, wie viel IuK-Personal das Land in seinen Behörden einsetzt und an wie vielen Arbeitstagen dieses IuK-Personal sowie die IuK-Anwender geschult bzw. fortgebildet wurden.
In die Untersuchung waren 202 Dienststellen aus vier Einzelplänen mit insgesamt 24.528 Bediensteten einbezogen, darunter alle Behörden aus dem Geschäftsbereich des FM. 96,8 % der Bediensteten erledigen ihre Dienstgeschäfte mit Hilfe der IuK-Technik, sind somit IuK-Nutzer und haben dadurch Bedarf an IuK-Aus- und Fortbildung und Betreuung durch IuK-Fachpersonal.
Alle in die Untersuchung einbezogenen Behörden arbeiten mit weitgehend einheitlicher Basissoftware für Büroanwendungen und darüber hinaus mit heterogenen DV-Fachverfahren, die komplizierte Sachverhalte und Rechtstatbestände abdecken. Auch wenn jede Behörde ihre DV-Verfahren als Besonderheit im Verhältnis zu anderen ansieht, sind die Anforderungen an Benutzerfreundlichkeit, Ergonomie, Dokumentation und Hilfesysteme aus Anwendersicht die selben. Dass mit den DV-Verfahren unterschiedliche Rechtsgebiete bearbeitet werden, beeinflusst in erster Linie die Softwareentwicklung, weniger die Bedienung und damit die Betreuung der Anwender. Insoweit treffen häufig vorgebrachte Hinweise auf Nichtvergleichbarkeit in der Regel nicht zu.
1.1 IuK-Personal
Die einbezogenen Dienststellen beschäftigten im Jahr 2001 für den IuK-Betrieb und zur Anwenderbetreuung 1.682 Personen (IuK-Personal) in einem Umfang von 1.076 Arbeitskraftanteilen (1 AKA = 1 Vollzeitstelle), das sind durchschnittlich 4,7 % ihrer gesamten Stellen. Dabei ist der IuK-Personalanteil in den einzelnen Behörden auf Grund der unterschiedlichen Aufgabenstellung unterschiedlich, wie folgende Aufstellung beispielhaft zeigt:
- Landesanstalt für Umweltschutz 18,9 %
- Statistisches Landesamt 14,3 %
- LBV 11,9 %
- Steuerverwaltung 3,1 %
- Forstverwaltung 2,8 %
Diese Verwaltungen betreiben ihre DV- und Bürokommunikationssysteme (BK) durchweg mit eigenem Personal; Outsourcing wird von diesen Behörden nicht praktiziert.
1.2 IuK-Tätigkeiten
Die Verteilung der rechnerischen Personalkapazität der 1.076 Vollzeitstellen auf die wichtigsten IuK-Tätigkeiten zeigt Übersicht 1.

Der Schwerpunkt beim IuK-Personaleinsatz hat sich mit dem Wandel der Technik von der Softwareentwicklung und der Rechenzentrumsproduktion (zusammen 26,3 %) verlagert auf die Anwenderbetreuung und Systemtechnik (zusammen 42,2 %). Dies ist auch eine Folge der verbreiteten Verlagerung der DV-Verfahren von den Großrechnern in den Rechenzentren auf betreuungsintensive Client/Server-Systeme in den Behörden. Die derzeit zu beobachtende Trendumkehr zurück zur zentralen Daten- und Programmvorhaltung mit vermehrt browser-gestütztem Arbeiten in den Büros ohne umfassende Software-Applikationen vor Ort lässt den Rückgang des Betreuungsaufwands erwarten und ist positiv zu sehen.
1.3 Betreuung
Für die Betreuung der BK- und der Fachanwendungen sowie der IuK-Systemtechnik setzen die Behörden Personal in unterschiedlichem Umfang ein. Eine IuK-Fachkraft (Vollzeit) betreut im Durchschnitt 53 IuK-Anwender. Einzelne Erhebungsergebnisse zeigt die Übersicht 2.

Eine Betreuungskennzahl von etwa 1 : 50 war zu Beginn der Bürodatenverarbeitung eine vertretbare Größe. Inzwischen ist die Entwicklung weiter gegangen. Veränderungen haben dazu geführt, dass eine Betreuungsperson mehr Bildschirmarbeitsplätze als früher qualifiziert betreuen kann:
- Neu hinzu kommende Behördenbedienstete haben in der Regel bereits Erfahrungen im Umgang mit PC und Tastatur.
- Vorhandene Bedienstete arbeiten jetzt meist schon jahrelang an Bildschirm unterstützten Arbeitsplätzen und sind keine Anfänger mehr.
- Dem Betreuungspersonal stehen wirksame Instrumente zur Verfügung, z. B. Tools zur Softwareverteilung, Fernwartung u. ä.; zeitaufwändige vor Ort-Besuche sind weniger notwendig als früher.
Der RH hält heute u. a. aufbauend auf der Querschnittsuntersuchung des RH bei den Ministerien und den Feststellungen des Bundesrechnungshofs , eine durchschnittliche Betreuungsquote von 1 : 70 für angemessen und realisierbar. Für die genannten Tätigkeiten wären dann statt 453,55 AKA nur noch 345,87 AKA gebunden, was im untersuchten Bereich eine rechnerische Stelleneinsparung von 107,68 Stellen und eine Reduktion der Personalkosten um jährlich rd. 8,8 Mio. € ermöglichen würde. Allein im Geschäftsbereich des FM wäre eine rechnerische Stellenreduzierung von 57,6 Stellen erreichbar. Auf den ganzen Verwaltungsbereich des Landes mit rd. 80.000 Bildschirmarbeitsplätzen hochgerechnet - ausgehend vom Stichprobenanteil von 30 % - wären in der Landesverwaltung somit rd. 360 Stellen einzusparen; diese entsprächen hochgerechnet rd. 30 Mio. € jährlich.
1.4 Benchmark des IuK-Personals der Oberfinanzdirektionen
Ein Vergleich des IuK-Personals im Geschäftsbereich der beiden OFDen zeigt allein bei der OFD Karlsruhe einen Personalüberhang von rd. 52 Stellen auf. Bereinigt man die den OFDen zugewiesenen IuK-Aufgaben jeweils um die zentral zugewiesenen IuK-Aufgaben, ergibt sich zum Untersuchungszeitpunkt immer noch ein relativ höherer IuK-Personalanteil im Geschäftsbereich der OFD Karlsruhe von rd. 18 Stellen. Ursache hierfür dürfte die noch nicht in allen Konsequenzen vollzogene Eingliederung der ehemaligen OFD Freiburg in die OFD Karlsruhe sein. Nach Angaben des FM wurden inzwischen vier Stellen von Karlsruhe nach Stuttgart übertragen und weitere zentrale Aufgaben in nicht quantifiziertem Umfang von Karlsruhe übernommen.
Der Vergleich der für die Anwenderbetreuung (BK und Fachanwendungen) eingesetzten Personalstellen zeigt, dass der IuK-Personalüberhang mit rd. 11 Stellen im Geschäftsbereich der OFD Karlsruhe hauptsächlich in diesem Tätigkeitsfeld zu finden ist.
1.5 IuK-Organisation der Oberfinanzdirektionen
Der RH informiert sich regelmäßig über die IuK-Aufbauorganisation in den Geschäftsbereichen der Ministerien, so auch bei dieser Erhebung. Die (ehemals) drei OFDen betrieben je ein Rechenzentrum sowie Software-Entwicklungsstellen und Betreuungseinrichtungen. Die Großrechner wurden im Zentrum für Informationsverarbeitung bei der OFD Stuttgart zusammengeführt, die damit zusammenhängenden Ablaufprozesse z. B. in der Vor- und Nachbearbeitung aber nicht immer konsequent angepasst und die personellen Folgen gezogen; Rationalisierungspotential wurde nicht vollständig abgeschöpft. Außerdem behielten die OFDen IuK-Zuständigkeiten jeweils für ihren Geschäftsbereich. Teilweise existieren daher noch Parallelstrukturen.
Die IuK-Abläufe für alle Finanzämter sollten einheitlich gestaltet werden, unabhängig von der OFD-Zugehörigkeit. Eine gesamtverantwortliche IuK-Stelle würde dieses Anliegen fördern. Der RH verweist insoweit auf ein Gutachten einer Beratungsfirma vom Juli 2001, das weitere Anpassungen der IuK-Organisation für sinnvoll und notwendig erachtet. Auch der Gutachter empfiehlt im Kern den Aufbau eines einzigen zentralen IuK-Betriebes für die Finanzverwaltung. In diesen Betrieb sollten in einem zweiten Schritt auch die IuK-Organisationseinheiten des LBV, des Statistischen Landesamts, der LOK und ggf. weitere integriert werden.
Diese Vorschläge sollte das FM zügig umsetzen. Die IuK-Zuständigkeiten können unabhängig vom zeitlichen Ablauf der Verwaltungsreform, die eine Zusammenlegung der OFDen zu einem späteren Zeitpunkt vorsieht, zusammengeführt werden. Übergangsweise wäre eine örtliche Verteilung auf verschiedene Standorte hinnehmbar. Der erste Schritt wäre die Übertragung der IuK-Verantwortung in eine Hand.
1.6 Ausgaben für IuK-Aus- und Fortbildung
Im Durchschnitt beträgt (in der Tit.Gr. 69) der Anteil für die IuK-Aus- und Fortbildung an den IuK-Gesamtausgaben rd. 3,5 %; das sind 65,96 € im Jahr für jeden Bediensteten.
Die IuK-Gesamtausgaben hatten in den letzten Jahren einen konstanten Anteil von 5,56 % an den Verwaltungsausgaben, die bei den untersuchten Behörden insgesamt in den Jahren seit 1997 durchschnittlich rd. 903 Mio. € im Jahr lagen.
1.7 Organisation der IuK-Aus- und Fortbildung
Zur Fortbildungsverwaltung setzen manche Behörden noch kein DV-Verfahren ein, obwohl an unterschiedlichen Stellen verschiedene Verfahren hierfür entwickelt wurden. Die Ministerien sollten eines davon für den landesweiten Einsatz auswählen und in den Richtlinien und Standards des Landessystemkonzepts zum allgemeinen Einsatz festschreiben.
Bei der Planung der IuK-Aus- und Fortbildung bleibt noch vieles dem Zufall überlassen. Sie richtet sich stark nach persönlichen Wünschen und nach den Möglichkeiten des Haushalts. Gruppenbezogene Fortbildungspläne für IuK-Anwender und personenbezogene Fortbildungspläne für IuK-Personal liegen nur in Einzelfällen vor. Der RH hält insbesondere letztere als Bestandteil von Personalentwicklungskonzepten für unverzichtbar.
Die innerhalb der Landesverwaltung festgestellte unterschiedliche Handhabung der Lehrtätigkeit - einerseits im Hauptamt ohne zusätzliche Bezahlung und andererseits in Nebentätigkeit mit Zusatzvergütung ohne Vor- oder Nacharbeit - stiftet Unmut und Neid unter den betroffenen Bediensteten. Eine einheitliche Regelung mit dem Ziel der Gleichbehandlung ist überfällig.
1.8 IuK-Schulungsräume
Bei den untersuchten Behörden sind 37 IuK-Schulungsräume eingerichtet, die mit durchschnittlich je 15 Rechnerplätzen ausgestattet sind (insgesamt 542). Diese Räume sind im Durchschnitt nur zu 35 % ausgelastet (26 % für IuK-Aus- und Fortbildung). Der Leerstand ist nach den Sätzen der VwV-Kostenfestlegung mit rd. 387.400 € zu beziffern.
Es widerspricht den Sparsamkeits- und Wirtschaftlichkeitsgrundsätzen, Schulungsräume überwiegend leer stehen zu lassen.
Durch behördenübergreifende kooperative Nutzung und durch einen gezielten Abbau von IuK-Schulungsräumen sollte der Leerstand, und dadurch die „unproduktiven“ Kosten, um mindestens die Hälfte verringert werden. Da die IuK-Ausstattung und die IuK-Grundverfahren im Wesentlichen einheitlich sind, können Schulungsräume durchaus behördenübergreifend genutzt werden. Anlässlich bevorstehender Neuausstattungen sollten daher in größeren Städten Schulungsräume zusammengelegt und so deren Gesamtzahl reduziert werden.
1.9 Bürokommunikations-Schulungen
Der Schulungsaufwand für die Anwendung der BK-Programme (überwiegend MS-Word, MS-Excel) ist im Jahresdurchschnitt mit 16.430 Teilnehmertagen (TNT) nicht sehr hoch. Jeder IuK-Anwender wurde somit im Durchschnitt 0,69 Arbeitstage jährlich in der Anwendung der BK-Software geschult. Bereinigt um den relativ hohen Schulungsaufwand der OFD Stuttgart für die nicht im Landessystemkonzept empfohlenen und bei den Finanzämtern eingesetzten Programme aus der Softwarefamilie Star-Office, reduziert sich der Schulungsumfang auf etwa ein Viertel Arbeitstag je IuK-Anwender im Jahr. Die Schulungen folgen gezwungenermaßen den Software-Versionen. Bei den derzeitigen Marktgegebenheiten ist periodisch mit flächendeckenden Anpassungsschulungen für die Nutzung der BK-Software zu rechnen.
Mit eigenem Personal wurden 78 %, mit beauftragten freien Dozenten 20 % der BK-Schulungen in eigenen Schulungsräumen durchgeführt; der Rest wurde extern bei fremden Behörden oder bei Fremdunternehmen abgewickelt.
Die BK-Schulungen verursachen einen Personal- und Sachaufwand von 1,38 Mio. € jährlich, das sind durchschnittlich 83,20 € je TNT. Differenziert nach der veranstaltenden Stelle ergeben sich folgende Beträge:
- in Fremdunternehmen 133,63 €
- in eigenen Räumen durch eigenes Personal 84,72 €
- in eigenen Räumen durch Fremdpersonal 75,21 €
- in fremder Behörde 49,70 €
BK-Schulungen in eigenen Räumen und mit externem Personal waren also um 9,51 €/TNT günstiger als solche mit eigenem Schulungspersonal. Mögliche Ursachen sind die für das eigene Personal anfallenden Infrastrukturkosten und die relativ günstigen Tagessätze der Dozenten für BK-Standardprogramme auf dem freien Markt.
Wären in den Jahren 1999 bis 2001 die BK-Schulungen mit externem Personal bei gleichzeitiger Freisetzung von eigenen Personalkapazitäten abgehalten worden, hätten rd. 366.300 € (38.515 TNT x 9,51 €) eingespart werden können. Zu bemerken ist, dass im Untersuchungszeitraum allein im Geschäftsbereich des FM Personal im Umfang von 8 Vollzeitkräften für die Durchführung von BK-Schulungen beschäftigt war. Allerdings bleibt auch bei Schulung durch Fremdpersonal ein gewisser Eigenaufwand bestehen.
Wenn die Behörden außerdem die teuren Schulungen bei Fremdunternehmen durch „Inhouse-Schulungen“ hätten abdecken können, wären weitere rd. 34.200 € (585 TNT x 58,42 €) einzusparen gewesen.
Die Finanzkontrolle schlägt zur Kostenreduzierung entsprechend dem Privatisierungsgebot des § 7 LHO vor, BK-Schulungen künftig vorwiegend mit Fremdpersonal durchzuführen und im Gegenzug eigenes Personal zu reduzieren, soweit eine dokumentierte Wirtschaftlichkeitsuntersuchung keine andere Entscheidung nahe legt.
1.10 Fachanwendungs-Schulungen
Für die Schulungen der IuK-Anwender in Fachanwendungen fallen jährlich im Durchschnitt 1,69 Mio. € an, mit steigender Tendenz. Der Schulungsumfang beträgt rechnerisch 0,8 Arbeitstage je IuK-Anwender und hat sich im Zeitraum 1999 bis 2001 verdoppelt. Er liegt also über dem Schulungsaufwand für die BK-Programme, was u. a. auch zeigt, dass die Anwendung der Bürodatenverarbeitung inzwischen Routine geworden ist.
94,5 % der Fachanwendungs-Schulungen wurden mit eigenem Personal, 4,3 % mit Vertragsdozenten in eigenen Schulungsräumen durchgeführt; der Rest bei fremden Behörden und bei Fremdunternehmen.
Schulungen für IuK-Fachanwendungen müssen aus Gründen der fachlichen Nähe und auch der Wirtschaftlichkeit fast zwangsläufig von eigenem Personal durchgeführt werden. Fremdpersonal ist durch die benötigten speziellen Fachkenntnisse entsprechend teuer. Der Aufwand je Schulungstag beträgt:
- in Fremdunternehmen 206,21 €
- in eigenen Räumen durch eigenes Personal 83,01 €
- in eigenen Räumen durch Fremdpersonal 152,58 €
- in fremder Behörde 26,25 €
1.11 Schulungen für IuK-Personal
Für die Fortbildung der 1.682 IuK-Bediensteten wurden im Durchschnitt jährlich rd. 0,82 Mio. € ausgegeben. Jeder Bedienstete erhielt statistisch eine Schulung von (lediglich) 1,8 Arbeitstagen. Umgerechnet auf 1.076 Vollzeitarbeitskräfte beträgt der Schulungsumfang 2,8 Arbeitstage im Jahr.
Es liegt in der Natur der Sache, dass das IuK-Personal fast ausschließlich bei Fremdunternehmen fortgebildet wird (83,3 %). Schulungen in eigenen Schulungsräumen wurden zu 6,6 % mit eigenem Personal und zu 8,4 % mit Vertragsdozenten durchgeführt.
Ein TNT hat im Durchschnitt 274,76 € gekostet (Fremdunternehmen 299,26 €, eigenes Personal 145,04 €, fremdes Personal 181,76 €, fremde Behörde 37,51 €).
Die Finanzkontrolle empfiehlt, den Schulungsbedarf für das IuK-Personal genauer und behördenübergreifend zu planen, mit dem Ziel, zumindest teilweise den Bedarf durch günstigere Inhouse-Schulungen abzudecken.
1.12 Verträge für Schulungsleistungen
Von 126 Verträgen über den Einkauf von Schulungsleistungen (z. B. Abruf von Schulungstagen, Verträge über Inhouse-Schulungen u. ä.) wurden 94 ohne Ausschreibung vergeben, das sind 75 %. Das gesamte Vertragsvolumen lag bei 1,35 Mio. €, davon wurden 0,84 Mio. € freihändig vergeben (62 %). Zehn der 94 nach Freihändiger Vergabe geschlossenen Verträge hatten ein Volumen von über 25.564 € (50.000 DM) und wären schon deshalb öffentlich auszuschreiben gewesen. Bei den meisten Behörden ist die Vergabedokumentation unvollständig und somit nur bedingt revisionsfähig.
Die Finanzkontrolle weist darauf hin, dass bei Aufträgen mit entsprechendem Finanzvolumen die vergaberechtlichen Bestimmungen einzuhalten sind. Außerdem müssen die Vergabevorgänge vollständig und nachvollziehbar dokumentiert werden.
1.13 Neue Lernmittel
E-learning-Methoden, wie beispielsweise Web-based-training oder Computer-based-training, werden nur vereinzelt eingesetzt. Über ihre Wirtschaftlichkeit, z. B. ob dadurch Präsenzseminare eingespart werden können, liegen keine durch Erfolgskontrollen belegbare Informationen vor.
Ressortübergreifende Aktivitäten für die allgemeine und spezielle IuK-Aus- und Fortbildung sind in der Landesverwaltung - abgesehen vom Konzept „Fortbildung 21“ - nicht auszumachen. Die Bildungsplattform der Führungsakademie enthält bisher nur einzelne IuK-Seminare. Die Führungsakademie könnte eine geeignete Stelle zur Ausschreibung „gängiger“ IuK-Seminare werden.
2 Vorschläge und Maßnahmen
Während der Aufwand für die Anwenderbetreuung relativ hoch ist, sieht der RH bei der IuK-Fortbildung noch Bedarf. Mit einer Intensivierung der IuK-Aus- und Fortbildung und dadurch erzielbaren Qualifizierung der Bediensteten könnte eine Verringerung des Betreuungsbedarfs erreicht werden. Die durch Reduzierung der Kapazitäten beim IuK-Betreuungspersonal frei werdenden Mittel sollten teilweise in die IuK-Aus- und Fortbildung umgeschichtet werden und würden so dauerhaft zur Entlastung des Landeshaushalts beitragen. Für die Betreuung der BK- und Fachanwendungen sowie der IuK-Systemtechnik sollte deshalb eine IuK-Betreuungsquote von 1 : 70 angestrebt werden. Dies ergäbe eine rechnerische Einsparung allein bei den untersuchten Behörden von 107 Stellen, landesweit sogar 360 Stellen.
Im Einzelnen schlägt der RH vor,
- den Aufwand für die IuK-Betreuung teilweise in die IuK-Aus- und Fortbildung umzuschichten,
- ein DV-Verfahren zur Steuerung und Durchführung der Fortbildung im Landessystemkonzept festzuschreiben, um „Wildwuchs“ zu vermeiden,
- landeseinheitliche Vorgaben für die arbeitszeit- und vergütungsmäßige Gleichbehandlung der vom eigenen Personal erbrachten Unterrichtsleistung zu schaffen,
- die IuK-Schulungsräume möglichst zu reduzieren und den Leerstand durch kooperative Nutzung zu verringern sowie
- BK-Inhouse-Schulungen - soweit wirtschaftlich sinnvoll - statt mit eigenem, künftig mit Fremdpersonal durchzuführen und die vorhandenen eigenen Personalkapazitäten zu reduzieren.
Dem FM wird vorgeschlagen, die IuK-Organisation in seinem Geschäftsbereich zu straffen, um Synergieeffekte zu erzielen und dadurch Personal freizusetzen.
3 Stellungnahme der Ministerien
Das IM hat grundsätzlich keine Einwände gegen die Feststellungen der Finanzkontrolle und merkt zum Thema einheitliches DV-Verfahren an, dass die Führungsakademie zur Konzeption „Fortbildung 21“ zusammen mit einem Privatunternehmen eine Bildungs- und Lernplattform entwickelt habe, über die Seminare automatisiert gebucht werden können. Auch die Nutzung elektronischer Lernmedien sei damit möglich. Das System stehe funktionstauglich zur Verfügung; allerdings seien die Gespräche mit dem Landesbeauftragten für den Datenschutz noch nicht abgeschlossen. Die Führungsakademie führe auch Gespräche mit dem Oberschulamt Stuttgart, wie dessen online-Schulungen, z. B. für MS-Office-Programme, über die Lernplattform allen Landesbediensteten angeboten werden könnten.
Das UVM ist der Auffassung, dass die vorgeschlagene und anzustrebende Betreuungsquote von einem Betreuer (einschließlich IuK-Systemtechnik) auf 70 Nutzer von BK- und Fachanwendungen nicht auf jede einzelne der in die Untersuchung einbezogenen Behörden bezogen werden könne, sondern als Durchschnittswert für ganze Ressorts oder Fachbereiche gelten solle.
Das FM erklärt u. a., dass
- auf Grund der Aufgaben- und Strukturunterschiede ein Vergleich der verschiedenen Verwaltungsbereiche nicht angemessen sei,
- bereits die Schaffung eines einheitlichen IuK-Zentrums vorbereitet werde,
- die anzustrebende, flächendeckende Betreuungsquote von 1 : 70 gerade noch vertretbar sei, jedoch für einzelne Sonderbehörden, wie das LBV und das Statistische Landesamt, bessere Betreuungsquoten erforderlich seien,
- die IuK-Fortbildungstätigkeit ab 2002 nicht mehr zusätzlich gesondert vergütet werde,
- bei Berücksichtigung von Ferienzeiten die Durchschnittsauslastung der Schulungsräume bei 41 % liege,
- die Notwendigkeit bestehe, eine ausreichende Anzahl von Schulungsräumen für Spitzenzeiten vorzuhalten,
- auf Grund der behördenspezifischen Ausstattung und Konfiguration der Schulungsgeräte eine behördenübergreifende Nutzung nicht möglich sei, räumt aber eine gemeinsame Nutzung bei Schulung von standardisierten Hard- und Softwareumgebungen ein,
- der Einsatz von E-learning-Methoden in einem Projekt eruiert werde; damit sollten allerdings nicht herkömmliche Weiterbildungsmaßnahmen ersetzt, sondern vielmehr die Lehr- und Lernkultur in der Verwaltung um den Baustein E-learning ergänzt werden.
4 Schlussbemerkung
Der RH hält es für erforderlich, dass die Personalkapazitäten für die IuK-Benutzer- und Systembetreuung landesweit zurückgefahren werden; die dadurch frei werdenden Stellen sollten zu einem Drittel in die weiterhin notwendige IuK-Aus- und Fortbildung investiert werden. Damit verbliebe noch ein Einsparpotential von 240 Stellen.
Anhänge
Der Schuldenstand des Landes bei der Finanzierungsgesellschaft für öffentliche Vorhaben des Landes Baden-Württemberg mbH erhöht sich stetig. Unter wirtschaftlichen Gesichtspunkten und im Interesse der Haushaltsklarheit sollte die Kreditaufnahme wieder unmittelbar durch das Land erfolgen und die Gesellschaft aufgelöst werden.
1 Vorbemerkung
Seit vielen Jahren hat das Land zur Realisierung landespolitisch bedeutsamer Vorhaben Möglichkeiten geschaffen, diese über Einrichtungen außerhalb der Landesverwaltung finanziell abzuwickeln. Diese verlagerten Verpflichtungen haben einen erheblichen Umfang angenommen. Die Transparenz der Schulden oder sonstigen Verpflichtungen, die in der Zukunft den Landeshaushalt belasten, ist konsequent sicherzustellen.
2 Ausgangslage
In Baden-Württemberg werden
- der Landesanteil für die Darlehensförderung der Studenten nach dem Bundesausbildungsförderungsgesetz durch die Landeskreditbank Baden-Württemberg - Förderbank - (L-Bank),
- Baumaßnahmen durch die Landesentwicklungsgesellschaft Baden-Württemberg mbH (LEG) und
- das Behörden-Bauprogramm, das Bauprogramm zur Forschungsförderung und zum erhöhten Emissionsschutz landeseigener Heizwerke, das Programm zur Nachfolgebelegung ehemaliger militärischer Liegenschaften, das Sonderprogramm für den Landesstraßenbau und seit dem Jahr 2000 die Einführung der neuen Steuerungsinstrumente (NSI) durch die Finanzierungsgesellschaft für öffentliche Vorhaben des Landes Baden-Württemberg mbH (Baufinanz)
vorfinanziert.
Die Schulden des Landes bei diesen Unternehmen stellen verlagerte Verpflichtungen (s. Beitrag Nr. 3) dar und beliefen sich zum 31.12.2002 auf 640,8 Mio. €; davon entfielen auf die Schulden des Landes bei
- der L-Bank: 107,0 Mio. €,
- der LEG: 31,4 Mio. € und
- der Baufinanz: 502,4 Mio. €.
Die Landesschulden einschließlich der verlagerten Verpflichtungen betrugen 35.704,5 Mio. €. In die statistisch bedeutsame Pro-Kopf-Verschuldung des Landes fließen nur die Schulden des Landes auf dem Kreditmarkt (35.063,7 Mio. €), aber nicht die verlagerten Verpflichtungen ein. Die so ermittelte Pro-Kopf-Verschuldung des Landes lag zum 31.12.2002 bei 3.140 €. Würde man die verlagerten Verpflichtungen in diese Berechnung einbeziehen, so läge die Pro-Kopf-Verschuldung bei 3.200 €.
Im Zuge der Untersuchung der Straßenbauverwaltung und der Einführungskosten der NSI hat sich der RH mit der Abwicklung der Vorfinanzierung dieser beiden Landesprogramme durch die Baufinanz näher befasst.
3 Finanzierungen über die Baufinanz
An der Baufinanz, die im Jahre 1973 mit dem Namen „Finanzierungsgesellschaft für Öffentliche Bauten mbH“ gegründet wurde, ist das Land zu 99,90 % am Stammkapital in Höhe von 255.646 € beteiligt; die restlichen 0,10 % hält die Landeskreditbank. Die Baufinanz hatte ab dem 01.01.1973 die Finanzierung des Behörden-Bauprogramms übernommen. Im Laufe der Zeit kamen weitere Programme, wie das Mensen-Bauprogramm, das Bauprogramm zur Forschungsförderung und zum erhöhten Emissionsschutz landeseigener Heizwerke sowie das Programm zur Nachfolgebelegung ehemaliger militärischer Liegenschaften, hinzu. Seit dem Jahr 1997 werden auch die Sonderprogramme für den Landesstraßenbau über die Baufinanz vorfinanziert. Nachdem im Februar 2000 die Firma in „Finanzierungsgesellschaft für öffentliche Vorhaben des Landes Baden-Württemberg mbH“ geändert wurde, finanziert die Baufinanz seit 2000 auch die Einführung der NSI vor. Aus dem Schaubild ist der Verlauf der Verpflichtungen des Landes bei der Baufinanz ersichtlich.

Lag der Schuldenstand des Landes bei der Baufinanz zum 31.12.1995 noch bei 143,9 Mio. €, so steigerte er sich bis zum Ende des Jahres 2002 auf das 3,5-fache, d. h. auf 502,4 Mio. €. Der Schuldenstand über die einzelnen über die Baufinanz abgewickelten Programme stellt sich zum 31.12.2002 wie folgt dar:
- Hochbau: 163,3 Mio. €
- Straßenbau: 242,7 Mio. €
- NSI: 96,4 Mio. €
Weitere Steigerungen sind mit der Finanzierung der bereits beschlossenen Programme impliziert, ein Ende ist nicht absehbar. Die Ausweitung der Sonderfinanzierungen, die auch zur wachsenden Verschuldung des Landes beitragen, hat den RH veranlasst, die sich hieraus ergebenden Konsequenzen aufzuzeigen und eine Übernahme der verlagerten Schulden in den Landeshaushalt vorzuschlagen.
4 Vorteile der Sonderfinanzierung aus Sicht der Verwaltung
Nach Auffassung der Landesregierung können bei einer Abwicklung über die Baufinanz die einzelnen Baumaßnahmen wegen der Planungssicherheit bei der Finanzierung mit optimalem Bauablauf wirtschaftlich und sparsam durchgeführt und fertig gestellt werden .
Für den Bereich des Straßenbaus hat der RH dies näher untersucht. Die Maßnahmen des Landesstraßenbaus, die über den Haushalt finanziert werden, unterliegen den Unwägbarkeiten der Planaufstellung, Limitkürzungen, globalen Minderausgaben, haushaltswirtschaftlichen Sperren, Betriebsmittelbewirtschaftungen, Ausgabereststreichungen und sonstigen Kürzungsauflagen . Demgegenüber ermöglicht die Bereitstellung der Finanzierungsmittel über die Baufinanz einen kurzfristigen Beginn sowie die kontinuierliche Durchführung und den Abschluss von Straßenbaumaßnahmen entsprechend dem planungsrechtlichen Stand und den baulichen Gegebenheiten.
Dies gilt im Wesentlichen auch für den Bereich des staatlichen Hochbaus. Ohne die Sonderfinanzierung über die Baufinanz wären die dringend erforderliche Ablösung unzureichender Behördenunterbringung sowie die Erneuerung vieler wichtiger Forschungseinrichtungen nur mit gewissen Einschränkungen möglich gewesen.
5 Sonderprogramme
5.1 Darstellung und Abwicklung der Sonderprogramme
Die Ermächtigung der Sonderfinanzierungen sind im maßgeblichen StHG verankert. In den jeweiligen StHpl. werden die Maßnahmen für den Hochbau, den Straßenbau und das NSI-Projekt bisher unterschiedlich veranschlagt.
5.1.1 Hochbau
In den jeweiligen StHG wird die Finanzierungsermächtigung des FM für die Hochbauprogramme auf einen bestimmten Betrag festgelegt. Der Schuldenstand des Landes aus der Finanzierung dieser Bauprogramme darf dabei einen bestimmten Betrag nicht übersteigen; im Jahr 2002/2003 lag dieser bei 400 Mio. €. Die Bauvorhaben werden von der Hochbauverwaltung des Landes geplant, erstellt und abgerechnet. Das Land beabsichtigt, der Baufinanz die ihr entstehenden Aufwendungen für die Vorfinanzierung der Projekte im Laufe von etwa 20 Jahren durch entsprechende jährliche Zins- und Tilgungsleistungen zurück zu erstatten. Der Finanzierungsaufwand für die Bauprogramme ist bei Kap. 1208 Tit. 711 15 bzw. 711 16 veranschlagt. Ergänzungen oder Änderungen der in den Erläuterungen zu den Titeln aufgeführten Bauprogramme bedürfen der Zustimmung des Finanzausschusses des Landtags.
5.1.2 Straßenbau
Auf Grund der Bestimmungen im StHG wurde das FM seit dem Jahr 1997 ermächtigt, die Baufinanz mit der Vorfinanzierung der Straßenbau-Sonderprogramme zu beauftragen. Ohne das im Jahr 2002 aufgelegte, weitere Investitionsprogramm für den Landesstraßenbau (für 2002 und 2003 jeweils 51 Mio. €) belaufen sich die Volumina der von der Baufinanz vorfinanzierten Sonderprogramme in den Jahren 1997 bis 2003 auf 360,6 Mio. €. Das Land plant, der Baufinanz den ihr für die Vorfinanzierung von Straßenbauprojekten entstehenden Aufwand (im Gegensatz zu den Hochbaumaßnahmen) schon im Laufe von etwa 10 Jahren zurückzuzahlen. Hierfür sind seit 1998 im Kap. 1004 innerhalb der Tit.Gr. 79 - Landesstraßenbau - sowohl die Investitionsausgaben als auch der Finanzierungsaufwand veranschlagt. In den Erläuterungen sind die einzelnen Straßenbauvorhaben aufgeführt.
5.1.3 Neue Steuerungsinstrumente
Auf Grund der Ermächtigung in § 4 Abs. 15 StHG 2000/2001 wurde die Baufinanz auch mit der Vorfinanzierung der Projektkosten zur Einführung der NSI bis zum Gesamtbetrag von 332,34 Mio. € beauftragt. Die Refinanzierung der Projektkosten und der Finanzierungskosten soll durch haushaltswirksame Sachmittel- und Personaleinsparungen, beginnend ab dem Jahr 2004, sichergestellt werden; die Tilgung bei der Baufinanz soll bis 2010 erfolgen. Bei Kap. 1230 Tit. 261 01 sind die zur Deckung der Ausgaben erforderlichen Finanzierungsmittel der Baufinanz veranschlagt. Durch Haushaltsvermerk ist bestimmt, dass Ausgaben in Höhe der Einnahmen zulässig sind. Der Zinsaufwand für die Sonderfinanzierung ist bei Tit. 571 01 etatisiert. Die bei der Baufinanz aufgenommenen Finanzierungsmittel werden zur Zeit noch nicht getilgt.
5.2 Bewertung der haushaltstechnischen Veranschlagung
Die Veranschlagung ist aus Sicht des RH haushaltsrechtlich und haushaltstechnisch weder zutreffend noch sachgerecht.
5.2.1 Grundsatz der Vollständigkeit
Nach Art. 79 Abs. 1 LV sind alle Einnahmen und Ausgaben des Landes in den Haushaltsplan einzustellen, bei Landesbetrieben und bei Sondervermögen brauchen nur die Zuführungen oder Ablieferungen eingestellt zu werden. Das StHG ermächtigt zwar das FM, Kredite bei der Baufinanz aufzunehmen, und auch aus der Vermögensübersicht sind die Schuldenstände des Landes bei der Baufinanz ersichtlich. Aus dem StHpl. ist im Hochbaubereich lediglich der jährliche Finanzierungsaufwand und nicht die dem Land von der Baufinanz zufließenden Mittel und das damit jährlich finanzierte Investitionsvolumen ausgewiesen. Insoweit ergibt sich dadurch ein geringeres Haushaltsvolumen. Dem Grundsatz der Vollständigkeit wird dadurch nicht ausreichend Rechnung getragen.
5.2.2 Bruttoveranschlagung und Bruttonachweis
Nach § 15 Satz 1 LHO sind die Einnahmen und Ausgaben in voller Höhe und getrennt voneinander zu veranschlagen und nach § 35 Abs. 1 Satz 1 LHO mit ihrem vollen Betrag bei dem hierfür vorgesehenen Tit. zu buchen. Diesem Grundsatz entspricht die Verfahrensweise bei der Finanzierung der Straßenbaumaßnahmen nicht. Vielmehr wird durch einen entsprechenden Haushaltsvermerk bei den Mitteln für Erhaltungsmaßnahmen (Tit. 781 79), für Investitionen für Ortsumgehungen sowie Aus- und Neubau (Tit. 785 79) und für den Erwerb von Grundstücken (Tit. 822 79) eine Überschreitung des veranschlagten Investitionsvolumens in Höhe der aus der Kreditermächtigung von der Baufinanz bereitgestellten Mittel möglich. Einen entsprechenden Einnahmetitel enthält der StHpl. nicht, die Einnahmen sind daher nicht ausgewiesen. Im Laufe des Hj. können deshalb über den Titelansatz hinaus weitere Investitionsausgaben geleistet werden, die durch Krediteinnahmen bei der Baufinanz finanziert werden. Durch den Haushaltsvermerk ist dies zwar haushaltsrechtlich abgedeckt, aus der LHR wird dadurch aber das tatsächliche Investitionsvolumen im Landesstraßenbau nicht mehr transparent.
5.2.3 Einzelveranschlagung und Einzelnachweis
Der Schuldendienst für die Straßenbau- und Hochbaumaßnahmen ist insgesamt bei den Investitionsausgaben veranschlagt. Nach § 17 Abs. 1 Satz 1 LHO sind die Einnahmen nach dem Entstehungsgrund, die Ausgaben und die Verpflichtungsermächtigungen nach Zwecken getrennt zu veranschlagen und richten sich nach den Regelungen des FM über die Haushaltssystematik. Der an die Baufinanz zu zahlende Finanzierungsaufwand setzt sich zusammen aus den Zinsen und der Tilgung des vorfinanzierten Kapitals einschließlich der Geldbeschaffungskosten und einer Vergütung für deren Verwaltungsaufwand. Die Veranschlagung und Verbuchung des gesamten Finanzierungsaufwands bei den Investitionsausgaben wirkt sich auf die verfassungsrechtliche Grenze der Kreditaufnahme nach Art. 84 Abs. 2 LV aus. Der Finanzierungsaufwand (Zins und Tilgung) stellt jedoch konsumtive Ausgaben dar. Daher wären, sofern die mit der Baufinanz abgeschlossenen Verträge als Kreditverträge angesehen werden (s. Pkt. 5.2.4), die Zinsausgaben nach der Haushaltssystematik bei den Obergruppen 56/57 und die Tilgungsausgaben bei den Obergruppen 58/59, d. h. bei den sächlichen Verwaltungsausgaben und Ausgaben für den Schuldendienst, zu veranschlagen und zu verbuchen.
5.2.4 Etatisierung der Finanzierungsmittel der Baufinanz
Die fehlende Transparenz im Bereich der Hochbau- und Straßenbaumaßnahmen wurde vom FM offensichtlich erkannt und bei der Finanzierung der Einführungskosten der NSI nicht zuletzt auf Grund frühzeitiger Hinweise des RH insoweit behoben, als die Einnahme- und korrespondierenden Ausgabetitel sowie der Zinsaufwand separat veranschlagt wurden. Die Kreditaufnahme der Baufinanz wird im Landeshaushalt als normale Einnahme (Gruppe 261 - Schuldendiensthilfen und Erstattungen von Verwaltungskosten aus dem Inland) dargestellt. Unter Schuldendiensthilfen versteht man nach den Erläuterungen zur Obergruppe 22 Zuweisungen (öffentlicher Bereich) oder Zuschüsse (privater Bereich) zur Erleichterung des Schuldendienstes für auf dem Kapitalmarkt aufgenommene Darlehen und Anleihen, insbesondere zur Verbilligung der Zinsleistungen. Bei den mit der Baufinanz abgeschlossenen Finanzierungsverträgen handelt es sich zwar rechtlich nicht um eine „Aufnahme von Krediten“ im Sinne von Art. 84 LV, d. h. um die Begründung von Finanzschulden des Landes. Wirtschaftlich gesehen müssen nach Ansicht des RH diese Schulden und somit auch deren Begründung dem Land zugerechnet werden, zumal die Baufinanz zu 99,90 % im Eigentum des Landes steht und diese nur Maßnahmen für das Land finanziert. Ohne die Existenz der Baufinanz müssten diese Maßnahmen ansonsten vollständig über den Landeshaushalt finanziert werden. Weiterhin übernimmt das Land für die von der Baufinanz aufgenommenen Darlehen die Ausfallbürgschaft (s. Pkt. 6.4). Da es sich bei der Finanzierung über die Baufinanz somit faktisch um eine Kreditaufnahme des Landes handelt, müssten die Finanzierungsmittel bei der Gruppe 321 (Schuldenaufnahmen bei öffentlichen Unternehmen und Einrichtungen) veranschlagt werden.
6 Abwicklung über die Baufinanz
Der RH hat weiterhin untersucht, ob die Abwicklung der Finanzierung über die Baufinanz für das Land wirtschaftlich und zweckmäßig ist.
6.1 Allgemein
Über die Finanzierung von Programmen im Hochbau, Straßenbau oder zur Einführung der NSI wurden jeweils gesonderte Finanzierungsverträge geschlossen. Die im Laufe des Jahres anfallenden Ausgaben werden vom Land über die LOK geleistet und am Jahresende von der Baufinanz dem Land erstattet. Bisher ist vorgesehen, der Baufinanz in den folgenden 10 bis 20 Jahren die aus deren Finanztätigkeit entstehenden Aufwendungen, nämlich die Tilgungen, die Zinsen und die Geldbeschaffungskosten, sowie eine Aufwandsvergütung zurückzuzahlen. Auf Basis des Schuldenstandes bei der Baufinanz zum 31.12.2002 wären zu deren Rückzahlung bei einem angenommenen Zinssatz von 5 % folgende jährliche Beträge an die Baufinanz zu leisten:
- für Hochbauprojekte: 13,1 Mio. € (bei Tilgung in 20 Jahren)
- für Straßenbauprojekte: 31,4 Mio. € (bei Tilgung in 10 Jahren)
- für NSI: 12,5 Mio. € (bei Tilgung in 10 Jahren)
- Insgesamt jährlich: 57,0 Mio. €
6.2 Kreditaufnahme durch Kreditreferat des Finanzministeriums
Die Baufinanz refinanziert sich zur Deckung des laufenden Mittelbedarfs am Geld- und Kapitalmarkt. Die Kreditaufnahme erfolgte bis Mai 2000 durch die Gesellschaft selbst, seit Juni 2000 im Auftrag dieser Gesellschaft durch das Kreditreferat des FM. Der Schuldendienst wird durch die Baufinanz unmittelbar erledigt.
Zwischen Juni 2000 und August 2002 hat das Kreditreferat sieben Abschlüsse für die Baufinanz im Umfang von 120,8 Mio. € getätigt. Bei diesen Abschlüssen lagen die Konditionen um 1 bis 5 Basispunkte (BP) schlechter als vergleichbare Kreditabschlüsse für das Land selbst. Für die sieben Kredite muss das Land der Baufinanz voraussichtlich 26,1 Mio. € Zinsen erstatten. Hätte das Land die Kredite in eigenem Namen aufgenommen, wären über deren Gesamtlaufzeit Zinsersparnisse bis zu 270.000 € erzielbar gewesen.
6.3 Zinsänderungsrisiko
Die Laufzeiten der vom Kreditreferat für die Baufinanz zuletzt aufgenommenen Kredite lagen zwischen 3 und 6 Jahren und deckten den zu den jeweiligen Zeitpunkten bestehenden Mittelbedarf der Baufinanz insgesamt ab. Die Baufinanz hatte zum Jahresende 2001 25 Kredite im Bestand, wovon fünf eine Laufzeit unter 10 Jahren und die restlichen 20 eine Laufzeit von 10 Jahren aufwiesen.
Die Aufwendungen für die Vorfinanzierung durch die Baufinanz werden in einem Zeitraum von 10 bzw. 20 Jahren in entsprechenden jährlichen Raten endgültig in den Landeshaushalt übernommen und - nach der bisherigen Veranschlagungsweise als Investitionen - dort überwiegend durch entsprechende neue Kredite langfristig endfinanziert.
Diese Vorgehensweise hat, je nach zwischenzeitlicher Entwicklung des Zinssatzes, Chancen und Risiken (Zinsänderungsrisiko). Die in den vergangenen Jahren günstige Situation auf dem Kapitalmarkt mit nachhaltiger Verminderung des Kreditzinssatzes bis zu dem derzeit außerordentlich niedrigen Niveau hat sich für das Land positiv ausgewirkt. Die Vorfinanzierung durch die Baufinanz in Zeiten höherer Zinsen wäre aber nur dann wirklich erfolgreich, wenn jetzt alle bei ihr bestehenden Verbindlichkeiten auf dem derzeit niedrigen Zinsniveau durch langfristige Kredite und durch das Land selbst endfinanziert würden. Konkret bedeutet dies, dass alle Verbindlichkeiten der Baufinanz, sofern möglich und wirtschaftlich sinnvoll, kurzfristig umfinanziert und als Endfinanzierung in den Haushalt übernommen werden. Die Kosten evtl. Vorfälligkeitsentschädigungen bzw. der leicht erhöhte Zinsaufwand durch Umwandlung in Forward-Darlehen sind jeweils zu berücksichtigen.
Für die Zukunft ist jedoch genau der gegenteilige Effekt wahrscheinlich: Selbst wenn das derzeit außerordentlich niedrige Zinsniveau noch einige Zeit anhalten wird, ist mittel- und langfristig eher mit einem wieder ansteigenden Zinsniveau zu rechnen. Dann werden sich nicht nur die vom Land der Baufinanz zu erstattenden Zinsaufwände erhöhen, sondern die von ihr vorfinanzierten Investitionen werden später bei Übernahme in den Landeshaushalt zu voraussichtlich deutlich höheren langfristigen Zinssätzen endfinanziert. Unter diesem Aspekt wäre es konsequent, alle neuen Maßnahmen ab sofort nicht mehr über die Baufinanz vorzufinanzieren, sondern diese zum derzeit noch günstigen Zinsniveau über den Landeshaushalt (konventionell oder über Leasingverträge) langfristig und endgültig zu finanzieren.
6.4 Ausfallbürgschaft, Erstattung des Verwaltungsaufwands
Für die von der Baufinanz aufgenommenen Darlehen übernimmt das Land gemäß § 5 Abs. 2 StHG 2000/01 die Ausfallbürgschaft. Der Verwaltungsaufwand für die Dienstleistung des Kreditreferats wird der Baufinanz vom FM nicht in Rechnung gestellt.6.5 Vergütung an die Baufinanz
Die Baufinanz erhält im Rahmen der von ihr finanzierten Programme eine Vergütung, die sich aus den am Ende des Vorjahres gegen das Land bestehenden Forderungen bemisst und zwar auf Basis folgender Prozentsätze:- Für das Behördenbauprogramm und das Bauprogramm zur Forschungsförderung lag der Prozentsatz ursprünglich bei 0,15 %, wurde dann im Jahre 1979 gestaffelt (bis 31 Mio. € 0,15 %, bis 41 Mio. € 0,10 % und über 41 Mio. € 0,05 %) und liegt seit dem Jahr 1998 generell bei 0,05 %.
- Für die Sonderprogramme im Landesstraßenbau liegt der Prozentsatz ebenfalls bei 0,05 %.
- Für die Einführung der NSI wurde dagegen ein halbierter Vergütungssatz von 0,025 % vereinbart.
Dies ergab allein für das Jahr 2002 Vergütungszahlungen des Landes in Höhe von 227.118 €. Die bei der Baufinanz anfallenden Aufwendungen für die Geschäftsbesorgung durch die L-Bank, für die Jahresabschlussprüfung, die Bezüge der Geschäftsführung und die Aufwandsentschädigungen für die Mitglieder des Verwaltungsrats hat das Land indirekt ebenfalls zu tragen.
7 Hinweise und Empfehlungen
7.1 Abkehr von der Finanzierung durch die Baufinanz
Das FM hat auf Anregung des RH im Jahr 1998 das Kredit- und Schuldenmanagement zusammengeführt und neu organisiert. Das modern und kostenbewusst aufgebaute Kreditmanagement des Landes bringt nach Aussage des FM inzwischen jährliche Einspareffekte in Millionenhöhe . Dadurch sind aus Sicht des RH nunmehr die Voraussetzungen gegeben, die Finanzierung der Landesausgaben wieder in einer Hand zusammenzufassen. Dies zumal die Leistung der Baufinanz allein darin besteht, die vom Kreditreferat des FM aufgenommenen Mittel zusätzlich zu den unmittelbar für den Landeshaushalt festgelegten Kreditaufnahmen dem Land zur Verfügung zu stellen und für den Schuldendienst zu sorgen. Zur Kreditaufnahme und zum Bestandsmanagement stünde beim FM eine ausreichende Personalkapazität und Infrastruktur zur Verfügung, welche die Aufgaben für die wenigen Kreditverträge mit abwickeln könnte. Die im Bereich der Baufinanz bisher anfallenden Aufwendungen könnten dadurch entfallen. Die Kreditaufnahmen zu den günstigen Landeskonditionen wären möglich.
Bei der Übernahme der bisher getätigten Kreditaufnahmen und des Schuldendienstes durch das Land wären zwei Szenarien vorstellbar, die sowohl den Straßen- und Hochbau als auch die Einführung der NSI tangieren:
Szenario 1 - Auflösung der Baufinanz
Obwohl sich die Baufinanz in der Vergangenheit durchaus als ein geeignetes Instrument zur flexiblen Finanzierung von Investitionsmaßnahmen erwiesen hat, erscheint dem RH der jetzige Zeitpunkt sehr geeignet, die Auflösung der Baufinanz anzugehen. Neben der Vermeidbarkeit der zuvor beschriebenen Kostennachteile bei der Finanzierung und dem Wegfall der fixen Kosten der Geschäftsführung, spricht auch die längerfristig wahrscheinlich wieder ansteigende Zinsentwicklung für eine solche Auflösung. So kann vermieden werden, dass in den nächsten Jahren Projekte über die Baufinanz nur vorfinanziert werden und erst zu einem späteren Zeitpunkt, wenn die Zinsen voraussichtlich deutlich höher sein werden, endgültig in den Landeshaushalt zu übernehmen sind.
Unter dieser Perspektive wäre es konsequent, die Baufinanz kurzfristig aufzulösen und die Schulden bei der Baufinanz in Höhe von 502,4 Mio. € (Stand 31.12.2002) im Wege der Schuldübernahme aufs Land zu übertragen. Die Zustimmung der Gläubigerbanken wird vorausgesetzt, da das Land über eine bessere Bonität verfügt als die Baufinanz und schon jetzt als Ausfallbürgschafter haftet. Die derzeit niedrigen Zinsen könnte das Land zur Umschuldung und langfristigeren Finanzierung am Kreditmarkt nutzen, was auch dann noch wirtschaftlich wäre, wenn gewisse Vorfälligkeitsentschädigungen anfallen sollten. Unabhängig davon, ob das Land die derzeitig günstige Zinsentwicklung am Markt nutzen würde, hätte die Schuldübernahme eine Erhöhung der „offiziellen“ Nettokreditaufnahme zur Folge; faktisch bleibt die Schuldenhöhe aber unverändert.
Szenario 2 - Neue Vorhaben werden unmittelbar aus dem Landeshaushalt finanziert und die Baufinanz mittelfristig aufgelöst
Die bereits in Anspruch genommenen Kredite bei der Baufinanz werden - wie vorgesehen - im Laufe der nächsten 10 bzw. 20 Jahre abgewickelt und die Gesellschaft erst danach aufgelöst. Neue Kredite werden für die Baufinanz nicht mehr aufgenommen, der Schuldenstand in Höhe von 502,4 Mio. € reduziert sich stetig; Umfinanzierungen in zinsgünstige, lang laufende Kredite des Landes wären im Einzelfall zu prüfen. Der Zinsanteil, die Geldbeschaffungskosten und die Vergütung der Baufinanz werden bei Obergruppe 57 (Zinsausgaben am Kreditmarkt) und die Tilgungsleistungen bei Obergruppe 59 (Tilgungsausgaben am Kreditmarkt) veranschlagt. Neue Programme werden ab dem Jahr 2004 wieder unmittelbar aus dem Landeshaushalt finanziert. Dies kann entweder konventionell oder durch Leasing geschehen. Auch hier würde das derzeitig sehr günstige Zinsniveau für die Hochbaumaßnahmen längerfristig gesichert und in Folge der vertraglich vereinbarten Zwangstilgungen der Schuldendienst zumindest analog dem Werteverzehr reduziert. Neben einer Reihe anderer Vorteile, auf welche der RH bereits mehrfach hingewiesen hat, würde hiermit die Zinsbelastung und der Schuldenstand allmählich zurückgehen, und dennoch wären die notwendigen Investitionen sofort oder kurzfristig zu realisieren. Als Voraussetzung hierfür muss allerdings sichergestellt sein, dass die Leasingraten nicht durch zusätzliche Schuldaufnahmen geleistet werden.
7.2 Haushaltspolitische Rahmenbedingungen
Eine Abkehr von der Vorfinanzierung durch die Baufinanz dürfte allerdings nicht zur Folge haben, dass die Vorteile dieser Finanzierung in Bezug auf die Planungssicherheit und die Stetigkeit des Mittelflusses für die erforderlichen Hochbau- und Straßenbaumaßnahmen nicht mehr gegeben sind. Bei konsequenter Nutzung der haushaltsrechtlichen Instrumentarien und entsprechende politische Festlegungen, z. B. im StHG, kann die Abwicklung von Straßen- und Hochbaumaßnahmen von haushaltswirtschaftlichen Restriktionen ausgeklammert werden. Auch insoweit wäre dann die Baufinanz nicht mehr erforderlich.
8 Stellungnahme der Ministerien
Das FM und das UVM weisen auf die unter Pkt. 4 genannten Vorteile der Sonderfinanzierungen nochmals ausdrücklich hin. Bei einer herkömmlichen Haushaltsfinanzierung könnten hingegen die Mittelbereitstellung oder haushaltswirtschaftliche Restriktionen zu Einschränkungen führen, die unmittelbare Auswirkungen auf die Planungen und Bauzeiten hätten.
Die Bewertung der haushaltstechnischen Veranschlagung durch den RH wird vom FM nicht uneingeschränkt geteilt. Die besondere Darstellung der Haushaltsermächtigungen in den jeweiligen StHG stelle sicher, dass das davon tangierte Finanzvolumen der uneingeschränkten Budgetentscheidung des Parlaments unterstellt sei. Die innerhalb der betroffenen Kap. des StHpl. vorgenommene Zusammenfassung bzw. Nettoveranschlagung der Finanzierungsvorgänge stehe hierzu nicht im Widerspruch. Das Haushaltsvolumen erscheine dadurch zwar rein rechnerisch geringer, als es tatsächlich ist, ein Verstoß gegen Haushaltsgrundsätze wird darin allerdings nicht gesehen.
Das FM schließt sich der Auffassung des RH nicht an, dass es sich bei den mit der Baufinanz abgeschlossenen Verträgen um Kreditverträge handle. Die in den Finanzierungsverträgen getroffenen Regelungen, nach denen das Land der Baufinanz die aus deren Finanzierungstätigkeiten entstehenden Aufwendungen ersetzt und hierzu Zahlungen nach Maßgabe des StHpl. leistet, würden nicht die vertragliche Begründung von Finanzschulden im Sinne von Art. 84 LV darstellen. Dies gelte gleichermaßen für die Schulden der Baufinanz, die nach dem Art. 84 LV zu Grunde liegenden formellen Rechtsträgerprinzip dem Land nicht zuzurechnen seien. Auch unter wirtschaftlichen Gesichtspunkten sei darin kein Kreditgeschäft des Landes zu sehen, zumal sich das Land mit dieser Finanzierungsform zu keinem Zeitpunkt eine Geldquelle zum Zwecke des Haushaltsausgleichs erschlossen habe. Im Übrigen legt das FM Wert auf die Feststellung, dass die verfassungsmäßige Kreditobergrenze des Art. 84 Satz 2 LV auch bei Einbeziehung der Finanzierungen über die Baufinanz in der Vergangenheit zu keinem Zeitpunkt tangiert gewesen sei. Die im Haushalt etatisierten Investitionsausgaben seien auch nicht in die Berechnung der verfassungsmäßigen Kreditobergrenze einbezogen worden. Die bisherige Verbuchung von konsumtiven Ausgaben auf Investitionstiteln habe deshalb keinerlei Auswirkungen auf die Ermittlung bzw. Einhaltung der Kreditobergrenze gehabt.
Das Zinsänderungsrisiko könnte für die Baufinanz nur dann ausgeschlossen werden, wenn eine Programmfinanzierung in der Weise durchgeführt würde, dass Endfälligkeit des Kredites und Übernahmezeitpunkt in den Landeshaushalt identisch wären. Wenn sich dadurch die durchschnittliche Restlaufzeit der Darlehen erhöhen würde, wären allerdings höhere Zinsen die Folge, weil die Langfristzinsen über den Kurzfristzinsen liegen. Das Zinsänderungsrisiko ließe sich dadurch vermindern, wenn die Endfälligkeiten der Darlehen über einen Zeitraum von mehreren Jahren verteilt werden. Dies habe die Baufinanz auch so gehandhabt. Angesichts der Unvorhersehbarkeit der künftigen Zinsentwicklung ließe sich die Höhe des Zinsänderungsrisikos nicht exakt genug bestimmen, um eine fundierte Aussage über die „richtige“ Restlaufzeit bzw. den „richtigen“ Aufnahmezeitpunkt treffen zu können.
Das Risiko der Anschlussfinanzierung ließe sich deshalb nicht vermeiden, da das Land auf absehbare Zeit Kredite aufnehmen und Anschlussfinanzierungen werde vornehmen müssen.
Die vom RH vorgeschlagenen Grundsätze für die Veranschlagung und Transparenz im StHpl. wird das FM aufgreifen. Unter Berücksichtigung der abweichenden haushaltsrechtlichen Bewertung der Finanzierungsvorgänge im Zusammenhang mit der Baufinanz wird das FM die finanzierten Landesausgaben als Investitionen (Gruppe 711), die Finanzierungsbeiträge der Baufinanz als Einnahme (Gruppe 281 - Sonstige Erstattungen aus dem Inland bzw. Gruppe 342 - Sonstige Zuschüsse für Investitionen aus dem Inland) und den Finanzierungsaufwand des Landes an die Baufinanz als Zuschuss (Gruppe 671 - Erstattungen an Sonstige im Inland) veranschlagen. Damit würden, wie vom RH gefordert, das Investitionsvolumen und die Finanzierungskosten im Haushaltsplan und der LHR ersichtlich.
Der Vorschlag des RH, die Baufinanz aufzulösen und die Kreditaufnahme sowie den Schuldendienst auf das Land zu übertragen, werde vom FM nicht aufgegriffen. Die Vorfinanzierung über die Baufinanz biete für die Verwaltung Vorteile in Bezug auf Planungssicherheit und Stetigkeit des Mittelabflusses für die erforderlichen Straßen- und Hochbaumaßnahmen, die mit einer herkömmlichen Haushaltsfinanzierung nicht möglich seien. Bei einer kompletten Übernahme der Finanzierung durch das Kreditreferat des FM würde sich dort die Arbeitsbelastung deutlich erhöhen (Dokumentation, Schuldendienst, Übernahme des Kreditportfolios und Bestandsmanagement) und zu zusätzlichen Kosten beim Land führen.
Die vom RH genannte Finanzierungsvariante Leasing nutze das Land schon bisher bei Hochbaumaßnahmen, wenn sie für das Land im Einzelfall wirtschaftliche Vorteile böte und die haushaltsmäßigen Voraussetzungen geschaffen seien.
9 Schlussbemerkung
Die sich aus den Sonderfinanzierungen für die Abwicklung insbesondere der Baumaßnahmen ergebenden Vorteile können auch anderweitig gewährleistet werden. Das Haushaltsrecht ist flexibel genug durch entsprechende politische Festlegungen die Abwicklung von Straßen- und Hochbaumaßnahmen von haushaltswirtschaftlichen Restriktionen auszunehmen, falls das Land dies will.
Formal rechtlich handelt es sich bei den mit der Baufinanz abgeschlossenen Finanzierungsverträgen nicht um die vertragliche Begründung von Finanzschulden im Sinne von Art. 84 LV. Da aber die Baufinanz zu 99,90 % im Eigentum des Landes steht und diese mit den Finanzmitteln allein und ausschließlich Maßnahmen des Landes vorfinanziert, sind in wirtschaftlicher Hinsicht und im Ergebnis deren Vorfinanzierungen mit einer Kreditaufnahme des Landes vergleichbar. Der RH weist deshalb diese Verpflichtungen seit den 70er-Jahren als Teil der Gesamtverschuldung des Landes aus. Der RH ist weiter der Auffassung, dass das derzeit historisch niedrige Zinsniveau genutzt werden sollte, um die bei der Baufinanz bestehenden Verpflichtungen abzulösen und zu günstigen Landeskonditionen langfristig end zu finanzieren. Hierbei hatte der RH nicht so sehr (das kleinere) Zinsänderungsrisiko bei der Baufinanz selbst, sondern das weit aus größere Risiko bei der endgültigen Übernahme in den Landeshaushalt im Blick.
Der RH hält an seinem Vorschlag, die Baufinanz aus wirtschaftlichen Gründen aufzulösen und zukünftig die Kreditaufnahme und das Schuldenmanagement insgesamt im FM abzuwickeln, fest, zumal hierdurch die aus Gründen der Haushaltsklarheit und -wahrheit problematische Finanzierung über verlagerte Verpflichtungen wesentlich verringert würde.
Anhänge
Die Straßenbauverwaltung sollte geeignete Verfahren und Kriterien entwickeln, um die Rangfolge der Straßenbauprojekte zu priorisieren und sie wirtschaftlicher zu realisieren. Das Land hat im Jahr 2003 für den Bundesverkehrswegeplan 221 Straßenprojekte als vordringlichen Bedarf angemeldet, die nach bisheriger Mittelbereitstellung erst im Laufe von 35 Jahren realisiert werden könnten. Die Kosten für Planung und Bauüberwachung von Bundes-, Landes- oder Kreisstraßen können reduziert werden; die Personalproduktivität der Straßenbauverwaltung sollte erhöht werden.
1 Bundesfernstraßenbau
1.1 Grundlage für Bundesfernstraßenbauprojekte
Straßenbauprojekte des Bundes, die das Land in Auftragsverwaltung für den Bund ausführt, sind seit vielen Jahren im Bundesverkehrswegeplan (BVWP) dargestellt. In den jeweils gültigen BVWP wird (auf der Basis Verkehrsträger übergreifender Prognosen und Bewertungskriterien) für die Verkehrsträger Straßen- und Schienenverkehr bzw. Wasserstraßen das für die Gestaltung und den Ausbau der bestehenden Infrastruktur erforderliche Investitionsvolumen einschließlich der Finanzmittel für Ersatz und Erhaltung dargestellt. Die Grundlage hierfür bilden die Meldungen der Länder. Aussagen über Bauwürdigkeit und Dringlichkeit wurden dabei von den Ländern bisher nicht getroffen. Die Laufzeit des aktuell gültigen BVWP aus dem Jahr 1992 erstreckt sich bis ins Jahr 2012. Der BVWP stellt insoweit lediglich den Gesamtbedarf an Investitionsmaßnahmen fest. Hinsichtlich der Finanzierung und des Zeitpunkts der Realisierung einer Maßnahme gibt es keine Festlegungen. Aus dem BVWP ist ein Bedarfsplan für die Bundesfernstraßen abzuleiten; dieser ist nach dem Fernstraßengesetz alle fünf Jahre zu überprüfen und ggf. fort zu schreiben.
Seitens des Bundes werden die gemeldeten Projekte in die Dringlichkeitsstufen „Vordringlicher Bedarf“ und „Weiterer Bedarf“ unterteilt. Lediglich für den vordringlichen Bedarf wird ein Zieljahr und ein zugehöriger Finanzrahmen jeweils genannt. Der nächste BVWP sieht als Zieljahr das Jahr 2015 vor. Neu ist, dass die für den vordringlichen Bedarf vorgesehenen Projekte bis 2015 mindestens begonnen sein sollen.
Die Erfahrungen der zurückliegenden Jahre haben gezeigt, dass die bisherige Aufstellungs- und Fortschreibungspraxis den Erfordernissen einer modernen Verkehrsplanung und den zurückgehenden finanziellen Investitionsmitteln nicht mehr gerecht wird. Da flexiblere Planungsinstrumentarien notwendig sind, wurden mehrere Sonderprogramme geschaffen, die dazu dienen sollten, eher kurzfristig auf verkehrspolitische Problemstellungen eingehen zu können.
1.2 Sonderprogramme neben dem Bundesverkehrswegeplan
1.2.1 Investitionsprogramm 1999 bis 2002
An Stelle des gesetzlich vorgeschriebenen Fünfjahresplans wurde vom Bund als Übergang zur kurzfristig beabsichtigten Überarbeitung des Bundesverkehrswegeplans für die Jahre 1999 bis 2002 ein Investitionsprogramm für Straßenbauprojekte mit einem Gesamtvolumen von rd. 34,4 Mrd. € aufgestellt. In diesem Investitionsprogramm sind für Baden-Württemberg 70 sog. hoch prioritäre Maßnahmen und neun prioritäre Maßnahmen darstellt.
1.2.2 Zukunftsinvestitionsprogramm
Das Zukunftsinvestitionsprogramm (ZIP) basiert auf Zinsersparnissen infolge Einnahmen aus der Versteigerung der sog. UMTS-Lizenzen. In den Jahren 2001 bis 2003 wird jeweils ein Betrag von rd. 24 Mrd. € zielgerichtet für zusätzliche Investitionen in den Bereichen Verkehr, Forschung, Bildung und Energie eingesetzt. Der Straßenbau erhält im Rahmen des ZIP insgesamt rd. 1,38 Mrd. €. Damit werden 125 zusätzliche Ortsumgehungen finanziert. Für Baden-Württemberg sind im Rahmen des ZIP 15 Projekte vorgesehen, die z. T. komplementär aus Normalprogrammen (rd. 126 Mio. €) und aus dem ZIP (rd. 190 Mio. €) finanziert werden.
1.2.3 Anti-Stau-Programm
Mit dem Anti-Stau-Programm soll lt. Bundesverkehrsministerium nahtlos an das Investitionsprogramm 1999 bis 2002 angeschlossen werden. Dieses Programm läuft von 2003 bis 2007. Das Gesamtvolumen (einschließlich Schienen und Wasserstraßen) beträgt rd. 3,78 Mrd. €. Davon sollen rd. 1,89 Mrd. € auf Straßenbauprojekte entfallen.
Für Baden-Württemberg sind im Rahmen des Anti-Stau-Programms die in Übersicht 1 dargestellten Maßnahmen geplant.

Die aus dem Anti-Stau-Programm zu realisierenden acht Maßnahmen in Baden-Württemberg haben ein Finanzvolumen von 386,2 Mio. €; dies entspricht rd. 20 % des für den Straßenbau bundesweit vorgesehenen Gesamtvolumens von rd. 1,89 Mrd. €.
1.3 Fortschreibung des Bundesverkehrswegeplans
Die zur Zeit gültige BVWP aus dem Jahr 1992 wird derzeit aus folgenden Gründen aktualisiert:
- Die Prognosen sind durch die Verkehrsentwicklungen überholt.
- Die Kostenschätzungen vieler Projekte - und damit auch die Kosten-/Nutzenverhältnisse - sind nicht mehr aktuell.
- Der BVWP 1992 war mit rd. 41 bis 46 Mrd. € erheblich unterfinanziert.
- Ein Teil der für zukünftige Investitionen vorgesehenen Finanzmittel ist bereits durch die Refinanzierung privat vorfinanzierter Projekte in Anspruch genommen.
Alle Projekte des BVWP, die nicht den folgenden Voraussetzungen entsprechen, sollen deshalb einer Neubewertung unterzogen werden:
- Vorhaben des Investitionsprogramms 1999 bis 2002.
- Vorhaben des Anti-Stau-Programms für die Jahre 2003 bis 2007.
- Maßnahmen des vereinbarten „vordringlichen Bedarfs“, für die am 31.12.1999 ein Planfeststellungsbeschluss oder ein vergleichbarer Beschluss vorlag.
Auf Grund der veränderten Erfordernisse, die an neue Straßeninfrastrukturprojekte gestellt werden, soll die Bewertungsmethodik unter Berücksichtigung knapper monetärer Mittel modifiziert werden. Die bisherigen Elemente der Bundesverkehrswegeplanung, wie Gesamtverkehrsprognosen für den Personen- und Güterverkehr auf Basis von Szenarien und gesamtwirtschaftliche Projektbewertung nach Verkehrsträger übergreifend einheitlichen Maßstäben zur Festlegung der Bauwürdigkeit und der Dringlichkeit von erwogenen Verkehrsprojekten, sollen um folgende weitere Komponenten ergänzt bzw. präzisiert werden und künftig im Rahmen der gesamtwirtschaftlichen Bewertung zusätzlich in die Kosten-Nutzen-Bewertung mit einfließen:
- Wechselwirkungen zwischen den einzelnen Projekten
- Induzierter Verkehr
- Räumliche Wirkungen
- Umwelteffekte
- Städtebau
Zusätzlich sollen Faktoren, die auf die Einschätzung des Umweltrisikos, der Raumwirksamkeit und der städtebaulichen Bewertung Einfluss haben, mit in die Gesamtbetrachtung einfließen.
1.4 Angemeldete Projekte aus Baden-Württemberg im Jahr 2000
Das UVM hatte für das Land zur Aktualisierung des BVWP im Jahr 2000 insgesamt 422 Fernstraßenprojekte angemeldet. Darin enthalten waren auch Planungsvarianten und Alternativen zu einzelnen Projekten. Die Baulastträgerkosten beliefen sich für diese Projekte mit einem Umfang von rd. 2.300 Straßenkilometer auf mehr als 14 Mrd. €. Die Vorhaben sind in Übersicht 2 dargestellt.

1.5 Bundeszuweisungen für Neubau und die Erweiterung von Straßenbauprojekten
Für den Neubau und die Erweiterung von Straßenbauprojekten hat das Land in den zurückliegenden Jahren Bundeszuweisungen in der in Übersicht 3 genannten Höhe erhalten .

In den Jahren 1994 bis einschließlich 2001 erhielt das Land insgesamt 1.515,5 Mio. € an Bundeszuweisungen; durchschnittlich 189,5 Mio. €/Jahr.
1.6 Künftiges Verfahren zur Bewertung von Bundesfernstraßenbauprojekte
Im Zuge der Neuaufstellung forderte der Bund die Länder im Mai 2002 auf, für die angemeldeten Verkehrsprojekte (Schiene, Straße und Bundeswasserstraßen) die vom Bund erarbeiteten Daten zu überprüfen und die Projekte selbst zu priorisieren. Das UVM wendete dagegen ein, der Bund habe für Projekte in Baden-Württemberg keinen Finanzrahmen bekannt gegeben. Damit fehle die entscheidende Größenordnung zur Beurteilung der Projekte. Dass der BVWP aus dem Jahr 1992 dringend fortgeschrieben werden müsse, stehe außer Frage und war ursprünglich bereits für die letzte Legislaturperiode vorgesehen, wurde dann aber in das Jahr 2003 verschoben.
Der Bund hat neben veränderten verkehrlichen Gesichtspunkten die Maßstäbe „Raumwirkungsanalyse“ und „Umweltrisikoeinschätzungen“ als wesentliche neue Elemente in die Bewertung der Projekte eingebracht. Das Land weist daraufhin, dass deren Berechtigung, Anwendung und Gewichtung bislang unklar seien. Das Land beabsichtigt, sich mit den fachlichen Fragen der Projektbewertung des Bundes kritisch auseinander zu setzen und sie auf Richtigkeit, Stimmigkeit und Relevanz hin zu untersuchen und in Abstimmung mit den jeweils Betroffenen vor Ort und mit den anderen Bundesländern zu einem einheitlichen methodischen Vorgehen zu kommen.
Der RH hält eine Priorisierung im Sinne des Erarbeitens einer Dringlichkeitsliste des jeweiligen Landesbedarfs nach objektiven Kriterien für zwingend geboten. Die im Zuge der Fortschreibung des BVWP zusätzlich zu berücksichtigenden Faktoren und Beurteilungskomponenten hält der RH in der Sache für berechtigt.
1.7 Bewertungskriterien für Bundesfernstraßenprojekte im Land
Eine systematische, an objektiven Kriterien orientierte und nachvollziehbare Priorisierung der Vorhaben, die für den BVWP angemeldet werden, findet von Seiten des Landes bislang nicht statt. Zwar liegen für die geplanten Vorhaben Zahlen zur Verkehrsbelastung und zu den Kosten vor, es existiert aber landesseitig kein einheitlicher, standardisierter Kriterienkatalog, der eine objektive Beurteilung des Kosten-Nutzen-Verhältnisses eines Straßenbauprojekts und eine daran orientierte Priorisierung zulassen würde. Mit der Anmeldung zum BVWP begibt sich das Land der Möglichkeit einer eigenen verkehrspolitischen Gewichtung. Die Vorhaben wurden einseitig von Seiten des Bundes einer Kosten-Nutzen-Analyse unterzogen.
Die fehlende landesspezifische Priorisierung der Bundesfernstraßenbauprojekte, hat vor dem Hintergrund, dass der Bau und die Instandhaltung der Bundesfernstraßen bundesweit eine jährliche Finanzierungslücke von rd. 2 Mrd. € aufweisen, nachhaltige Folgen. Da auf der einen Seite laufend weitere Projekte angemeldet werden, andererseits aber die Finanzierung bereits bewerteter und planfestgestellter Vorhaben nicht ausreichend gesichert ist, läuft die Schere stetig weiter auseinander. Durch die im Jahr 2000 zum BVWP angemeldeten 422 Vorhaben wurde zwar ein immenser Bedarf dokumentiert, gleichzeitig stand aber fest, dass mangels Finanzierbarkeit viele Projekte keine Chance der Realisierung haben.
Die Folgen hieraus sind:
- Durch Anhäufung von Projekten ohne Priorisierung verliert die Anmeldung an Akzeptanz und Durchschlagskraft und macht dadurch die Festlegung der Dringlichkeit durch Dritte erforderlich.
- Eine Bedarfsmeldung ohne einen annähernd lebensnahen Bezug zur Finanzierbarkeit entwertet sich selbst.
- Für die Planung dieser Maßnahmen fallen unnötige Planungskosten (Personal- und Sachkosten sowie Kosten für die Leistungen Dritter) in nicht unerheblicher Höhe an, die in vollem Umfang von Baden-Württemberg zu tragen sind, wenn das Projekt nicht realisiert wird.
Die Auswertung von 164 der 422 angemeldeten Bundesfernstraßenprojekte hat ergeben, dass der Planungsbeginn bei 18 % dieser Projekte bereits vor 1980 und bei 45 % zwischen 1980 und 1989 lag (s. Schaubild).

Dass mit dem Bau eines Großteils dieser Projekte in absehbarer Zeit oder überhaupt begonnen wird, ist auf Grund der finanziellen Rahmenbedingungen eher unwahrscheinlich.
Im Februar 2003 hat das UVM dem Bundesministerium für Verkehr, Bau und Wohnungswesen die von dortiger Seite geforderte Liste vordringlicher Bauprojekte für die Fortschreibung des Bundesverkehrswegeplans übersandt. Darin wurden 221 Projekte mit einem Gesamtvolumen von 6,6 Mrd. € für den sog. vordringlichen Bedarf vorgeschlagen. Die Verteilung auf Bundesautobahnen und Bundesstraßen ergibt sich aus Übersicht 4.
Legt man den bisherigen Mittelzufluss aus Bundeszuweisungen (s. Übersicht 3) mit durchschnittlich 189,5 Mio. € zu Grunde, könnten die 221 Straßenprojekte des vordringlichen Bedarfs erst im Laufe der nächsten 35 Jahre realisiert werden. Die in Zukunft zu erwartenden Anteile an der LKW-Maut können zwar zu einer Verbesserung der Finanzierungssituation beitragen; deren konkrete Auswirkungen sind aber derzeit nur schwer abschätzbar.

Nach welchen Kriterien insbesondere die disponiblen, also die neu angemeldeten Maßnahmen bzw. der Überhang aus dem BVWP 1992, ausgesucht wurden, ist dem RH nicht bekannt. Nach Ansicht des UVM bedarf es keiner inneren Priorisierung der Maßnahmen. Ein Verfahren, mit dem die Dringlichkeit der Realisierung von künftigen Maßnahmen nicht bewertet und lediglich ein fiktiver Finanzrahmen vorgegeben wird, gewährleistet nach Einschätzung des RH keine wirtschaftlichen Entscheidungen.
2 Ausgangslage Landesstraßenbau
Nach der 5-Jahres-Bilanz zur Umsetzung des Generalverkehrsplans 1995 sind für den Um-, Aus- und Neubau von Landesstraßen die Investitionen im Zeitraum 1995 bis 1999 um 19 % von rd. 54 Mio. € auf rd. 43 Mio. € gefallen. Von 1995 bis 1999 konnten deshalb lediglich rd. 250 km Landesstraßen fertig gestellt werden. Als Reaktion hieraus wurden im Doppelhaushalt 2000/2001 dem Landesstraßenbau für die Jahre 2000 und 2001 einschließlich des durch die Finanzierungsgesellschaft für öffentliche Vorhaben des Landes Baden-Württemberg mbH vorfinanzierten Sonderprogramms jeweils rd. 107 Mio. € zur Verfügung gestellt.
Für die Erhaltung von Landesstraßen sanken die Mittel von durchschnittlich rd. 30 Mio. € in den Jahren 1991 bis 1995 auf rd. 20 Mio. € je Jahr in den Jahren 1996 bis 1999. Um langfristige Folgeschäden zu vermeiden, wurde der Mitteleinsatz für die Erhaltung in den Jahren 2000 und 2001 auf 34,2 Mio. € bzw. 27,2 Mio. € gesteigert. Im Jahr 2002 sind für Aus- und Neubaumaßnahmen mehr als 62 Mio. € und für Erhaltungsmaßnahmen knapp 50 Mio. € zur Verfügung gestellt worden.
2.1 Fehlende Bewertungskriterien für Landesstraßenprojekte
Im Landesstraßenbau ist das Land - anders als beim Bau von Bundesfernstraßen- alleiniger Herr des Verfahrens. Die Probleme sind jedoch nahezu identisch, da es auch hier nach den Feststellungen des RH an einer an objektiven Kriterien orientierten Planung der Neu-, Aus-, Umbau- und Erhaltungsprojekte mangelt. Die Reihenfolge, in denen Bauprojekte an bestehenden bzw. neu zu errichtenden Landesstraßen nach deren Aufnahme in den „vordringlichen“ bzw. „weiteren Bedarf“ des Generalverkehrsplans des Landes angegangen werden, erscheint zumindest teilweise willkürlich.
Auch hier hat der RH keine klaren Vorgehensmuster und Kriterien gefunden, die eine objektive Gesamtbeurteilung zur Priorisierung gerade der Projekte des „vordringlichen Bedarf“ zulassen. Insbesondere fehlt es an Berechnungen, die die volkswirtschaftlichen und finanzwirtschaftlichen Auswirkungen der jeweiligen Maßnahme dokumentieren. Fehlende Auswahlkriterien machen die Straßenbauverwaltung zudem anfällig für einseitige Einflussnahmen (s. auch Beitrag Nr. 25).
2.2 Vorschlag zur Kriterienbildung
Um die Projekte des Landesstraßenbaus effizient und wirtschaftlich sinnvoll realisieren zu können, ist es notwendig, ein standardisiertes Bewertungsverfahren (z. B. in Form von Nutzwertanalysen) mit gewichteten Kriterien zu entwickeln, die sich an der Notwendigkeit der Maßnahme und deren Auswirkungen orientieren. Solche Kriterien können sein:
- Zustand der Straße/des Bauwerks
- Unfallhäufigkeit
- Zeitdauer bis zur Fertigstellung der Maßnahme
- Finanzielle Auswirkungen der Maßnahme bzw. der Alternativen
- Umweltfaktoren
- gesamtwirtschaftliche Auswirkungen
Die Rangfolge für die Realisierung der Projekte könnte dann durch die jeweiligen Nutzwertanalysen und die sich daraus ergebenden Zielerreichungsgrade ermittelt werden. Dadurch würde Planungssicherheit geschaffen, der Nutzen für die Allgemeinheit belegt, und unsachgerechte Einflussnahmen Dritter könnten reduziert werden. Nicht zuletzt wären die knappen Mittel effizienter einzusetzen.
3 Kosten für Planung und Bauüberwachung
3.1 Unzureichende Kostentransparenz
Mit der Planung und Bauüberwachung von Straßenbauprojekten waren im Untersuchungszeitraum Mitarbeiter der Regierungspräsidien, des Landesamts für Straßenwesen (LfS), der Autobahnbetriebsämter und der Straßenbauämter befasst . Der RH hat für alle 422 im BVWP enthaltenen Bundesfernstraßen sowie für die 161 im StHpl. 2000/2001 veranschlagten Landesstraßen u. a. Daten zum Planungsbeginn und Planungsstand sowie zu den Kosten für Planung und Bauüberwachung Dritter erhoben.
Parallel hierzu wurden für alle Bau- und Erhaltungsprojekte (Bundes-, Landes- und Kreisstraßen) im Zeitraum zwischen 1999 und 2001 diverse Strukturdaten (u. a. externe Planungskosten, Investitionen) erhoben. Abschließend wurde der Personalstand der mit Bauplanung und Bauüberwachung betrauten Mitarbeiterinnen und Mitarbeiter ermittelt. Es war aber nicht möglich, darzustellen, welchen Aufwand einzelne Straßenbauprojekte an internen Planungskosten verursachten, weil die Straßenbauverwaltung ihre eigenen Planungs- und Bauüberwachungskosten den jeweiligen Straßenbauprojekten nicht zuordnen konnte. Vergleichende Wirtschaftlichkeitsberechnungen waren damit ausgeschlossen. Im Zuge der Einführung der Neuen Steuerungsinstrumente (NSI) soll dies ab Juli 2003 über entsprechende Projektsteuerungsmaßnahmen möglich sein.
3.2 Personalbestand und -kosten der für Planung und Bauunterhaltung eingesetzten Mitarbeiter
Im Erhebungszeitraum hat sich der Personalstand für Planung und Bauüberwachung bei der Straßenbauverwaltung entsprechend Übersicht 5 entwickelt.

Demnach wurde der Personalbestand für Planung und Bauüberwachung seit 1999 um 83 Stellen zurückgeführt.
Von den in den Jahren 1999 bis 2002 besetzten Personalstellen entfallen auf die jeweiligen Regierungsbezirke (Regierungspräsidien und Straßenbauämtern) bzw. das LfS einschließlich Autobahnbetriebsämter die in der Übersicht 6 dargestellte Anzahl.

Trotz Reduzierung der Personalstellen um rd. 10 % sind die hierfür angefallenen Personalkosten auf Grund von Lohn- und Gehaltssteigerungen nur um 5 % von rd. 66 Mio. € in 1999 auf rd. 63 Mio. € in 2001 gesunken.
Zusammen mit den an Dritte vergebenen Planungs- und Bauüberwachungsleistungen ergeben sich für das Land die in Übersicht 7 zusammengefassten Ausgaben für Planung- und Bauüberwachung.

Danach wurde im Jahr 2001 ein Betrag von rd. 86 Mio. € nur für Planungs- und Bauüberwachungskosten für Bundesfern-, Landes- und Kreisstraßenprojekte aufgewendet. Eine Zuordnung der internen Kosten auf die jeweiligen Baulastträger war nicht möglich.
3.3 Planungskosten für Maßnahmen nach dem Bundesverkehrswegeplan
Die Planungskosten für Bundesfernstraßenprojekte trägt zunächst das Land als Vorleistung. Die Haushaltsmittel für externe Planungs- und Bauüberwachungsleistungen sind bei Kap. 1004 (Straßenbau) und Kap. 1008 (LfS) jeweils im Tit. 534 03 (Dienstleistungen Dritter u. dgl.) veranschlagt. Die Personal- und Sachkosten für die selbst erbrachten Planungs- und Bauüberwachungsleistungen werden aus Kap. 1004 bzw. 1008 bestritten und sind nicht eindeutig zuzuordnen.
Für die im Jahr 2000 zum BVWP angemeldeten 422 Projekte des Landes wurden die durch Dritte verursachten Planungskosten an Hand von Erhebungsbogen bei den Regierungspräsidien, dem LfS und den Straßenbauämtern erhoben.
Aufgeteilt nach den Regierungsbezirken bzw. der Zuständigkeit des LfS sind die in Übersicht 8 dargestellten externen Planungs- und Bauüberwachungskosten angefallen.

Allein in den Jahren 1995 bis einschließlich 2001 hatte das Land Ausgaben für Leistungen an Dritte in Höhe von rd. 92,6 Mio. € zu erbringen. Der Großteil hiervon entfiel mit rd. 72 Mio. € auf die Planungskosten. Da für viele dieser Projekte bereits vor 1995 Planungsleistungen erbracht wurden bzw. solche künftig noch erforderlich werden, liegen die tatsächlichen Ausgaben deutlich höher.
Mit vertretbarem Aufwand waren flächendeckende Angaben über die Planungskosten aber vor 1995 nicht zu gewinnen. Der RH hat sich daher auf Aussagen ab 1995 beschränkt, zumal diese die Dimensionen der von Dritten geleisteten Planungs- und Bauüberwachungsausgaben hinreichend deutlich machen. Auffallend sind die Spannweiten bei den Bauüberwachungskosten je km. Während im Regierungsbezirk Freiburg über 37.000 € je km aufgewendet werden mussten, wurden im Regierungsbezirk Tübingen lediglich 152 € je km ausgegeben.
Nach der Regelung in Art. 104 a Abs. 5 GG tragen die Länder im Rahmen der Auftragsverwaltung die gesamten Verwaltungskosten, während der Bund für die sog. Zweckausgaben, die für die Entwurfsbearbeitung und Bauaufsicht an Bundesfernstraßen entstehen, aufzukommen hat. Die seit dem Jahr 1972 gesetzlich festgelegte Pauschale beträgt für Entwurfsbearbeitung 2 % und für die Bauaufsicht 1 % der Baukosten. Erstattungen des Bundes, die dieser nur für die tatsächlich realisierten Projekte gewährt, werden bei Tit. 231 01 vereinnahmt. Es entspricht der gegenwärtigen rechtlichen Situation, dass der weit überwiegende Anteil der Planungskosten von den Ländern getragen werden muss. Die Länder bemühen sich seit vielen Jahren um eine günstigere Regelung.
Im Vergleichszeitraum hat das Land vom Bund die in Übersicht 9 zusammengefassten Erstattungen erhalten.

Dies bedeutet, dass lediglich die externen Planungs- und Bauüberwachungsleistungen durch die Erstattungen des Bundes abgedeckt sind (s. Übersicht 8). Die eigenen Kosten für Planung und Bauüberwachung verblieben demnach voll beim Land. Allein in den Jahren 1999 bis 2001 beliefen sich diese internen Personalkosten auf rd. 194 Mio. €.
3.4 Planungskosten für Projekte des Landesstraßenbaus
Entsprechend der Erhebung für die Bundesfernstraßenprojekte wurden auch Daten für Landesstraßen erhoben.

An durchschnittlichen Planungskosten waren 44.830 € je km aufzuwenden. Im Vergleich zu den Bundesfernstraßenprojekten liegen die Anteile der Planungskosten Dritter für den Landesstraßenbau je km im Schnitt um rd. 13.000 € höher. Eine differenzierte Betrachtung zeigt, dass dies insbesondere auf die hohen Planungskosten im Regierungsbezirk Stuttgart zurückzuführen ist. Dort lagen die an Dritte bezahlten Planungskosten bei 66.778 € je km. Auch die durchschnittlichen externen Bauüberwachungskosten sind im Vergleich zu den Bundesfernstraßenprojekten höher.
4 Kennzahlen zur Planung und Bauüberwachung
Eine Aussage über das Verhältnis zwischen ausgegebenen Bausummen für Bundes-, Landes- und Kreisstraßen und den dafür aufgewendeten Planungs- und Bauüberwachungskosten zeigt die Übersicht 11.

Demnach beläuft sich das Verhältnis der Planungs- und Bauüberwachungskosten zu den Baukosten zwischen 18 % und 21 %. Das heißt, dass rd. ein Fünftel der Baukosten einer Maßnahme zusätzlich für Planung und Bauüberwachung aufzubringen ist. Einer der Gründe hierfür ist, dass sich die Planungsverfahren in einer Vielzahl von Fällen über Jahrzehnte hinaus erstrecken. Auf Grund dieser langen „Hängepartien“ und sich immer wieder ändernder Rahmenbedingungen mussten in der Vergangenheit für ein und dieselben Maßnahmen die Planungen mehrfach geändert werden, obwohl weiterhin kaum Realisierungschancen bestehen. Dieser Eindruck hat sich bei den örtlichen Erhebungen bei mehreren Straßenbauämtern bestätigt.
5 Personalproduktivität der Straßenbauverwaltung
Noch drastischer fällt der Vergleich aus, wenn man die Personalproduktivität betrachtet. Dabei werden die gesamten Personalkosten der Straßenbauverwaltung (einschließlich der Kosten für Dienstleistungen Dritter) zu den Ausgaben für Straßen-Neubau, Umbau, Ausbau, Erneuerung und Unterhalt ins Verhältnis gesetzt. Für die Jahre 1994 bis 2000 ergeben sich hier Verhältniszahlen zwischen 1 : 1,47 und 1 : 1,18. Die Übersicht 12 zeigt, dass sich diese Kennzahl von 1994 bis 1999 bzw. 2000 erheblich verschlechtert hat. Erst das Jahr 2001 zeigt wieder eine deutlich positivere Tendenz auf.

Im Ergebnis bedeutet dies, dass in der Vergangenheit zu jedem €, der für Investitionen oder Unterhalt im Straßenbau ausgegeben wurde, bis zu einem weiteren € an internen und externen Personalausgaben anfiel. Die Produktivitätskennzahl hat sich in den Jahren 1995 bis 2000 kontinuierlich verschlechtert; erst im Jahr 2001 wurde wieder das Niveau der Jahre 1994/1995 erreicht.
Betrachtet man die Entwicklung seit 1994, so bedeutet dies, dass der Personalabbau in der Straßenbauverwaltung lange Zeit nicht mit den rückläufigen Investitionsmitteln Schritt gehalten hat. Der Personalbestand wurde erst im Jahr 2001 deutlich reduziert. Hinzu kam, dass die externen Kosten auf hohem Niveau stagnierten und im Jahr 2001 wieder um 5 Mio. € angestiegen sind.
Die Ausgaben sind zukünftig weiter erheblich zu reduzieren. Planungsleistungen sind auf das für eine sinnvolle und finanzierbare Verkehrsinfrastruktur notwendige Maß zu reduzieren. Detaillierte „Schubladenplanungen“ sind zu vermeiden; allenfalls sind Projekte grob zu entwerfen, damit eine erste Nutzen-Kosten-Abwägung möglich ist. Die eingesparten, unnötigen Planungskosten könnten für dringend erforderliche Straßenbau- und Sanierungsprojekte verwendet werden.
6 Empfehlungen
6.1 Durch die Anmeldung von 221 Projekten für die Aktualisierung des BVWP im Jahr 2003 wird für Baden-Württemberg ein großer Bedarf an Projekten im Rahmen des Bundesfernstraßenbaus dokumentiert. Deren Realisierung ist jedoch auf Grund fehlender Finanzmittel zumindest mittelfristig unwahrscheinlich. Maßnahmen, die in naher Zukunft keine Chance haben, sollten künftig nicht mehr für den BVWP angemeldet werden. Kosten für detaillierte Planungen dieser Projekte sind zu vermeiden. Dagegen sollten Maßnahmen, die Aussicht auf eine Realisierung haben, mit entsprechendem Nachdruck vorangetrieben werden.
6.2 Der RH hält es für zwingend notwendig, Aus- und Neubauprojekte von Bundesfernstraßen bereits landesseitig zu priorisieren und ein Ranking der Projekte zu erstellen.
6.3 Das Land verfügt bislang über keine hinreichenden Angaben zu Planungs- und Bauunterhaltungskosten der einzelnen Fernstraßenprojekte. Insbesondere die internen Kosten der einzelnen Maßnahme können bisher nicht beziffert werden. Das UVM sollte sich dieser Frage aus Wirtschaftlichkeitsgesichtspunkten verstärkt widmen.
6.4 Die Kosten für Bauplanung und Bauüberwachung von Bundesfern-, Landes- und Kreisstraßen betragen rd. 20 % der Gesamtherstellungskosten. Weil für Bundesfernstraßenprojekte diese Kosten lediglich mit 3 % der Baukosten vergütet werden, ist eine deutliche Kostensenkung bei Planung und Bauüberwachung anzustreben.
6.5 Auch im Landesstraßenbau sind objektive und einheitliche Kriterien und standardisierte Verfahren zu entwickeln und zu verwenden, um z. B. mit Hilfe von Nutzwertanalysen zu entscheiden, in welcher Reihenfolge die in den Generalverkehrsplan aufgenommenen Maßnahmen realisiert werden sollen. Durch klare und einheitliche Entscheidungs- und Vorgehensmuster könnten Planungssicherheit geschaffen, der Nutzen für die Allgemeinheit besser belegt und nicht sachgerechte Einflussnahmen reduziert werden. Unnötige Detailplanungen „auf Vorrat“ sollten vermieden und die Ersparnisse in dringende Bauprojekte umgeleitet werden.
6.6 Die Personalproduktivität ist durch geeignete Maßnahmen weiter zu verbessern.
7 Stellungnahme des Ministeriums
Das UVM widerspricht der Einschätzung des RH, es fehle beim Landesstraßenbau wie beim Bundesfernstraßenbau an einer an objektiven Kriterien orientierten Planung der Maßnahmen. Im Generalverkehrsplan des Landes würden Bedarf und Dringlichkeitsstufen nach einer differenzierten Bewertungsmethodik und nach objektiven Kriterien ermittelt und festgelegt. Dies treffe auch für die Bauprogramme zu.
Das UVM hält die auf Grund der Umfrage des RH im Rahmen des Projekts von den Regierungspräsidien, den Straßenbauämtern, dem LfS und den Autobahnbetriebsämtern gelieferten Daten für nur eingeschränkt belastbar.
Die Straßenbauverwaltung sei im eigenen Interesse bestrebt, die Aufwendungen für Planung und Bauüberwachung so gering wie möglich zu halten. Eine effiziente Planungsarbeit setze aber gerade bei ständig schwankendem Mittelabfluss einen ausreichenden Vorlauf der Planung voraus. Hinsichtlich der Dauer der Planungsphasen verschiedener Maßnahmen hat das UVM bemerkt, dass Planungen für Bundes- und Landesstraßen im Grundsatz nur für Projekte des „Vordringlichen Bedarfs“ betrieben würden. Die Straßenbauverwaltung sehe sich aber immer wieder auf Wunsch der Kommunen veranlasst, Planungen für Straßen aufzunehmen, auch wenn deren Realisierung mittel- bis längerfristig nicht absehbar sei. Dies begründe sich einerseits mit der Daseinsvorsorge der Gemeinde, die Bauleitplanung in Abstimmung auf eine künftige Straßenplanung weiter zu entwickeln, andererseits mit dem Interesse der Straßenbauverwaltung, eine mögliche - mit erträglichen Kosten zu realisierende - Trasse freizuhalten. Daraus resultierten Planungsaufwendungen, die später unter Umständen in Teilen modifiziert und an andere Rahmenbedingungen angepasst werden müsse. Allgemein sei bei den hohen Planungskosten noch zu bedenken, dass beim Straßenbau die planerischen und fachtechnischen Anforderungen in Anpassung an den neuesten Stand der Technik und an aktuelle rechtliche Vorgaben in den letzten Jahren enorm gestiegen seien.
Nicht zuletzt sei die Straßenbauverwaltung gezwungen, nachdem sie einen Großteil der Planungen nicht mehr selbst durchführen könne, Planungen an Private zu vergeben, was sich in der Gesamtsumme der Planungskosten ebenfalls kostenerhöhend niederschlage, zumal auch vergebene Planungen betreut werden müssten.
8 Schlussbemerkung
Die Argumentation des UVM, die Bundes- und Landesstraßenprojekte würden durch die Qualifizierung in „Vordringlichen“ bzw. „Weiteren Bedarf“ ausreichend priorisiert, ist nicht neu. Konkrete und nachvollziehbare Beispiele oder Verfahrensmuster wurden dem RH jedoch nicht vorgelegt. Der RH fordert weiterhin eine bedarfsgerechte Priorisierung; die bloße Darstellung des in Zukunft wünschenswerten Bedarfs an Bundesfern- und Landesstraßenprojekten erfüllt nicht mehr das Erfordernis einer wirtschaftlichen und zielorientierten Verkehrsplanung.
Vielmehr muss gerade innerhalb des „Vordringlichen Bedarf“ eine Festlegung auf die verkehrspolitisch tatsächlich notwendigen Maßnahmen erfolgen, die unter Berücksichtigung der voraussichtlich zur Verfügung stehenden Mittel in einem Ranking dargestellt werden müssen. Dies ist möglich, wenn ein nachvollziehbares, transparentes Instrumentarium zur Gesamtbewertung der Kosten und des Nutzens einer Maßnahme vorliegt. Eine „Priorisierung“ nach lediglich zwei Bedarfsarten unter Verzicht auf ein „eigenes Ranking“ reicht nicht aus.
Der RH hält die bei den Dienststellen der Straßenbauverwaltung erhobenen Daten, die im Übrigen auf einer hohen Aggregationsebene zusammengeführt wurden, für aussagekräftig, zumal die Fragebogen mit einem vom UVM benannten „Expertenteam“ abgestimmt und die Meldungen von den Regierungspräsidien vorab einer Plausibilisierung unterzogen wurden. Es ist angezeigt, aus diesem Datenmaterial die notwendigen Konsequenzen zu ziehen.
Was wurde aus dem Beitrag?
Die parlamentarische Behandlung finden Sie hier
Anhänge
Das System zur Finanzierung der Landesanstalt für Kommunikation aus den Rundfunkgebühren führt zu einer Finanzausstattung, die den tatsächlichen Bedarf erheblich übersteigt. Eine stärkere Kooperation im Bereich der Medienaufsicht zwischen den Ländern könnte zu einem niedrigeren Finanzbedarf führen.
1 Vorbemerkung
Die Landesanstalt für Kommunikation (LFK) wurde 1986 als rechtsfähige Anstalt des öffentlichen Rechts mit Sitz in Stuttgart errichtet. Seither hat der Gesetzgeber das Aufgabenspektrum der Anstalt ausgehend von einer Aufsichts- und Zulassungsfunktion nach und nach insbesondere durch Verstärkung der Förderfunktion erweitert, wie die verschiedenen Novellierungen des Landesmediengesetzes (LMedienG) bis heute belegen. Zu diesen Funktionserweiterungen sah sich der Gesetzgeber auf Grund der dynamischen Entwicklung der Medienlandschaft veranlasst. Mit der Novelle des LMedienG im Jahr 1999 wurden der LFK insbesondere folgende neuen Aufgaben zugewiesen:
Im Bereich der Zulassungs- und Aufsichtsfunktion:- Ausschreibung und Lizenzierung eines privaten Jugendradios
- Möglichkeit der Lizenzierung von Veranstaltern ohne Kapazitätszuweisung (sog. Führerscheinprinzip)
- Zuweisung von Übertragungsmöglichkeiten auf Basis des sog. Must-Carry-Modells
Im Bereich der Förderungen:
Die LFK hat im Wesentlichen die Aufgabe, bei der Umsetzung der dualen Rundfunkordnung mitzuwirken und diese zu sichern. Dadurch dient sie der Rundfunkfreiheit der Programmveranstalter, ohne jedoch selbst Veranstalter zu sein. Im Rahmen ihrer Aufsichts- und Zulassungsfunktion hat die LFK z. B. im Jahr 2003 drei regionale und 13 lokale Hörfunkveranstalter lizenziert. Darüber hinaus hat sie auch 16 Programmanbieter zugelassen, die nichtkommerziell Rundfunk sowie sog. Lernradios betreiben. In 37 Fällen wurden Veranstalter ohne Kapazitätszuweisung (Medienführerscheine) zugelassen. Beim Fernsehen hat sich die LFK neben der Programmaufsicht hauptsächlich mit der Zulassung lokaler Fernsehsender zu befassen. Ferner fördert die Anstalt
- die technische Infrastruktur zur Versorgung des Landes,
- Formen der nicht kommerziellen Veranstaltung von lokalem und regionalem Rundfunk,
- Projekte für neuartige Rundfunkübertragungstechniken und
- Projekte zur Entwicklung von Medienkompetenz einschließlich entsprechender Aus- und Fortbildungsmaßnahmen.
2 Das Finanzierungssystem
Zur Wahrnehmung ihrer Aufgaben erhält die LFK heute Mittel aus dem Aufkommen der Rundfunkgebühren. Seit 1988 bekommt die LFK keine Zuwendungen mehr aus dem Landeshaushalt, sondern ist mit einem prozentualen Anteil am Aufkommen der einheitlichen Rundfunkgebühr beteiligt. Rechtsgrundlage für diese Finanzierungsform ist § 40 Abs. 1 Rundfunkstaatsvertrag (RStV). Mit dieser Vorschrift sanktioniert der RStV die Finanzierung der Aufgaben, die der LFK entsprechend den Vorgaben des RStV durch das LMedienG übertragen sind.
Zurzeit beträgt der prozentuale Anteil 0,94 % an der einheitlichen Rundfunkgebühr, der der LFK unmittelbar zufließt. Auf diesen Wert hat sich der zunächst in § 40 Abs. 1 RStV vorgesehene Anteil von 2 % vermindert, da der Landesgesetzgeber von seiner staatsvertraglichen Befugnis ausgehend nach § 47 Abs. 2 und 3 LMedienG einen Vorwegabzug zu Gunsten des Südwestrundfunks (SWR) in Höhe von 53 % des 2 %-Anteils festgelegt hat.
Danach erhält der SWR jährlich 1,06 % des Gebührenaufkommens, mindestens 6,7 Mio. € vorab, wovon er mindestens 3,6 Mio. € zur Filmförderung über die MFG Medien- und Filmgesellschaft Baden-Württemberg mbH (MFG) und mindestens 3,1 Mio. € zur Förderung künstlerischer Veranstaltungen einzusetzen hat.
Die LFK war allein im Jahr 2001 mit rd. 7,8 Mio. € am Gebührenaufkommen beteiligt.
Die Übersicht 1 zeigt die Entwicklung der Rundfunkgebührenanteile, die der LFK verbleiben.

Die Koppelung der Einnahmen der Landesmedienanstalten an die Rundfunkgebühren hatte bei der LFK zur Folge, dass ihr ohne Rücksicht auf ihre Kostenentwicklung erhebliche Mehreinnahmen zur Verfügung stehen.
Die Erhöhung der Rundfunkgebühren zum 01.01.1997 um 18 % hatte rd. 1,3 Mio. € (23 %) Mehreinnahmen bei der LFK zur Folge. Diese wurden vorwiegend zur Bildung einer DAB/DVB-Rücklage (s. Pkt. 3.4.3) verwendet. Mit diesen Mitteln sollten die privaten Rundfunkveranstalter beim Einstieg in den Regelbetrieb der digitalen Verbreitungstechnik unterstützt werden. In den Folgejahren wurden die Mittel überwiegend zur Erhöhung der Fördermittel für andere Zwecke eingesetzt.
Die Erhöhung der Rundfunkgebühren zum 01.01.2001 um 11 % hatte trotz Anhebung des Vorwegabzugs zu Gunsten des SWR Mehreinnahmen von rd. 0,4 Mio. € (6 %) zur Folge. Diese Mehreinnahmen waren in Höhe von 0,25 Mio. € für den auf die LFK entfallenden Anteil am Stiftungskapital sowie für Projekte der Stiftung „Medienkompetenzforum Südwest“ (MKFS) vorgesehen. Die Landeszentrale für private Rundfunkveranstalter Rheinland-Pfalz (LPR), der SWR und die LFK hatten diese im Jahr 2001 gegründet. Der Gesamtanteil der LFK am Stiftungsvermögen beträgt 639.000 €, nach dem Vertrag über die Errichtung der MKFS zahlbar bis spätestens 2005. Entsprechend dem Beschluss ihrer Gremien sollte die LFK das von ihr zu leistende Stiftungskapital in fünf Raten zu je 128.000 € in den Jahren 2001 bis 2005 erbringen. Bis Ende 2002 war es der LFK möglich, bereits vier Raten ihrer Zahlungsverpflichtung weit vor Fälligkeit erfüllen.
Die Mittel aus der Erhöhung der Rundfunkgebühren dienten somit vorwiegend der Finanzierung besonderer Aufgaben nach § 47 Abs. 1 Satz 2 LMedienG.
3 Die Entwicklung der Finanzlage
3.1 Von den ihr jährlich zufließenden Gebührenanteilen verwendete die LFK im Jahr 2001 rd. 34 % für die Wahrnehmung ihrer Zulassungs- und Aufsichtsfunktionen. Die restlichen 66 % verwendete die Anstalt auf Grund besonderer landesgesetzlicher Ermächtigung nach § 47 Abs. 1 Satz 2 LMedienG zur Förderung
- der technischen Infrastruktur zur Versorgung Baden-Württembergs (befristet bis 31.12.2004),
- von Projekten für neuartige Rundfunkübertragungstechniken (befristet bis 31.12.2004),
- von Formen nichtkommerziellen lokalen und regionalen Rundfunks,
- von Projekten zur Förderung der Medienkompetenz einschließlich entsprechender Aus- und Fortbildungsmaßnahmen.
3.2 Die LFK hatte im Prüfungszeitraum stets einen auffallend hohen Bestand an finanziellen Mitteln. Übersicht 2 zeigt, wie sich die zum Jahresende vorhandenen Mittel und die daraus erzielten Zinseinnahmen entwickelten.

3.3 Die vierteljährlich zufließenden Einnahmen aus Rundfunkgebühren führen auch unterjährig stets zu einer hohen Liquidität. Die LFK hatte die nicht sofort benötigten - aber beträchtlichen - Mittel aus diesen Einnahmen stets als Festgelder angelegt. Im Jahr 2001 betrugen die hieraus kurzfristig angelegten Festgelder am jeweiligen Monatsende durchschnittlich rd. 2 Mio. €.
3.4 Nach § 46 Abs. 2 Satz 2 LMedienG besteht für die LFK die Möglichkeit, im Haushaltsplan Rücklagen zu bilden, soweit und solange dies zu einer wirtschaftlichen und sparsamen Aufgabenerfüllung für bestimmte Maßnahmen erforderlich ist, die nicht aus den Mitteln eines Hj. finanziert werden können. Auch infolge der guten Ertragsseite hatte die LFK in der Vergangenheit Rücklagen gebildet. Die Mittel aus den Rücklagen sind in nahezu vollständiger Höhe als Festgelder angelegt. Die hieraus erzielten Zinseinnahmen verbesserten die Liquidität der LFK zusätzlich in erheblichem Maße.
3.4.1 Da der LFK die Dienstherrenfähigkeit übertragen ist (vgl. § 29 Abs. 3 LMedienG), obliegt ihr damit auch die künftige Versorgung ihrer Beamten. Im Rahmen der letzten Prüfung hielt es der RH bei gebotener wirtschaftlicher Betrachtungsweise und der damit verbundenen Forderung nach Vorsorge für künftige Pensionszahlungen für erforderlich, ausreichend Rücklagen zu bilden. Die LFK ist dieser Anregung nachgekommen und hat von einem Sachverständigen nach versicherungsmathematischen Grundsätzen unter Berücksichtigung der beamtenrechtlichen Versorgungsregelungen und der handelsrechtlich üblichen Bewertungsgrundsätze die erforderliche Höhe einer entsprechenden Rücklage ermitteln lassen. Die danach gebildete Rücklage entspricht den gestellten Anforderungen.
3.4.2 Einer Empfehlung des RH im Rahmen der letzten Prüfung folgend, bildete die LFK eine Rücklage für Ersatzinvestitionen im Bereich DV-Ausstattung einschließlich Messwagen vor dem Hintergrund, dass bei einer relativ kleinen Anstalt wie der LFK die Höhe der Gesamtausgaben teilweise hohen Schwankungen unterliegen würde. Der RH war bei seiner Empfehlung von einer am Bedarf orientierten Finanzierung der LFK ausgegangen. Durch die Rücklage sollten die bei größeren Investitionen entstehenden Belastungen eines Hj. abgefedert werden. Zum damaligen Zeitpunkt standen Ersatzinvestitionen im DV-Bereich an.
Diese Rücklage entwickelte sich wie in Übersicht 3 dargestellt.

In Anbetracht der tatsächlich nur geringen finanziellen Belastung durch die Anschaffungen ist fraglich, ob die Bildung einer Rücklage für Ersatzbeschaffungen im DV-Bereich erforderlich ist. Mit Ausnahme des Jahres 1998, als der Großteil der Rücklagenentnahme für die Ersatzbeschaffung eines Rechnersystems für die Versorgungsberechnung im Bereich UKW ausgegeben wurden (53.000 €), sind die Ausgaben gering, sodass Mittel für Ersatzbeschaffungen in dieser Höhe jederzeit ohne große Belastung aus dem laufenden Haushalt hätten finanziert werden können.
Auch das Vorhalten von Finanzmitteln für eine zukünftige Ersatzbeschaffung des Messwagens (im Jahr 2001 in Höhe von rd. 400.000 €, im obigen Betrag enthalten) ist nicht erforderlich, da der RH hierfür keinen Bedarf sieht. Tatsächlich wurden in den vergangenen Jahren mit diesem jährlich bis zu höchstens 15 Messfahrten durchgeführt. Im Vordergrund standen dabei Versorgungsmessungen im UKW-Bereich sowie die Suche nach neuen Senderstandorten. Solche Dienstleistungen könnten dann auch von Dritten auf dem freien Markt zu günstigen Preisen bezogen werden.
3.4.3 Für die Entwicklung und die technische Realisierung des ab 1999 vorgesehenen Regelbetriebs der digitalen Verbreitung von Rundfunk in Form von „Digital Audio Broadcasting“ (DAB) für den Hörfunk und mittels „Digital Video Broadcasting“ (DVB) für das Fernsehen sah die LFK ab 1997 einen besonderen Finanzbedarf. Nach Einschätzung der LFK würden die dafür notwendigen Investitionen in den Jahre 1998 und 1999 einen Umfang annehmen, der aus dem laufenden Haushalt nicht hätte gedeckt werden können. Zur Finanzierung dieser anstehenden Investitionen wurde daher im Nachtragshaushaltsplan 1997 eine Rücklage zunächst in Höhe von rd. 1 Mio. € gebildet.
Im Jahr 1998 wurden weitere Mittel in Höhe von rd. 300.000 € der Rücklage zugeführt, weil man infolge der Investitionen für die digitale Verbreitung mit höheren Aufwendungen zur Finanzierung des Sendebetriebs rechnete. Die Rücklage sollte dann insbesondere zur Finanzierung der Signalzuführung und der Senderkosten verwendet werden.
Spätestens im Jahr 2000 war erkennbar, dass die Rücklage für die ursprünglich gedachten Zwecke nicht benötigt werden würde. Bis heute war ein Rückgriff auf die Mittel der Rücklage nicht erforderlich. Geplant ist lt. mittelfristiger Finanzplanung 2002 bis 2006 die Verwendung der vorhandenen Mittel in Höhe von 1,35 Mio. € ab dem Jahr 2003 bis einschließlich 2007. Jährlich sollen maximal 400.000 € verwendet werden.
Das Gebot der sparsamen und wirtschaftlichen Mittelverwendung hätte zur Auflösung der Rücklage und zu einer entsprechenden Rückführung der Mittel führen müssen.
3.5 Soweit die LFK den ihr zustehenden Anteil an den Rundfunkgebühren nicht in Anspruch nimmt, muss sie den überschießenden Teil nach § 47 Abs. 4 LMedienG an den SWR abführen. Zuletzt hatte die LFK im Jahr 1998 einen Teil des im Jahr 1997 erzielten Überschusses an den SWR abgeführt. In den Folgejahren erwirtschaftete sie - nicht zuletzt auch wegen der Rücklagenbildung - keine rechnungsmäßigen Überschüsse mehr, sodass eine Weiterleitung von Rundfunkgebühren an den SWR unterblieb. Bei der Betrachtung der überschusslosen Jahresergebnisse ist allerdings zu berücksichtigen, dass die LFK in jedem Hj. neben den Zuführungen zu den Rücklagen in erheblichem Umfang überschussmindernde Ausgabereste gebildet hat.
3.5.1 Die Höhe der zum jeweiligen Jahresende insgesamt bestehenden Ausgabereste betrug allein im Jahr 2001 rd. 1,7 Mio. €.

Die Bildung von Ausgaberesten wirkt sich durch die Bindung von Haushaltsmitteln unmittelbar auf das Jahresergebnis der LFK aus. Da für die Haushalts- und Wirtschaftsführung der LFK die Vorschriften der LHO gelten, darf die Bildung von Ausgaberesten nur nach Maßgabe des Haushaltsrechts erfolgen.
Für die Bildung von Ausgaberesten ist Voraussetzung, dass die Übertragbarkeit der Mittel eine wirtschaftliche und sparsame Verwendung fördert. Es muss sich also um Beträge handeln, bei denen im Zeitpunkt der Veranschlagung zwar ihre Notwendigkeit feststeht, bei denen sich aber nicht genau überblicken lässt, ob sie im laufenden Hj. oder erst später abfließen werden. Dies ist insbesondere dann der Fall, wenn bereits Zahlungsverpflichtungen eingegangen worden sind.
Den Mitteln aus der Übertragung der Ausgabereste stehen nur teilweise konkrete Verpflichtungen gegenüber. In vielen Fällen ist die geplante Verwendung durch die LFK nur unbestimmt dargestellt. Zwar scheidet die Bildung von Ausgaberesten nicht von vornherein aus, jedoch ist der Voraussetzung, wonach die Übertragung der Mittel eine wirtschaftliche und sparsame Verwendung fördern muss, zu entnehmen, dass die Bildung von Ausgaberesten die Ausnahme und nicht die Regel sein soll. Bereits der Haushaltsausschuss des Medienrats der LFK hatte sich kritisch mit der Bildung von Haushaltsresten befasst und angeregt, diese Mittel zu reduzieren. Nach Auskunft der LFK soll dies im Jahr 2002 auch in Höhe von rd. 400.000 € erfolgt sein.
3.5.2 In Einzelfällen führte die Bildung von Haushaltsresten dazu, dass der LFK über Jahre hinweg hohe finanzielle Mittel zur Verfügung standen, die bis heute keiner Verwendung zugeführt wurden. So sind beispielweise im Haushaltstitel 682 75 die voraussichtlichen Ausgaben veranschlagt, um die Zuführungs- und Verbreitungskosten kommerzieller Veranstalter für analogen Hörfunk, analoges Fernsehen und digitalen Hörfunk (UKW, VHF, DAB) zu finanzieren. In den Erläuterungen im Haushaltsplan sind die für die einzelnen Sendeformen voraussichtlich benötigten Mittel separat dargestellt. In Höhe der am Jahresende nicht verbrauchten Mittel bildete die LFK Ausgabereste, s. Übersicht 5.

Die Ausgabereste sollten ab 1998 vorwiegend zur Finanzierung der Signalzuführung und der Senderkosten im Rahmen des DAB-Regelbetriebs verwendet werden. Für den gleichen Zweck hatte die LFK darüber hinaus auch Rücklagen gebildet (s. Pkt. 3.4.3). Die überschießenden Mittel aus diesem Haushaltsansatz blieben der LFK so über die Jahre insgesamt erhalten.
3.5.3 Das tatsächliche Vorgehen bei der Bildung von Haushaltsresten zeigt, dass die LFK im Rahmen ihrer Aufgabenerledigung immer noch aus dem Vollen schöpfen kann. Dies ist vorwiegend auf die nicht bedarfsangepasste Finanzierung der Landesmedienanstalten durch die Rundfunkgebühren zurückzuführen. Durch die Anlage der finanziell nicht benötigten Mittel aus den Ausgaberesten als Festgelder stehen der LFK weitere erhebliche Haushaltsmittel aus Zinseinnahmen zur Verfügung. Der RH empfiehlt, künftig strengere Kriterien bei der Bildung von Ausgaberesten anzulegen. Die Möglichkeit der Übertragung von Mitteln in das Folgejahr sollte die Ausnahme und auf konkrete Verpflichtungen beschränkt bleiben und nicht zur Regel werden.
4 Entwicklung von Organisation und Personal
4.1 Auf Grund der Empfehlung, die der RH im Rahmen seiner letzten Prüfung (vgl. Denkschrift 1995, Nr. 4, S. 24) ausgesprochen hatte, reduzierte die Anstalt die Anzahl ihrer Abteilungen von vier auf drei. Der RH hatte damals festgestellt, dass die kleinräumige interne Aufteilung der LFK in vier Abteilungen nach organisatorischen Grundsätzen nicht zweckmäßig und auf Grund der relativ vielen Spitzenstellen zu aufwändig sei.
Die Organisationspläne der Jahre 1996, 1997 und 1998 sahen nur noch drei Abteilungen vor. Noch im Geschäftsbericht für das Jahr 1997 berichtete die LFK, diese Bündelung der Organisationsstruktur von vier auf drei Abteilungen habe sich in der Praxis bewährt. Nach Rückkehr einer beurlaubten Beamtin kehrte man im Jahr 1999 im Wesentlichen faktisch zur ursprünglichen Aufgabenwahrnehmung durch vier Organisationseinheiten zurück. Damit wurde letztlich der Zustand geschaffen, wie er vor den Empfehlungen des RH im Jahr 1995 bestand.
4.2 Der Personalbestand der Landesanstalt für Kommunikation (besetzte Stellen) entwickelte sich lt. Übersicht 6.

Erstmals ab 1997 veranschlagte die LFK Entgelte für befristet Beschäftigte zur personellen Unterstützung der Projekte DAB und DVB. Die LFK sah sich nicht in der Lage, die Betreuung dieses Projekts mit ihrem vorhandenen technischen Personal aufzufangen.
4.3 In der Denkschrift 1995 (a.a.O.) stellte der RH eine Leitungsspanne von 1 : 2 fest. Er regte an, die LFK möge sich um eine Änderung ihrer Personalstruktur bemühen, auch wenn diese Änderung nicht kurzfristig durchführbar und nur im Rahmen der Fluktuation möglich wäre.
Bis heute hat sich nichts geändert, obwohl im Rahmen der Personalfluktuation eine Anhebung des Personalbestands zu Gunsten des gehobenen Dienstes oder vergleichbarer Verg.Gr. durchaus möglich gewesen wäre. Die Personalstruktur stellt sich im Jahr 2001 entsprechend Übersicht 7 dar.

Insbesondere im Verhältnis zu den anderen Landesmedienanstalten rangiert die LFK mit ihrem Anteil von 56 % höherer Dienst immer noch in einer Spitzenposition. Bei den anderen Landesmedienanstalten liegt der durchschnittliche Anteil des höheren Dienstes bei rd. 35 %. Nur bei der Bayerischen Landesmedienanstalt (BLM) ist ein höherer Anteil des höheren Dienstes zu verzeichnen, der letztlich jedoch auf einen anderen landesrechtlich vorgegebenen Aufgabenbestand zurückzuführen ist. Danach ist die BLM auch Rundfunkveranstalter.
4.4 Die Personalausgaben betrugen 2001 rd. 1,4 Mio. €. Sie beanspruchten 17 % der Einnahmen aus den Rundfunkgebühren; dieser Anteil hat sich seit 1995 merklich gesteigert.

Die Personalausgaben können sich zukünftig allein dadurch weiter erhöhen, dass die LFK den Spielraum nutzt, der ihr auf Grund der jüngsten Novellierung des LMedienG eingeräumt wurde.
Auf Grund der aktuellen Änderung des LMedienG vom 04.02.2003 (GBl. S. 108) ist das bisher in § 40 Abs. 4 LMedienG normierte Besserstellungsverbot dergestalt geändert worden, dass künftig die Rechtsverhältnisse der Beamten, Angestellten und Arbeiter sich nach den Vorschriften, die für Beschäftigte im Landesdienst gelten, bestimmen, soweit der Vorstand im Benehmen mit dem StM keine anderweitige Bestimmung trifft. Ausgehend von dieser gesetzlichen Flexibilisierung hat die LFK bei der Aufstellung des Haushaltsplans für das Jahr 2003 einen modifizierten Stellenplan als Basis eines geplanten flexibleren Vergütungssystems erstellt. Dieser Stellenplan knüpft an das bisherige Tarifniveau und die bestehenden Strukturen an. Im Gegensatz zu den Stellenplänen des Vorjahres werden Entwicklungsmöglichkeiten der einzelnen Stellen aufgezeigt. Danach ist die Möglichkeit vorgesehen, nahezu jede Stelle hinsichtlich der Bes.Gr./Verg.Gr. um mindestens eine Stufe, teilweise gar zwei Stufen zu heben, wie ein Vergleich der bisherigen Personalstellenbewertung der LFK bis zum Jahr 2002 mit den künftig bestehenden Entwicklungsmöglichkeiten lt. Stellenplan für das Jahr 2003 ergibt. Diese Verbesserungen sollen sowohl für den Bereich der Beamten als auch der Angestellten gelten. Bei voller Ausnutzung der geplanten Entwicklungsmöglichkeiten durch Beförderungen, Höhergruppierungen und die Gewährung von Zulagen belaufen sich die möglichen finanziellen Mehrbelastungen auf über 170.000 € je Jahr.
5 Die Entwicklung der Förderung
5.1 In mehreren Schritten hat der Gesetzgeber den Aufgabenkreis der LFK im Hinblick auf die Zulässigkeit von Fördermaßnahmen erweitert. So sollten den Landesmedienanstalten ursprünglich Mittel aus einem Anteil an den Rundfunkgebühren zur Finanzierung ihrer Zulassungs- und Aufsichtsfunktion und der Förderung der technischen Infrastruktur zur Verfügung stehen. Da das hieraus zur Verfügung gestellte Finanzvolumen jedoch höher war, wurden die Förderaufgaben im Jahr 1995 und 1999 erweitert. Danach konnten die den Landesmedienanstalten zustehenden Mittel ab 1995 auch zur Förderung von Formen der nichtkommerziellen Veranstaltung von lokalem und regionalem Rundfunk sowie der Förderung von Projekten für neuartige Rundfunkübertragungstechniken und ab 1999 zur Förderung von Projekten zur Förderung der Medienkompetenz eingesetzt werden.
5.2 Die LFK verwendet die ihr aus den Rundfunk- und Verwaltungsgebühreneinnahmen zur Verfügung stehenden Mittel nur zu einem Drittel für die ihr ursprünglich obliegende Aufgabe der Zulassung der privaten Rundfunkveranstalter und der Aufsicht über sie (s. Pkt. 3). Die Ausgaben umfassen die dafür notwendigen planerischen und insbesondere technischen Vorarbeiten. Im Bereich der Förderungen beschränken sich die dargestellten Beträge auf die Auszahlung von Fördermitteln. Nicht berücksichtigt ist der hierfür erforderliche Personal- und Sachaufwand, der für diese Aufgabe vom Personal der LFK zu leisten ist. Da die LFK keine Kostenstellenrechnung führt, kann insoweit keine sachgerechte Zuordnung der Kosten vorgenommen werden. Die Ausgaben für die einzelnen Förderbereiche sind in Übersicht 9 dargestellt.

5.3 Bei der näheren Betrachtung einzelner Förderbereiche fällt auf, dass die LFK immer noch Förderungen ohne Prüfung einer Bedürftigkeit des Begünstigten gewährt.
Die Förderung der technischen Infrastruktur hat die LFK zwar sukzessive zurückgenommen; sie erfolgt jedoch immer noch losgelöst von der Bedürftigkeit des Empfängers. So kamen zunächst bis 1994 alle privaten Veranstalter in den Genuss der Übernahme von 100 % der Sender- und Leitungskosten. Ab 1995 wurde diese Förderung auf die Senderkosten beschränkt. Die LFK übernahm die Kosten der privaten Veranstalter mit einer durchschnittlichen Förderquote von 53 %. Ab dem Jahr 1996 wurde der Kreis der mittelbar begünstigten Veranstalter auf die Lokalsender beschränkt. Gleichzeitig wurde das Verfahren der Kostenübernahme geändert.
Die durchschnittliche Quote der Kostenübernahme je Jahr betrug in der Folgezeit zwischen 68 % (Jahr 1996) und 54 % (Jahr 2001) der monatlichen Senderkosten. Dabei profitierten die privaten Rundfunkveranstalter höchst unterschiedlich von der Kostenübernahme durch die LFK; die Vergünstigungen reichen von 36 bis 100 % der den Veranstaltern in Rechnung gestellten Kosten. Die Höhe der Förderung orientiert sich nach Angaben der LFK auch am Kriterium der technisch möglichen Reichweite (= Kosten zur Versorgung von 1.000 Einwohner). Eine Prüfung der Bedürftigkeit, wie sie der RH bereits im Rahmen seiner letzten Prüfung gefordert hatte, sei daher nicht weiter erforderlich gewesen und wurde demzufolge auch nicht durchgeführt.
Auch wenn die aktuell gültigen Förderrichtlinien vorsehen, die Förderung sukzessive zurückzufahren, hält der RH eine Prüfung der Förderbedürftigkeit nach wie vor für geboten. Nach § 23 LHO, der im Rahmen der Haushalts- und Wirtschaftführung von der LFK entsprechend anzuwenden ist, dürfen Zuwendungen nur veranschlagt und ausgereicht werden, wenn für die Zwecke, für die eine Zuwendung ausgereicht wird, ein erhebliches Interesse besteht, das ohne die Zuwendung nicht oder nicht im notwendigen Umfange befriedigt werden kann. Alleine allgemeine Erkenntnisse - wie sie die LFK zu Grunde legt - sind nicht geeignet, auf eine mangelhafte Leistungsfähigkeit der privaten Rundfunkveranstalter zu schließen.
6 Organisatorische Weiterentwicklung der Medienaufsicht im Südwesten
6.1 Die LFK arbeitet bei einzelnen Projekten sowohl mit verschiedenen Einrichtungen als auch mit anderen Landesmedienanstalten zusammen. Insbesondere mit der Landesanstalt für privaten Rundfunk Rheinland-Pfalz (LPR) bestehen heute schon in Teilbereichen enge Verflechtungen. Teilweise wurden auch gemeinsam mit dem SWR Projekte initiiert. Das Engagement der LFK in speziell diesen Projekten ist unterschiedlich. Teilweise handelt es sich nur um solche finanzieller Art, teilweise liefert die LFK auch Daten und Fachkompetenz für das jeweilige Projekt. Derzeit werden insbesondere folgende gemeinsame Projekte durchgeführt:
6.1.1 Medienpädagogischer Forschungsverbund Südwest
Der Medienpädagogischer Forschungsverbund Südwest (MpFS) ist ein seit dem Jahr 1995 bestehendes Kooperationsprojekt zwischen der LFK, der LPR und dem SWR. Dem Forschungsverbund ging ein Kooperationsprojekt zwischen SWF und LFK für eine gemeinsame medienpädagogische Aufklärungskampagne voraus. Der MpFS hat sich die Aufgabe gestellt, aktuelle Daten zur medienpädagogischen Diskussion zur Verfügung zu stellen, Materialien zum Thema „Umgang mit Medien“ zu dokumentieren und Vorschläge zu erarbeiten, die zu einem bewussten Umgang mit den Medien beitragen können. Er führt hierzu kontinuierlich Studien zum Medienverhalten von Kindern und Jugendlichen durch. Darüber hinaus werden weitere Studien initiiert.
6.1.2 Mediendaten Südwest
Das Projekt Mediendaten Südwest ist als Internet-Angebot konzipiert und soll einen aktuellen Überblick über das Medienangebot und die Mediennutzung in Baden-Württemberg, Rheinland-Pfalz und dem Saarland geben. Neben dem Internet-Angebot wird die Broschüre „Basisdaten Medien“ veröffentlicht. Ursprünglich hatte der Südwestfunk (Vorgängeranstalt des SWR) im Jahr 1996 mit dem Projekt begonnen. Als Partner fanden sich zunächst die Landeszentrale für politische Bildung und die MFG. Im Jahr 1998 beteiligten sich die LFK und die LPR als Kooperationspartner. Als weiterer Partner trat zwischenzeitlich der Saarländische Rundfunk der Kooperation bei. Die Federführung des Projekts liegt beim SWR.
6.1.3 Medienrezeption
Das Internet-Projekt „Medienrezeption“ ist vorwiegend ein Datenbankangebot und liefert allgemeine Informationen, Forschungsergebnisse und Informationen über Literatur und Tagungen zum Thema Medienrezeption. Es werden jährlich Foren über bestimmte medienbezogene Themen abgehalten. Projektpartner sind neben LFK, LPR und dem SWR die Landesanstalt für Medien Nordrhein-Westfalen und die Zeitungs- und Marketinggesellschaft.
6.1.4 Stiftung Medienkompetenzforum Südwest
Die Stiftung Medienkompetenzforum Südwest (MKFS) wurde im Jahr 2001 gemeinsam von LPR, dem SWR und der LFK mit dem Ziel gegründet, die Medienkompetenz zu fördern. Die Stiftung soll die Arbeit der Beteiligten in diesem Bereich bündeln und auf eine langfristige Basis stellen.
6.2 Auch wenn neben der LFK, der LPR und dem SWR andere Partner an den Projekten beteiligt sind, zeigt sich eine enge Verbundenheit gerade dieser südwestdeutschen Partner. Insbesondere bei der MKFS tritt diese Verbundenheit stark durch den Bündelungsgedanken zu Tage. Der RH geht davon aus, dass zukünftig medienkompetenzfördernden Projekte der LFK und der LPR über die MKFS abgewickelt werden. Auch wenn die Mitglieder der Stiftung nicht nur finanzielle, sondern auch über die Gremienarbeit personelle Leistungen erbringen, ist zu erwarten, dass die gemeinsame Aufgabenerledigung durch die MKFS zu Entlastungen finanzieller und personeller Art bei den Landesmedienanstalten führen wird.
Durch verstärkte Zusammenarbeit wie auch durch Schaffung neuer Strukturen könnte die Medienaufsicht wirtschaftlicher und somit kostengünstiger erfolgen. Die Fusion der beiden öffentlich-rechtlichen Rundfunkanstalten, die die Länder Rheinland-Pfalz und Baden-Württemberg versorgten, belegt, dass durch sie erhebliche wirtschaftliche Synergien freigesetzt werden können.
7 Bewertung und Empfehlungen
7.1 Die LFK verfügt trotz der vom Gesetzgeber vorgenommenen Modifikation des Finanzierungssystems und ihres Aufgabenbestandes weiterhin über ein Finanzvolumen, das den Finanzbedarf der Anstalt übersteigt. Im Rahmen der Änderungen des LMedienG in den Jahren 1995 und 2001 wurde der Anteil der LFK an der einheitlichen Rundfunkgebühr erheblich gekürzt. Trotzdem verblieben der LFK mehr als ausreichend Mittel, um ihren gesetzlichen Auftrag zu erfüllen. Weiterhin trug die Ausnutzung haushaltsrechtlicher Möglichkeiten zur guten Finanzausstattung der LFK bei. Der RStV sollte nach Ansicht des RH entsprechend den bestehenden politischen Absichtserklärungen so geändert werden, dass die Finanzierung der Landesmedienanstalten und damit auch der LFK ohne automatische Teilhabe an den Erhöhungen der Rundfunkgebühren gesichert wird.
7.2 Der LFK stand insbesondere durch die oben genannten Gestaltungen ab dem Jahr 1997 mehr Personal dauerhaft zur Verfügung, als im Stellenplan erkennbar war. Auch erscheint im Vergleich zu den anderen Landesmedienanstalten der Anteil der Bediensteten des höheren Dienstes immer noch als zu hoch. Infolge der von der LFK nach der Neufassung des LMedienG im Stellenplan ausgewiesenen Entwicklungsmöglichkeiten könnte sich das Verhältnis noch weiter zu Gunsten des höheren Dienstes verschieben. Danach wären von 21 ausgewiesenen Stellen nur noch 7 Stellen dem mittleren und gehobenen Dienst zuzurechnen. Dies entspräche beim höheren Dienst einem Anteil von 67 % am gesamten Personal der Anstalt. In Anbetracht der Tatsache, dass die LFK vorwiegend Aufgaben mittelbarer Staatsverwaltung erledigt, hält der RH diese Entwicklung weiterhin für nicht sachgerecht. Im Rahmen der Genehmigung des Haushaltes der LFK muss künftig hierauf verstärkt geachtet werden.
Bereits im Gesetzgebungsverfahren hatte der RH seine Bedenken vorgetragen, der LFK einen finanziellen Sonderstatus im Personalbereich durch Einräumung eines „Haustarifs“ zu geben. Er sieht sich durch die anstehende Personalplanung in seiner Kritik bestätigt, da die Personalkosten bei der LFK auf Grund der Gesetzesänderung entgegen dem sonstigen Entwicklungstrend für den öffentlichen Dienst sich weiter erhöhen werden. Hierdurch sind letztlich Fakten geschaffen worden, die sich bei einer zukünftigen Abkoppelung der Finanzierung von Erhöhungen der Rundfunkgebühren negativ auf die Gesamtsituation auswirken können. Durch eine solche Personalplanung könnten Mittel für Personalausgaben gebunden werden, die dann für andere Zwecke (z. B. auch für Förderungen) nicht mehr zur Verfügung stehen.
7.3 Für den Förderbereich hält es der RH im Hinblick auf die haushaltsrechtlichen Vorgaben, die auch für die LFK maßgebend sind, für geboten, dass sich die LFK bei ihrer Förderpraxis stärker an dem Kriterium der wirtschaftlichen Bedürftigkeit des Empfängers orientiert. In diesem Zusammenhang weist der RH nochmals auf die Regelungen des RStV und des LMedienG hin, die den Mitteleinsatz zur Förderung einer landesrechtlich gebotenen technischen Infrastruktur zulassen. Selbst nach der drastischen Minderung der ursprünglich für diesen Zweck vorgesehenen Mittel und der Änderung des Berechnungsmodus erfolgt weiterhin eine indirekte Förderung der Nutzer dieser Infrastruktur.
7.4 Der RH hält es im Interesse des wirtschaftlichen Umgangs mit öffentlichen Mitteln für geboten, die gemeinsame Aufgabenerledigung der Landesmedienanstalten zu forcieren und – bis hin zu einer länderübergreifenden Medienaufsicht in Südwestdeutschland – zu überdenken. Dafür spricht auch, dass die bisher automatische Teilhabe der Landesmedienanstalten an Erhöhungen der Rundfunkgebühr auf dem Prüfstand steht. Der RH verkennt dabei nicht, dass mit einer möglichen Fusion der Landesmedienanstalten mehrerer Länder der jeweilige medienpolitische Gestaltungsspielraum tangiert sein könnte.
So könnten in Folge einer möglichen Zusammenlegung beim Personalkörper der Landesmedienanstalten schlankere Strukturen geschaffen werden. In Landesmedienanstalten werden naturgemäß Ressourcen, wenn auch in unterschiedlicher Höhe bzw. Personalstärke, für die gleichen Aufgaben vorgehalten. Dazu zählt die technische, medienpädagogische sowie medienrechtliche Kompetenz, die im Rahmen einer Kompetenzbündelung effektiver genutzt werden könnte; hier ließen sich Einsparungen sowohl bei den Personal- als auch bei den Sachkosten erzielen. Ferner könnte die Schaffung gemeinsamer Organe dazu genutzt werden, eine Kompetenzbündelung sowohl in personeller als auch in fachlicher Hinsicht herzustellen. Im Übrigen ließen sich auch dadurch in finanzieller Hinsicht Einsparungen erzielen.
Aus einer gemeinsamen Struktur erzielbare Synergieeffekte kämen wohl zunächst vorrangig Projekten im Rahmen des § 47 Abs. 1 Satz 2 LMedienG und damit dem „Medienstandort Südwest“ zugute. Für die Dauer von drei Jahren würde sich nämlich nach § 10 Abs. 2 Rundfunkfinanzierungsstaatsvertrag am bisherigen Verteilmodus der Rundfunkgebühren nichts ändern.
Eine bessere Ausgangsbasis könnte in Bezug auf bundesweite Kooperationen geschaffen werden, wenn die Kompetenzen zweier Landesmedienanstalten stärker gebündelt werden. Auch käme eine solche Kompetenzbündelung den privaten Rundfunkveranstaltern zugute. Gegenüber der schon bestehenden Zwei-Länder-Anstalt SWR könnte die gemeinsame Positionierung den Wettbewerbsausgleich im dualen Rundfunksystem zwischen öffentlich-rechtlichem und privatem Rundfunk in den beteiligten Ländern verbessern. Dass eine Zusammenarbeit auch heute schon vorteilhaft ist, zeigt sich deutlich an den oben genannten Projekten.
8 Stellungnahme der Landesanstalt für Kommunikation
Die LFK sieht sich weder nach dem ihr gesetzlich zugewiesenen umfangreichen Zuständigkeitsbereich noch von der Art und Weise ihrer tatsächlichen Aufgabenerledigung mit anderen Einrichtungen der Landesverwaltung als vergleichbar an. Als eigenständige Anstalt des öffentlichen Rechts stehe ihr ein weitreichendes Selbstverwaltungsrecht zu. Die ihr obliegenden Aufgaben seien durch eine umfassende und äußerst weitreichende Gestaltungskompetenz im Rahmen der Sicherung der dualen Rundfunkordnung gekennzeichnet, die sowohl Rundfunknutzer wie auch Medienwirtschaft maßgeblich beeinflusse. Daher sei die Aussage des RH zu bezweifeln, wonach das Finanzvolumen der LFK ihren Finanzbedarf übersteige.
Insbesondere die vom RH geforderte Auflösung der Rücklagen sowie die Minderung der übertragbaren Ausgabereste wäre vor dem Hintergrund der geplanten Digitalisierung der Rundfunkübertragungstechnik nicht sachgerecht. Sowohl die in den Rücklagen gebundenen Mittel als auch die für diese Zwecke gebildeten Ausgabereste würden für die in diesem Zusammenhang anfallenden Kosten benötigt, bei weitem aber nicht ausreichen, den für die privaten Veranstalter erforderlichen Förderbedarf überhaupt zu gewährleisten.
Nach Auffassung der LFK verfügt sie über einen - insbesondere im Vergleich mit den anderen Landesmedienanstalten - relativ kleinen, dafür aber hochqualifizierten Personalkörper. Der Aufgabenbestand rechtfertige diese Personalstruktur mit einem relativ hohen Anteil der Bediensteten des höheren Dienstes. Insbesondere gebe es deshalb auch keine operative Ebene unterhalb der Planungsebene. Wäre dies der Fall, so wäre das Verhältnis höherer Dienst/gehobener Dienst durchaus vergleichbar. Die in diesem Zusammenhang aufgezeigte künftige Entwicklungsmöglichkeit des Personalkörpers der LFK sehe keine generelle Hebung aller Stellen vor; vielmehr schaffe der Stellenplan lediglich die erforderliche haushalts- und tarifrechtliche Grundlage und begründe keinen dahingehenden Automatismus. Ob und inwieweit tatsächliche eine Besserstellung erfolge, werde im konkreten Einzelfall einem Vorstandsbeschluss vorbehalten bleiben.
Im Rahmen der Förderung der technischen Infrastruktur habe die LFK gegenüber dem privaten Rundfunk eine Gewährleistungsaufgabe. Erst eine Förderung bringe in problematischen Fällen die Netzbetreiber dazu, überhaupt eine Versorgung aufzubauen, bzw. versetze diese in die Lage, den Veranstaltern angemessene Bedingungen anzubieten. Eine Bedarfsprüfung erfolge regelmäßig im Rahmen der Aufstellung des Haushaltsplans sowie bei der Fortschreibung der Förderrichtlinien.
Der LFK erschließe sich bezüglich einer Weiterentwicklung der Medienaufsicht im Südwesten nicht die Sichtweise des RH. Sie bezweifele, dass nach einer Fusion der Medienanstalten der beiden Länder Rheinland-Pfalz und Baden-Württemberg Synergien freigesetzt werden könnten. Dennoch bestehe kein falsches Autonomiedenken; sie selbst sei bestrebt, in vielen Bereichen Synergien zu schaffen oder gar zu intensivieren.
9 Schlussbemerkung
Der RH sieht auch in Anbetracht der Ausweitung des Aufgabenbestandes weiterhin nicht die Notwendigkeit für eine Finanzierung der LFK in der bisherigen Höhe.
Die von der LFK vorrangig genannten Gründe (vor allem die Digitalisierung des Hörfunks in Form von DAB), die eine weitere Vorhaltung von bisher angesammelten Mitteln rechtfertigen könnten, stehen inzwischen stark in der öffentlichen Kritik, weil sich diese Technik trotz erheblichem Einsatz öffentlicher Mittel bis heute nicht durchsetzen konnte. Vor diesem Hintergrund erscheint es eher zweifelhaft, ob es sachgerecht ist, diese Projekte überhaupt weiterhin aus Rundfunkgebühren zu finanzieren.
Da auch die Personalkosten den Finanzierungsrahmen der LFK deutlich beeinflussen, hält es der RH für erforderlich, alle diesbezüglich vorhandenen Möglichkeiten für einen sparsamen und wirtschaftlichen Einsatz dieser Mittel auszuschöpfen. Ob die aktuelle Änderung des LMedienG dazu beiträgt, bezweifelt der RH nach wie vor.
Der RH hält es weiterhin für unbedingt erforderlich, bei der Vergabe von Fördermitteln, die insbesondere privaten Rundfunkveranstaltern - direkt oder indirekt - zu Gute kommen sollen, auf das Erfordernis der Bedürftigkeit Wert zu legen. Eine Bedarfsprüfung im Rahmen der Aufstellung des Haushaltsplans, orientiert an nur allgemeinen Erkenntnissen, kann eine solche Prüfung nicht ersetzen. Soweit die LFK in ihrer Aufgabe auch eine Gewährleistungsaufgabe gegenüber dem privaten Rundfunk sieht, darf dies nach Auffassung des RH nicht dazu führen, dass die LFK sich als Wirtschaftsförderinstitut der privaten Rundfunkveranstalter sieht. Auch wenn in der amtlichen Begründung zu § 29 Abs. 1 RStV 1991 Zahlungen an Dritte (z. B. Sendernetzbetreiber), die den privaten Veranstaltern infolge einer Senkung der in Rechnung gestellten Nutzungsgebühren mittelbar zugute kommen, nicht ausgeschlossen werden, hält der RH diese Art der Förderung - im Sinne einer indirekten Wirtschaftsförderung - weiterhin nicht für sachgerecht; insbesondere wenn sie zu einer Dauersubventionierung führt und nicht nur eine Anschubfinanzierung bezweckt. Vielmehr müssten evtl. wirtschaftliche Probleme der Veranstalter bei einem Wegfall dieser Art der Förderung bei der Planung und Zuweisung der Verbreitungsgebiete Berücksichtigung finden. Vor diesem Hintergrund hält der RH es für erforderlich, die Förderung einer landesrechtlich gebotenen Infrastruktur durch Übernahme von Sender- und Leitungskosten insgesamt zu überdenken.
Insbesondere hält der RH weitere Maßnahmen zur organisatorischen Optimierung der Zusammenarbeit der Landesmedienanstalten von Baden-Württemberg und Rheinland-Pfalz für geboten. Im Hinblick auf die nicht unerheblichen Kosten zweier Anstalten sollte ein effektiverer Einsatz der zur Finanzierung zur Verfügung stehenden Rundfunkgebühren im Vordergrund stehen.
Anhänge
Die im Ländervergleich überdurchschnittlichen Aufwendungen des Landes für seine Vertretungen beim Bund und bei der Europäischen Union sind im Staatshaushaltsplan nicht transparent ausgewiesen. Bei der Gästeunterbringung und der Durchführung von Veranstaltungen bestehen Wirtschaftlichkeitsreserven. Die Abwicklung des Zahlungsverkehrs wies erhebliche Mängel auf.
1 Ausgangslage
Die Vertretung des Landes Baden-Württemberg beim Bund (Lv beim Bund) hat insbesondere die Aufgabe, die Bundesratsarbeit des Landes zu koordinieren, an der Gesetzgebungs- und Verordnungstätigkeit des Bundes mitzuwirken, das Land am Sitz des Deutschen Bundestages und der Bundesregierung zu repräsentieren und die Kontakte zu den dort ansässigen Institutionen aus dem In- und Ausland zu pflegen. Baden-Württemberg hat - wie die anderen Länder - seine Lv beim Bund von Bonn nach Berlin verlegt; Mitte 2000 wurde in Berlin ein neu errichtetes Gebäude bezogen.
Die Aufgabenstellung der Vertretung des Landes Baden-Württemberg bei der Europäischen Union (Lv bei der EU) umfasst primär die Beobachtung der Aktivitäten der Europäischen Kommission, des Europäischen Parlaments und der anderen in Brüssel ansässigen Institutionen, die Kontaktpflege zu diesen Institutionen sowie die Begleitung von Anträgen für Programme und Projekte bei der Europäischen Kommission. Die Lv bei der EU war bis 2001 als „Informationsbüro“ organisatorisch in die Lv beim Bund eingegliedert; inzwischen ist sie als Referat unmittelbar im StM angesiedelt. Im Zuge der von der Landesregierung angestrebten Verstärkung der Europaaktivitäten wurde im Jahr 2002 ein Gebäude für die Neuunterbringung der Lv bei der EU erworben.
2 Personal
2.1 Personalausstattung der Vertretung des Landes Baden-Württemberg beim Bund
Bei der Personalausstattung der Landesvertretungen beim Bund liegt Baden-Württemberg mit 60,5 Bediensteten im Ländervergleich auf dem zweiten Platz; der Durchschnitt aller Länder liegt bei 35. Die Personalausstattung der Lv beim Bund ist aus dem StHpl. nicht unmittelbar ablesbar, weil für die derzeit acht Ressortbeobachter keine Stellen, sondern lediglich Abordnungsmittel bei Kap. 0204 etatisiert sind.
Der jeweilige Bevollmächtigte beim Bund steht nur in Baden-Württemberg und zwei anderen Ländern als Minister in einem Amtsverhältnis. In den übrigen Ländern ist der Bevollmächtigte ein Beamter. Baden-Württemberg verfügt neben dem Minister auf der Leitungsebene über eine Planstelle für Beamte der Bes.Gr. B 9 und zwei Planstellen der Bes.Gr. B 6. Eine vergleichbar hoch dotierte Führungsstruktur ist bei keiner anderen Landesvertretung (Lv) in Berlin festzustellen.
Der RH hat vorgeschlagen, die Führungsstruktur der Lv beim Bund zu überprüfen und die Zahl der Ressortbeobachter in den Erläuterungen des StHpl. auszuweisen.
Die Lv beim Bund will die Zahl der Ressortbeobachter künftig in den Erläuterungen des StHpl. darstellen. Die vom RH bei der Personalausstattung angestellten Zahlenvergleiche seien ohne Berücksichtigung der z. T. sehr unterschiedlichen Aufgabenstellungen und organisatorischen Einbettungen der Landesvertretungen in die jeweiligen Staats- und Senatskanzleien nur bedingt aussagekräftig.
2.2 Personalausstattung der Vertretung des Landes Baden-Württemberg bei der Europäischen Union
Der Personalbestand der Lv bei der EU ist von April 2001 bis Oktober 2002 von 14 auf 23 Bedienstete erhöht worden. Im Ländervergleich liegt Baden-Württemberg mit 23 Bediensten auf dem zweiten Platz; der Durchschnitt aller Länder beträgt 10,8 Bedienstete. Wenngleich ein Gesamtpersonalkonzept für die Lv bislang nicht vorliegt, scheint der personelle Ausbau der Lv noch nicht abgeschlossen zu sein. In den Nutzungsanforderungen für die Neuunterbringung der Lv stiegen die ausgewiesenen Arbeitsplätze für das Stammpersonal von 20 im April 2001 auf 24 im März 2002 und auf 32 im November 2002.
Die Personalausstattung der Lv bei der EU ist aus dem StHpl. nicht ersichtlich. Seit dem StHpl. 2002/2003 sind die Stellen der Lv im Stellenplan des StM bei Kap. 0201 enthalten. Von den 23 Bediensteten wurden im Prüfungszeitpunkt nur sieben aus Stellen des StM gezahlt. Ein Mitarbeiter erhielt seine Bezüge aus Abordnungsmitteln des StM, sechs sog. Ortskräfte aus sonstigen Mitteln des StM, einer aus dem Dynamischen Europapool und acht Ressortbeobachter aus Stellen der Fachressorts. Bei der Veranschlagung der Bezüge für Ressortbeobachter und einzelne Ortskräfte wurde gegen haushaltsrechtliche Bestimmungen verstoßen.
Der RH hat gefordert, alsbald ein Personalkonzept für die Lv bei der EU zu erstellen und deren Personalausstattung in besonderen Abschnitten des StHpl. transparent auszuweisen.
Im Nachtrag zum StHpl. 2003 wurden sieben Stellen für bisher aus Mitteln des StM und aus dem Dynamischen Europapool finanzierte Bedienstete ausgebracht. Das StM hat angekündigt, die Personalausstattung der Lv im Entwurf des StHpl. 2004 in besonderen Abschnitten transparent darzustellen. Für die Ressortbeobachter werde die Etatisierung von Abordnungsmitteln bei Kap. 0201 angestrebt. Derzeit seien 24 Bedienstete in der Lv beschäftigt. Eine weitere Erhöhung des Personalbestands werde gegenwärtig auf Grund der Haushaltssituation nicht angestrebt; im neuen Gebäude zusätzlich anfallende Aufgaben im Gäste- und Servicebereich müssten jedoch an Fremdkräfte vergeben werden.
2.3 Rotationsprinzip und finanzielle Leistungen an Bedienstete der Vertretung des Landes Baden-Württemberg bei der Europäischen Union
Nach den von der Landesregierung beschlossenen Europagrundsätzen der Landesverwaltung vom 07.06.1999 soll die Entsendung von Landesbediensteten in Dienststellen auf europäischer Ebene zeitlich strikt begrenzt sein. Auch für das Stammpersonal der Lv bei der EU soll eine Rotation nach im Regelfall drei bis vier Jahren erfolgen. Im Prüfungszeitraum war bei fünf der 14 Bediensteten der Leitungs- und Fachreferentenebene eine Verwendungsdauer von vier Jahren überschritten.
Für Bedienstete der Lv bei der EU bestehen - auch im Vergleich zu Bediensteten der Lv beim Bund - durch die Gewährung zusätzlicher finanzieller Leistungen starke Anreize für die Auslandsverwendung. Den Bediensteten werden - neben den üblichen Inlandsdienstbezügen - Auslandsdienstbezüge nach dem BBesG (Auslandszuschlag, ggf. Auslandskinderzuschlag und Mietzuschuss) gewährt. Verheiratete Bedienstete mit getrennter Haushaltsführung erhalten zusätzlich Leistungen in entsprechender Anwendung von Bundesrichtlinien (Mietersatz und Aufwandsentschädigung für getrennte Haushaltsführung) sowie Auslandstrennungsgeld. Die verheirateten Mitarbeiter mit getrennter Haushaltsführung erhielten neben ihren Inlandsdienstbezügen überwiegend steuerfreie monatliche Zusatzleistungen von durchschnittlich 3.500 €, die anderen Mitarbeiter im Durchschnitt rd. 2.300 € im Monat. Der RH hat Zweifel, ob den Anspruchsberechtigten Aufwendungen in entsprechendem Umfang entstehen. Der RH hat weiter die Erstattung hoher Mietzahlungen und die Zusage von Umzugskostenvergütungen thematisiert.
Nach Auffassung des RH können die hohen finanziellen Anreize für eine Auslandsverwendung die Umsetzung des Rotationsprinzips erschweren. Insbesondere die in entsprechender Anwendung der Bundesrichtlinien gezahlten Leistungen an Verheiratete mit getrennter Haushaltsführung sollten überprüft werden. Diese werden nicht von allen Ländern gewährt.
Das StM will die Einhaltung des Rotationsprinzips weiterhin verfolgen. Teilweise werde insoweit das Argument des Vertrauensschutzes erhoben, wenn Bedienstete bereits vor Inkrafttreten der Europagrundsätze bei der Lv beschäftigt waren. An den bisherigen finanziellen Leistungen solle aus Gründen der Gleichbehandlung mit dem Bund und den meisten anderen Ländern grundsätzlich festgehalten werden. Die Bemessungsgrundlage der Aufwandsentschädigung für getrennte Haushaltsführung werde in absehbarer Zeit vom Bund überprüft; das Ergebnis bleibe abzuwarten.
3 Unterbringung
3.1 Neubau für die Vertretung des Landes Baden-Württemberg beim Bund in Berlin
Die Grundstücks- und Baukosten für den im Jahr 2000 bezogenen Neubau der Lv Baden-Württemberg beliefen sich auf rd. 43 Mio. €. Die durchschnittlichen Grundstücks- und Baukosten aller Bundesländer für die Unterbringung ihrer Vertretung in Berlin betrugen 20,5 Mio. €. Die Lv Baden-Württemberg ist im Ländervergleich die Zweitteuerste; sie verfügt über das größte Grundstück, das größte Raumprogramm und die höchste Wohnkapazität.
Die Wohnkapazität des Gästehauses liegt mit 25 Einheiten - 22 Zimmern und drei Wohnungen - an der Spitze aller Bundesländer und weit über dem Länderdurchschnitt mit 7,5 Wohneinheiten; die Kapazität des zweitplatzierten Bundeslandes beträgt 14 Wohneinheiten. Ein Teil der Gästezimmer wird monatsweise an Landesbedienstete - primär die Ressortbeobachter - vermietet. Die Auslastung der anderen, tageweise vermieteten Gästezimmer war im Jahr 2001 mit 42 % an Arbeitstagen und 34 % an allen Tagen unzureichend. Die vom RH grob geschätzten kalkulatorischen und laufenden Kosten je Übernachtung betragen 200 €. Die erforderliche Erhöhung der Entgelte für Dauermieter und Tiefgaragenstellplätze war zwei Jahre nach Bezug des Neubaus noch nicht umgesetzt.
Der RH hält eine höhere Auslastung des Gästehauses für erforderlich. Er hat vorgeschlagen, dass Dienstreisende aus dem Landesdienst in Berlin vorrangig das Gästehaus der Lv nutzen sollten. Im Gästehaus sind Möglichkeiten zur Kostenreduzierung zu prüfen. Im Rahmen des Projekts Neue Steuerungsinstrumente (NSI) sollten künftig betriebswirtschaftliche Kennzahlen über die Belegungs- und Kostensituation laufend ermittelt werden.
Nach Mitteilung der Lv wurden die Ministerien in einem Schreiben auf die Dienstleistungsangebote des Gästehauses hingewiesen. Dessen Auslastung habe sich inzwischen erhöht. Die Belegung des Gästehauses werde seit 01.01.2002 laufend erfasst. Im Rahmen des NSI-Projekts sollen Kennzahlen ermittelt werden. Bei den Abstimmungen mit dem FM über die Anhebung des Übernachtungsentgelts für Dauermieter zeichnet sich eine Lösung ab. Danach soll auch über die Erhöhung der Tiefgaragengebühren entschieden werden.
3.2 Neuunterbringung der Vertretung des Landes Baden-Württemberg bei der Europäischen Union in Brüssel
Das Land hat im Jahr 2002 in Brüssel ein Gebäude für die Neuunterbringung der Lv bei der EU erworben. Das Gebäude wird vor dem Bezug nutzerspezifisch umgebaut. Die Kosten für Grunderwerb und Umbau sollen eine Größenordnung von insgesamt 20 Mio. € erreichen.
Die Lv bei der EU hat im Zuge ihrer Neuunterbringung zwischen April 2001 und November 2002 drei Nutzungsanforderungen über ihren Raumbedarf erstellt. Der Raumbedarf ist zwischen der ersten und der neuesten Nutzungsanforderung um 38 % von 1.688 m² auf 2.332 m² Nutzfläche gestiegen. Im Funktionsbereich Verwaltung betrug die Steigerung 54 %. Trotz dieser Erhöhungen übersteigt das Flächenangebot im erworbenen Objekt den Raumbedarf noch um 26 %. Die in den Nutzungsanforderungen ausgewiesenen Arbeitsplätze erhöhten sich innerhalb von 19 Monaten von 32 auf 51, beim Stammpersonal von 20 auf 32 gegenüber 23 im Oktober 2002 tatsächlich vorhandenen Bediensteten.
Das Nutzungskonzept für das erworbene Gebäude sieht im Erdgeschoss Veranstaltungs- und Repräsentationsräume vor. Im 1. - 4. Obergeschoss ist eine Büronutzung geplant. Im 6. Obergeschoss sind eine Wohnung, zwei Übernachtungsmöglichkeiten für Kabinettsmitglieder und fünf Übernachtungszimmer vorgesehen. Zum Zeitpunkt der Prüfung war noch nicht geklärt, ob - wie in der letzten Nutzungsanforderung vorgesehen - Personal für diesen Gästebereich benötigt wird. Für das 5. Obergeschoss war noch keine Nutzung festgelegt.
Der RH hat im Interesse einer gesicherten Grundlage für die Gebäudenutzung gefordert, die bislang versäumte Aufstellung eines Personalkonzepts nachzuholen und über die künftige Gesamtnutzung des Gebäudes zu entscheiden.
Die Lv weist darauf hin, dass es angesichts des zunehmend enger werdenden Immobilienangebots im Brüsseler Europaviertel schwierig war, ein geeignetes Objekt in zentraler Lage zu finden. Das erworbene Gebäude sei als Investition in die Zukunft zu sehen. Derzeit werde von 24 festen Mitarbeitern in der Lv ausgegangen. Für das 5. Obergeschoss werde eine Vermietung evtl. an Unternehmensvertretungen aus dem Land angestrebt.
4 Veranstaltungen
4.1 Veranstaltungen der Vertretung des Landes Baden-Württemberg beim Bund
Die Zahl der Veranstaltungen in der Lv beim Bund hat sich seit dem Umzug nach Berlin deutlich erhöht. Im Jahr 2001 fanden in der Lv insgesamt 1.039 Veranstaltungen mit 39.073 Besuchern statt; davon waren 25 % Fremdveranstaltungen. Für Veranstaltungsaufwendungen waren bei Kap. 0204 Tit. 531 03 im Hj. 2002 295.000 € etatisiert. Das Schaubild stellt die Entwicklung der Nettoausgaben für Veranstaltungen seit dem Jahr 1993 dar.

Die Nettoausgaben lagen bis 1994 über 50.000 €, gingen dann bis 1999 auf unter 50.000 € zurück und stiegen im Hj. 2000 mit dem Umzug nach Berlin wieder an. Sie haben sich im Hj. 2002 gegenüber dem Vorjahr fast verdreifacht. Die Ausgabenerhöhung ist neben dem Zuwachs an Veranstaltungen und Besuchern auch auf eine Ausweitung der Verköstigung bei den Besuchergruppen zurückzuführen.
Von dem Haushaltsansatz im Hj. 2001 wurden für Veranstaltungen 102.000 € in Anspruch genommen. Dieser ausgewiesene Nettoaufwand ergibt sich aus Bruttoausgaben in Höhe von 380.000 € nach Abzug von Ersätzen für Fremdveranstaltungen in Höhe von 278.000 €. Die Bruttoausgaben betrugen somit fast das Vierfache der Nettoausgaben. Im Hj. 2002 errechnet sich der Nettoaufwand von 278.000 € aus Bruttoausgaben von 499.000 € und Einnahmen von 221.000 €. Die Abweichungen vom Bruttoprinzip werden durch einen Planvermerk im StHpl. ermöglicht.
Der RH hält es im Interesse der Transparenz des Ausgabenvolumens im Veranstaltungsbereich für erforderlich, im StHpl. die Einnahmen und Bruttoausgaben für Veranstaltungen getrennt auszuweisen. Das Veranstaltungskonzept für Besuchergruppen sollte nach einer Erprobungsphase überprüft werden.
Bei Veranstaltungen Dritter in der Lv werden dem Fremdveranstalter von der Lv Kosten in Rechnung gestellt. Generelle Regelungen über die Kostenerstattung bei Fremdveranstaltungen bestehen nicht. Regelmäßig werden von der Lv getragene Fremdkosten (z. B. für Aushilfspersonal) erhoben; bei Lebensmitteln wird lediglich ein Zuschlag auf die Einkaufspreise vorgenommen. Im Ergebnis entstehen dem Fremdveranstalter für Speisen und Getränke im Vergleich zur Gastronomie erheblich geringere Kosten.
Die Leistungen der Lv bei Fremdveranstaltungen umfassen im Wesentlichen die Verköstigung, die Personalgestellung und die Raumüberlassung. Insbesondere die Aufwendungen für das Küchen- und Servicepersonal, die Verwaltung und den Hausdienst stellen nicht unerhebliche Kostenfaktoren dar. Nach einer Grobkostenschätzung des RH entstanden der Lv für Veranstaltungen bei betriebswirtschaftlicher Betrachtung im Jahr 2001 Kosten von rd. 1,9 Mio. €.
Der RH hält eine Neuregelung der Kostenerhebung mit einer Erhöhung der Ersätze bei Fremdveranstaltungen für erforderlich. Mit Umsetzung des NSI-Projekts ist der tatsächliche Aufwand für Veranstaltungen systematisch zu ermitteln. Soweit die Lv Nutzungsüberlassungen für Fremdveranstaltungen weiterhin unterhalb des vollen Wertes im Sinne von § 63 Abs. 5 LHO einräumen will, muss eine entsprechende Ausnahme im StHpl. oder durch das FM zugelassen werden.
Die Lv hat die vom RH vorgeschlagene Bruttodarstellung der Einnahmen und Ausgaben im Veranstaltungsbereich für den StHpl. 2004 vorgemerkt. Die Preisgestaltung für Fremdveranstaltungen werde derzeit im Rahmen einer neuen Veranstaltungskonzeption überdacht. Basis hierfür sei die Kosten- und Leistungsrechnung. Weiter werde ein neues kostengünstigeres Verpflegungskonzept erarbeitet.
4.2 Veranstaltungen der Vertretung des Landes Baden-Württemberg bei der Europäischen Union
Das Land beabsichtigt, seine Veranstaltungsaktivitäten in der Lv bei der EU nach Bezug des erworbenen Anwesens auszuweiten. Für Veranstaltungen waren bei Kap. 0202 Tit. 541 76 im Hj. 2002 61.100 € etatisiert. Der Haushaltsansatz im Hj. 2001 betrug 51.100 €. Bei der Haushaltsstelle ist ein Planvermerk ausgebracht, wonach Ersätze den Mitteln zufließen. Im Hj. 2001 wurden für Veranstaltungen 144.000 € ausgegeben; nach Abzug der Ersätze für Fremdveranstaltungen in Höhe von insgesamt 98.000 € ergibt sich ein Nettoaufwand von 46.000 €. Die Bruttoausgaben erreichten somit etwa den dreifachen Betrag der Nettoausgaben.
Der RH hält es auch bei der Lv in Brüssel im Interesse der Transparenz der Einnahmen und Ausgaben im Veranstaltungsbereich für geboten, den Planvermerk im StHpl. zu streichen und die Einnahmen und Bruttoausgaben für Veranstaltungen getrennt auszuweisen.
Die Lv bei der EU stellt bei Fremdveranstaltungen in der Lv Dritten Kosten in Rechnung. Hierbei werden regelmäßig die externen Kosten mit geringfügigen Zuschlägen angesetzt. Generelle Regelungen über die Kostenerstattung Dritter bei Fremdveranstaltungen liegen gleichfalls nicht vor.
Der RH hat auch bei der Lv bei der EU eine deutlich höhere Kostenerstattung für Fremdveranstaltungen gefordert. Die tatsächlichen Kosten des Landes für den Veranstaltungsbetrieb sind bei Umsetzung des NSI-Projekts kontinuierlich zu ermitteln.
Die Lv will die Bruttoausgaben und die Einnahmen ab dem Hj. 2004 im StHpl. transparent darstellen. Mit dem Umzug in das erworbene Gebäude sei eine neue Veranstaltungskonzeption geplant, mit der die Preise für Fremdveranstaltungen unter Berücksichtigung der Anregungen des RH festgelegt werden sollen. Im Rahmen des NSI-Projekts sollen entsprechende Kostenträger festgelegt werden.
5 Zahlungsverkehr
5.1 Zahlungsverkehr bei der Vertretung des Landes Baden-Württemberg beim Bund
Die Lv beim Bund wickelte ihren Zahlungsverkehr in der Vergangenheit - insbesondere wegen der Lage außerhalb Baden-Württembergs - in erheblichem Umfang nicht unmittelbar über die LOK, sondern über eine Zahlstelle ab. Der Umsatz der Zahlstelle war im Hj. 2001 mit 700.000 € Ausgaben und 450.000 € Einnahmen ungewöhnlich hoch.
Bei der Prüfung der Zahlstelle durch den RH wurden erhebliche Mängel festgestellt. Die Buchführung entsprach teilweise nicht den haushaltsrechtlichen Bestimmungen; Verwahrungen und Vorschüsse wurden nicht ordnungsgemäß gebucht. Ordnungsgemäße Abschlüsse lagen nicht vor. Bei einer Zahlstellenprüfung wurde zunächst ein Überschuss von 8.168 € festgestellt, von dem trotz intensiver Bemühungen der Lv ein Teilbetrag von 477 € nicht aufgeklärt werden konnte. Im Besitz der Zahlstelle befand sich - teilweise über mehrere Monate - ein nicht gebuchter Barbestand von 352 € aus Getränkeeinnahmen des Gästehauses. Der zugelassene Zahlstellenbestand wurde permanent erheblich überschritten. Bereits beim Umzug von Bonn nach Berlin wurde keine ordnungsgemäße Zahlstellenübergabe durchgeführt. Ein buchmäßiger Barbestand von 1.099 € war offensichtlich in der Kasse tatsächlich nicht vorhanden und an einen Bediensteten der Lv als Vorschuss ausgezahlt. In der Zahlstelle war kein Zahlstellenverwalter und kein Zahlstellenaufsichtsbeamter bestellt; die Funktion des Aufsichtsbeamten nahm der Dienststellenleiter der Lv beim Bund wahr. Jährlich vorgeschriebene Prüfungen konnten seit 1994 nicht nachgewiesen werden.
Im Gästehaus der Lv beim Bund in Berlin wurden seit dem Jahr 2000 ein ungenehmigtes Girokonto mit einem Kontohöchststand von 33.449 € und ungenehmigte Barkassen geführt. Eine ordnungsgemäße Buchführung fand nicht statt. Die Vollständigkeit der vom Gästehaus zu erhebenden Einnahmen ist nicht nachgewiesen. Das Girokonto hatte zuletzt einen nicht aufklärbaren Bestand von 943 €. Bereits vor der Prüfung des RH festgestellte Mängel im Gästehausbetrieb waren für die Lv beim Bund kein Anlass, eine umfassende Prüfung des Zahlungsverkehrs vorzunehmen und dessen ordnungsgemäße Abwicklung sicherzustellen. Die Einziehung von Forderungen des Gästehauses erfolgte z. T. mit erheblichem zeitlichen Verzug.
Bereits im Bonner Gästehaus existierten ein ungenehmigtes Girokonto und ein ungenehmigter Barbestand. Beim Umzug nach Berlin wurde kein ordnungsgemäßer Abschluss erstellt. Ein Fehlbestand von 872 € bleibt ungeklärt.
Die Lv beim Bund hat die Mängel im Zahlungsverkehr inzwischen abgestellt. Die ermittelten Defizite und Überschüsse konnten jedoch nicht restlos aufgeklärt werden. Der Zahlungsverkehr der Lv wird in Zukunft durch Einsatz eines neuen Haushaltsvollzugssystems weit überwiegend unmittelbar über die LOK abgewickelt, sodass der Zahlungsverkehr der Zahlstelle auf ein Mindestmaß reduziert werden kann.
5.2 Zahlungsverkehr bei der Vertretung des Landes Baden-Württemberg bei der Europäischen Union
Für die Abwicklung des Zahlungsverkehrs in der Lv bei der EU in Brüssel ist ein Handvorschuss mit einem Girokonto eingerichtet. Auf Grund der bisher vorhandenen Probleme im Auslandszahlungsverkehr waren im Handvorschuss mit 291.000 € Ausgaben und 99.000 € Einnahmen im Hj. 2001 erhebliche Umsätze zu verzeichnen. Die Abrechnung des Handvorschusses erfolgte bis zum Hj. 2001 mit der Lv beim Bund. Im Hj. 2002 ist die Zuständigkeit auf das StM übergegangen.
Auch im Zahlungsverkehr der Lv bei der EU wurden erhebliche Mängel und gravierende Verstöße gegen elementare Vorschriften des Haushalts- und Kassenrechts festgestellt. Eine aussagekräftige Buchhaltung lag nicht vor; vorgeschriebene Bücher wurden nicht geführt. Der Barbestand der Lv wurde mit anderen Barbeständen vermischt. Die Lv hat Zahlungen mit der Lv beim Bund abgerechnet, die tatsächlich nie geleistet wurden. Es kam zu zahlreichen Fehlbuchungen und in Einzelfällen zu Doppelzahlungen. Die Lv verfügt über mehrere ungenehmigte Girokonten, die für Zahlungen des Vermögens- und Hochbauamts und für die Abwicklung einer Großveranstaltung eingerichtet wurden. Die Verwendung einzelner Barabhebungen ist aus der Buchführung der Lv nicht nachvollziehbar. Die Ermittlung eines ordnungsgemäßen Stands des Handvorschusses ist dadurch mit vertretbarem Aufwand nicht mehr möglich.
Das StM hatte vor der Prüfung des RH mehrwöchige verwaltungsinterne Prüfungen des Zahlungsverkehrs in der Lv bei der EU veranlasst. Trotz ergänzender Erhebungen des RH ist ein Fehlbetrag derzeit ungeklärt. Die Aufsicht über den Handvorschuss durch den bis 2001 nach der Dienstanweisung zuständigen Aufsichtsbeamten der Zahlstelle der Lv beim Bund war unzureichend; jährlich vorgeschriebene Prüfungen fanden zumindest seit 1995 nicht statt.
Die Lv bei der EU ist bemüht, die Abwicklung des Zahlungsverkehrs auf eine ordnungsgemäße Grundlage zu stellen. Der diesbezügliche Prüfungsschriftwechsel ist noch nicht abgeschlossen. Nach Wegfall der hohen Auslandsüberweisungsgebühren sollen das Volumen des über den Handvorschuss abzuwickelnden Zahlungsverkehrs weiter reduziert und die Zahlungen möglichst weitgehend unmittelbar über die LOK durchgeführt werden.
Das StM hat die Prüfung der Regressfrage für den Fall angekündigt, dass nach Abschluss der weiteren Nachprüfungen ein Fehlbetrag verbleibt.
6 Schlussbemerkung
Das Land Baden-Württemberg hat in den letzten Jahren erhebliche finanzielle Anstrengungen für den Ausbau seiner Vertretungen in Berlin und Brüssel unternommen. Die Bestimmung eines angemessenen Aufwands für die Präsentation des Landes auf europäischer- und Bundesebene ist zwar primär eine unter Berücksichtigung der haushaltspolitischen Rahmenbedingungen zu treffende politische Entscheidung. Der RH hält es hierbei aber für geboten, die finanziellen Auswirkungen dieser Entscheidungen im StHpl. transparent darzustellen. Bestehende Wirtschaftlichkeitsreserven in der Haushalts- und Wirtschaftsführung der Vertretungen sind auszuschöpfen.
Anhänge
Einzelplan 03: Innenministerium
Beim Haus der Heimat in Stuttgart bestehen organisatorische Mängel und ein erheblicher Personalüberhang. Schon bei gegebener Aufgabenstellung kann die Zahl der Stellen reduziert werden. Die Mieten für die im Haus der Heimat untergebrachten Vertriebenverbände müssen an das ortsübliche Niveau angepasst werden. Weitergehend muss geprüft werden, ob es auch in Zukunft einer solchen Einrichtung bedarf. Ihre Auflösung und die Übertragung des unverzichtbaren Teils der Aufgaben auf andere Landeseinrichtungen würde den Landeshaushalt um jährlich 640.000 € entlasten.
1 Ausgangslage
Die Förderung der Kulturarbeit nach dem Bundesvertriebenengesetz (BVFG) beruht in Baden-Württemberg auf zwei Säulen. Einerseits betreibt das Land Kulturpflege mit eigenen staatlichen Einrichtungen, andererseits wird die Kulturarbeit der Vertriebenenverbände auf vielfältige Weise gefördert.
Einen Überblick über die Aktivitäten des Landes gibt das Schaubild 1.

Kulturarbeit wird darüber hinaus vom Land als Mitstifter der Stiftung „Donauschwäbisches Zentralmuseum“ in Ulm sowie von den Landeseinrichtungen „Johannes-Künzig-Institut für ostdeutsche Volkskunde“ in Freiburg und „Institut für donauschwäbische Geschichte und Landeskunde" in Tübingen betrieben.
Das StRPA Stuttgart hat im Jahr 2002 die Organisation, den Personalbedarf und die Haushalts- und Wirtschaftsführung des Hauses der Heimat (HdH) geprüft. Dabei wurden auch die Einnahmen und Sachausgaben des Staatlichen Vermögens- und Hochbauamts (VBA) Stuttgart für die geprüfte Liegenschaft bei Kap. 1208 und Kap. 1209 einbezogen.
Die Zuwendungen des Landes im Rahmen der Förderung der Kulturarbeit sind Gegenstand einer weiteren Prüfung des StRPA. Über die dabei getroffenen Feststellungen wird gesondert berichtet.
2 Feststellungen beim Haus der Heimat
2.1 Allgemeines
Die Landesregierung von Baden Württemberg hat im Jahre 1976 das „Haus der Heimat“ - nichtrechtsfähige Anstalt des öffentlichen Rechts im Geschäftsbereich des IM - als Begegnungsstätte in Verantwortung gegenüber den Vertriebenen, Flüchtlingen und Aussiedlern und auf Grund historischer Bindungen zu den Donauschwaben und Deutschen aus Russland errichtet.
Die Einrichtung befindet sich im landeseigenen Gebäude in Stuttgart, Schlossstraße 92. Dort sind auch zahlreiche Verbände, wie z. B. die Landesgeschäftsstelle des Bundes der Vertriebenen, 15 Landsmannschaften und die Geschäftsstelle der Donauschwäbischen Kulturstiftung des Landes Baden-Württemberg untergebracht.
Die letzte Neufassung des Errichtungserlasses stammt vom 22.09.1986 (GBl. S. 354), in der die Aufgaben des HdH beschrieben sind. Danach dient das HdH der Erhaltung des Kulturgutes der Vertreibungsgebiete. Es fördert im Rahmen des § 96 BVFG die Fortentwicklung und Entfaltung dieses Kulturgutes, die Ost- und Osteuropakunde im Bereich der Erwachsenen- und Jugendbildung und die Begegnung, Aussprache und gegenseitige Information aller, die zur Vertiefung und Verbreitung des Heimatgedankens, zur Bewältigung der Probleme aus Vertreibung und Flucht sowie zur gesellschaftspolitischen Eingliederung der Vertriebenen und Flüchtlinge beizutragen bemüht sind. Das Aufgabenfeld war gegenüber der Fassung von 1976 insofern erweitert worden, als durch die Behandlung deutschlandpolitischer Themen das Bewusstsein der Einheit Deutschlands und der gemeinsamen deutschen Kultur und Geschichte gefördert werden sollte.
Überwog anfänglich die Nutzung des HdH durch die Verbände und die verbandsorientierte Kulturarbeit, so versteht es sich inzwischen auch als „Kultureinrichtung und Bildungsstätte“. So soll das HdH nach einem Beschluss des Ministerrats aus dem Jahr 1991 auch in den Herkunftsgebieten durch Ausstellungen über Geschichte und Literatur informieren und einen Beitrag zur Verständigung und zum Ausgleich leisten.
2.2 Aufwendungen des Landes für das Haus der Heimat
Die Einnahmen und Ausgaben der Einrichtung HdH sind bei Kap. 0330 veranschlagt. Darüber hinaus entstehen weitere Kosten für die Bewirtschaftung und Bauunterhaltung des landeseigenen Gebäudes in Stuttgart, Schlossstraße 92. In Übersicht 1 sind die gesamten Ist-Ausgaben der Jahre 1998 bis 2002 dargestellt.

Diese Ausgaben schließen auch die Personal- und Sachausgaben für die Geschäftsführung der „Donauschwäbischen Kulturstiftung“ durch Landesbedienstete im HdH ein.
In der Übersicht nicht enthalten sind die Kapitalkosten für das Gebäude Schlossstraße 92.
2.3 Organisation und Personal des Hauses der Heimat
2.3.1 Aktuelle Ausstattung
Schaubild 2 zeigt eine Organisationsübersicht, die zu Beginn der Prüfung erstellt wurde. Sie lässt - ergänzt um die aktuelle Stellenbesetzung - in groben Zügen die Zuständigkeiten der Mitarbeiter erkennen.

Das HdH (einschließlich der Geschäftsstelle Donauschwäbische Kulturstiftung) verfügt (Stand 01.03.2003) über 2,0 Planstellen für Beamte, 15,5 Stellen für Angestellte, 1,0 Stelle für Arbeiter und darüber hinaus Mittel für die Teilzeitbeschäftigung einer Reinigungskraft. Von den 18,5 Stellen sind derzeit 17,15 Stellen besetzt.
2.3.2 Mögliche Personaleinsparungen bei gegebener Aufgabenstellung
Das StRPA Stuttgart hat die Organisation und den Personalbedarf des HdH einer eingehenden Prüfung unterzogen. Dabei hat sich ergeben, dass bei gegebener Aufgabenstellung die personelle Ausstattung des HdH deutlich überhöht ist. Mehrere Mitarbeiter der Einrichtung sind mit ihren aktuellen Aufgaben nicht ausgelastet. Von den im Haushaltsplan ausgewiesenen 18,5 Stellen können 5,0 Stellen eingespart werden. Dies entspricht einem Einsparvolumen von etwa 320.000 € jährlich.
In der Abteilung Verwaltung können 3,5 Stellen eingespart werden (davon 2,5 Stellen im Technischen Büro); das Einsparvolumen im Fachbereich Kulturarbeit und Bibliothek beläuft sich auf 1 Stelle, im Fachbereich Musik und schulische Bildung auf 0,5 Stellen.
Auch nach Auffassung des IM kann der Personalbestand beim HdH reduziert werden. Das Einsparpotential erreiche allenfalls drei Stellen und betreffe insbesondere das Technische Büro, das seine Serviceleistungen für die Vertriebenenverbände entsprechend reduzieren müsse. Weitergehende Stelleneinsparungen wären nur bei einem Wegfall von Aufgaben darstellbar.
Das IM hat zudem darauf hingewiesen, dass die in einzelnen Fällen mögliche und auch gebotene Effizienzsteigerung aktuell nicht realisierbar sei. Stelleneinsparungen könnten nur in Folge von Personalabgängen und damit allenfalls mittelfristig realisiert werden. Zudem könnte im Hinblick auf erforderliche Fachkenntnisse etwa im Verwaltungsbereich nicht jeder Personalabgang zu Einsparungen genutzt werden.
Der RH hält an seiner Auffassung fest, dass der Stellenbestand des HdH um 5,0 Stellen kurzfristig reduziert werden kann. Gegebenenfalls müssen Umsetzungen in Erwägung gezogen werden.
2.3.3 Weitere Personaleinsparungen durch Aufgabenabbau
Weitergehende Möglichkeiten zur Personaleinsparung ergeben sich dann, wenn
- die Verbände das Technische Büro künftig in eigener Regie betreiben,
- die Verbände die verschiedenen Raumnutzungen im HdH weitgehend selbst bewirtschaften und
- die Bearbeitung der Zuwendungen an die Vertriebenenverbände aus dem Aufgabenkatalog des HdH herausgelöst und dem RP übertragen würde.
Durch die oben genannten Personaleinsparungen würden auch Räume im Gebäude Schlossstraße 92 frei und könnten für andere Zwecke des Landes verwendet oder vermietet werden.
2.4 Nutzung der Räume durch Dritte
2.4.1 Vorzugsmiete für die Geschäftsräume der Vertriebenenverbände
Im landeseigenen Gebäude „Haus der Heimat“ in Stuttgart, Schlossstraße 92, werden Organisationen und Einrichtungen der Vertriebenen und Flüchtlinge in zwei Stockwerken Räume zu einer Vorzugsmiete zur Verfügung gestellt. Derzeit sind rd. 30 Räume mit einer Fläche von insgesamt 455 m² (21 % Anteil der gesamten Nutzfläche) an 15 Organisationen auf jeweils unbestimmte Zeit vermietet. Hierfür erhebt das Land einen monatlichen Mietzins von insgesamt 1.628,62 €. Der Mietzins ist seit 01.05.1991 mit 3,58 €/m² je Monat unverändert geblieben. In den jeweiligen Mietverträgen ist bestimmt, dass die Gebäudebetriebs- und -bewirtschaftungskosten sowie die Kosten für Heizung und Strom im Mietpreis enthalten sind. Nach den Unterlagen des VBA Stuttgart übernimmt das Land für die vermieteten Räume jährliche Bewirtschaftungskosten von rd. 7.670 €. Die Reinigung des Mietgegenstandes erfolgt durch den jeweiligen Mieter auf seine Kosten.
Das bedeutet, dass nur 11.873 €/Jahr oder monatlich 2,17 €/m² als eigentliche Kaltmiete verlangt werden. Dagegen liegt die ortsübliche Miete für solche Büroräume in der Stuttgarter Innenstadt bei mindestens 12,80 €/m² (zuzüglich Nebenkosten). Mithin beträgt der Mietverzicht zu Gunsten der Verbände jährlich rd. 58.000 €. Der RH hält diesen Mietzins auch unter dem Gesichtspunkt einer Vorzugsmiete für unangemessen niedrig; nicht verständlich ist, dass seit 1991 keine Anpassung des Mietzinses stattgefunden hat.
Das IM hat mitgeteilt, dass die Mietverträge des VBA Stuttgart mit den Vertriebenenorganisationen keine Mietgleitklauseln enthalten, eine vertragliche Anspruchsgrundlage für Mietanpassungen damit nicht gegeben und eine Anpassung deshalb nur über Änderungskündigungen oder im gegenseitigen Einvernehmen möglich sei. Eine Überprüfung des ortsüblichen Mietwerts für Büroräume durch das VBA habe ergeben, dass der derzeitige Mietwert nicht wesentlich über dem im Jahre 1991 üblichen liege. Bei den Gebäudebetriebs- und -bewirtschaftungskosten sei die Entwicklung sogar rückläufig. Eine hinreichende Begründung für ein aussichtsreiches Mieterhöhungsverlangen habe deshalb nicht vorgelegen.
Das IM hat außerdem mitgeteilt, dass die Vertriebenenorganisationen grundsätzlich bereit seien, eine moderate Mietzinserhöhung zu akzeptieren. Es beabsichtige, mit den Nutzern diesbezüglich Gespräche zu führen, sehe aber die Forderung des RH nach einer deutlichen Erhöhung als nicht gerechtfertigt an. Da die Verbände und Landsmannschaften der Vertriebenen und Spätaussiedler einen wichtigen Beitrag zur Geschichte und Kultur eines bedeutenden Bevölkerungsteils des Landes leisteten und die Landesregierung dies u. a. durch die Überlassung von Räumen zu einer Vorzugsmiete fördere, stehe eine deutliche Erhöhung der Miete im Widerspruch zum politischen Willen der Landesregierung.
Der RH bleibt bei seiner Auffassung, dass die Differenz zwischen 2,17 €/m² gezahlter Miete und 12,80 €/m² ortsüblicher Miete angesichts der Haushaltslage als verdeckte zusätzliche Subventionierung nicht mehr zu rechtfertigen ist und erwartet eine Anpassung der Mieten im Wege der Änderungskündigung.
2.4.2 Kostenlose Überlassung von Veranstaltungsräumen
Im Gebäude des HdH befinden sich außerdem fünf Räumlichkeiten für Tagungen und Veranstaltungen mit Kapazitäten von 12 bis maximal 150 Personen, die Organisationen der Vertriebenen und Flüchtlinge unentgeltlich für deren Veranstaltungen zur Verfügung gestellt werden. Die Räume sind in den Jahren 1999 bis 2001 jeweils für rd. 1.100 Einzelveranstaltungen vergeben worden. Dabei wurden jährlich rd. 100 Verbände mit ihren Untergliederungen bedacht. Die Struktur der Veranstaltungen ist für das Jahr 1999 in Übersicht 2 beispielhaft dargestellt.

Für die Folgejahre dürfte sich ein ähnliches Bild ergeben. Das IM weist allerdings darauf hin, dass Raum 201 seit dem Jahr 2002 für den Dienstbetrieb des HdH benötigt und Dritten nicht mehr zur Verfügung gestellt wird.
Für die Überlassung der genannten Räumlichkeiten wurde in den Jahren 1999 bis 2001 in keinem Fall ein Nutzungsentgelt erhoben, da alle darin stattfindenden Veranstaltungen als solche im Sinne von § 96 BVFG gewertet wurden. Würde man diese Räume zu einem marktüblichen Preis als Büroräume vermieten, würde sich eine Jahresmiete von rd. 45.000 € (zuzüglich Bewirtschaftungskosten) ergeben. Eine Ausnahme von § 63 LHO liegt nicht vor.
Die kostenlose Nutzung wird noch dadurch ergänzt, dass das HdH auch die technische Betreuung ohne Kostenersatz bereitstellt.
Der RH hält bei diesem attraktiven Leistungsangebot des Landes eine kostenlose Überlassung nicht mehr für vertretbar. Vielmehr sollte eine angemessene Entgeltregelung für die Veranstaltungsräume getroffen werden.
Das IM will an der unentgeltlichen Überlassung von Räumlichkeiten sowie der logistischen und technischen Unterstützung festhalten, weil die Verbände und Landsmannschaften der Vertriebenen und Spätaussiedler mit ihren Veranstaltungen im HdH einen wichtigen Beitrag zur Erfüllung des sich aus § 96 BVFG ergebenden Kulturauftrags leisteten. Es sei Aufgabe des HdH, dies zu fördern, was u. a. durch die unentgeltliche Überlassung von Räumlichkeiten und die beschriebene Unterstützung erfolge.
Als weitere Leistungen stellt das HdH den Nutzern der Veranstaltungsräume sog. Abendaufsichten zur Verfügung. Die Abendaufsichten haben im Wesentlichen für den Schließdienst zu sorgen, stehen aber auch für Hilfstätigkeiten während der Dauer der Veranstaltungen zur Verfügung. Nach den Feststellungen des RH ist im Hj. 2002 für Aushilfen für die sog. Abendaufsicht ein Betrag von 17.301,46 € verausgabt worden.
Der RH hält es für sachgerecht, künftig den Nutzern selbst die Aufsichtsfunktion (Schlüsselgewalt) zu übertragen und so die Kosten für die Aushilfen einzusparen.
Das IM steht einer Übertragung der Aufsichtsfunktion an die Nutzer in der Zeit von 16:00 bis 22:00 Uhr aufgeschlossen gegenüber und will (um mögliche Probleme bei der Umsetzung des Vorschlags zu klären) diese zunächst etwa an zwei oder drei Tagen je Woche erproben.
2.4.3 Überlassung von Räumen für Sprachkurse
Dem Bund der Vertriebenen als Veranstalter werden vom HdH kostenlos Räume für die Abhaltung von Sprachkursen für Aussiedler überlassen. Diese Kurse werden als Veranstaltungen im Sinne von § 96 BVFG gewertet, obwohl es sich in Wahrheit um Maßnahmen zur beruflichen Eingliederung handelt, die vom Arbeitsamt gefördert werden.
Auch nach Auffassung des IM sind die von der Arbeitsverwaltung angebotenen Sprachkurse nicht als Veranstaltungen im Rahmen des § 96 BVFG anzusehen. Es will daher die Räume für künftige Sprachkurse nicht mehr unentgeltlich überlassen.
2.5 Vergaben ohne Ausschreibung
Das HdH vergibt Arbeiten für Organisation und Durchführung von Ausstellungen, ohne dabei Vorschriften der VOL/A und der Beschaffungsanordnung zu beachten. So zieht das HdH Öffentliche oder Beschränkte Ausschreibungen grundsätzlich nicht in Betracht, Aufträge werden regelmäßig freihändig vergeben. Gründe für den Verzicht auf eine Ausschreibung wurden in keinem Fall dokumentiert.
Das IM hat zugesagt, dass das HdH des Landes Baden-Württemberg die Vergabevorschriften künftig beachten wird.
3 Perspektiven des Hauses der Heimat
Nach der Wiederherstellung der deutschen Einheit im Jahr 1990 und der zunehmenden Öffnung Osteuropas haben sich die Herausforderungen an das HdH verändert. Hinzu kommt, dass die Mitgliederzahlen der betreuten Vertriebenenverbände stetig zurückgehen. Es ist deshalb fraglich, ob einzelne Aufgaben vom HdH und damit vom Land noch dauerhaft wahrgenommen werden müssen.
Eine Zuweisung neuer Aufgaben zur besseren Auslastung der überhöhten Personalkapazitäten ist angesichts der angespannten Haushaltslage des Landes ohnehin problematisch.
Für die endgültige Ermittlung des Personalbedarfs ist es mithin erforderlich zu klären, was das HdH künftig leisten soll. Bei den eher unklaren Konturen ist es unerlässlich, eine Konzeption für die künftige Struktur des HdH zu erstellen. Damit einhergehen müssen konkrete Aufgabenbeschreibungen. Hierauf müsste dann die Stellenausstattung aufbauen.
Das IM hat zugesagt, dass schon bald ein Geschäftsverteilungsplan von der Leitung des HdH erarbeitet wird. Es will zudem die Organisationsstruktur des HdH - ergebnisoffen - überprüfen und ggf. optimieren.
Angesichts der gewandelten Rahmenbedingungen und der bei der Prüfung offenbar gewordenen organisatorischen Mängel des HdH muss in Erwägung gezogen werden, die Einrichtung ganz aufzulösen. Dafür spricht auch die Tatsache, dass nur Baden-Württemberg und Bayern noch ein HdH als Landeseinrichtung bereit halten. Die bayerische Einrichtung in München ist jedoch deutlich kleiner und weniger aufwändig ausgestaltet.
Im Falle der Auflösung können die Aufgaben, soweit sie wirklich unverzichtbar sein sollten, auf andere öffentliche Institutionen übertragen werden. Dazu bieten sich folgende Lösungen an:
- Das Management der Räumlichkeiten, die an Organisationen der Vertriebenen überlassen werden, erfolgt unmittelbar durch das zuständige Vermögens- und Hochbauamt.
- Druckaufträge werden von den Verbänden in eigener Regie abgewickelt.
- Die Bibliothek schließt sich mit ähnlich ausgerichteten Bibliotheken im Land zusammen, eine zentrale Bibliothek wird gegründet (z. B. gemeinsam mit dem Institut für Donauschwäbische Geschichte und Landeskunde in Tübingen).
- Kulturelle Aufgaben, d. h. Ausstellungen und sonstige Veranstaltungen (einschließlich der Kataloge, Fachbeiträge und der musikalischen Darbietungen) könnten dem Haus der Geschichte, der Donauschwäbischen Kulturstiftung oder dem Donauschwäbischen Zentralmuseum in Ulm übertragen werden.
- Die Bearbeitung der Zuwendungen an die Vertriebenenverbände und Landsmannschaften wird dem IM oder einem RP mit Vor-Ort-Zuständigkeit übertragen.
- Den Donauschwäbischen Kulturpreis lobt künftig das MWK oder das Institut für Donauschwäbische Geschichte und Landeskunde in Tübingen aus.
- Schülerwettbewerbe werden dem KM, einem Oberschulamt oder der Landeszentrale für politische Bildung übertragen.
- Die Lehrerfortbildung übernehmen die Akademien für Lehrerfortbildung.
Bei der Umsetzung dieses weitergehenden Vorschlags sind für den Landeshaushalt deutliche Einsparungen über die oben genannten 5,0 Stellen hinaus zu erwarten, auch wenn an anderer Stelle eine geringfügige Stellenaufstockung in Betracht kommen könnte.
Das IM hält das HdH zur Erfüllung des Auftrags nach § 96 BVFG für unverzichtbar und lehnt eine Auflösung der Einrichtung ab. Jeder vierte Baden-Württemberger stamme von Flüchtlingen, Vertriebenen oder Spätaussiedlern ab oder gehöre selbst zu dieser Bevölkerungsgruppe. Die Verbände der Vertriebenen und Spätaussiedler leisteten einen wichtigen und unverzichtbaren Beitrag zur Herkunftskultur eines bedeutenden Bevölkerungsteils. Die unverzichtbaren Aufgaben könnten von einer Vielzahl anderer Stellen nicht mit derselben Effektivität und Effizienz erledigt werden. Die Zusammenfassung des für die Kulturarbeit nach § 96 BVFG erforderlichen spezifischen Sachverstands in einer Organisationseinheit und die damit mögliche reibungslose Koordinierung der Kulturarbeit habe Synergieeffekte, die bei einer Zersplitterung auf viele Stellen verloren gingen.
Der RH weist darauf hin, dass bei einer Auflösung des HdH und der Übertragung der unverzichtbaren Aufgaben an andere Landeseinrichtungen per Saldo mindestens 10,0 Stellen entfallen könnten. Dies würde sich auf den Landeshaushalt mit einer Entlastung in Höhe von jährlich rd. 640.000 € auswirken. Außerdem könnte das Gebäude Schlossstraße 92 mindestens teilweise anders genutzt, vermietet oder veräußert werden.
Anhänge
Einzelplan 04: Ministerium für Kultus, Jugend und Sport
Die Effizienz der Schulleitungen kann verbessert werden; das Schwergewicht muss auf die wichtigen Leitungs- und Führungsaufgaben gelegt werden.
1 Ausgangslage
Der RH hat sich mit der aktuellen Arbeitssituation der Schulleitung von allgemein bildenden Schulen befasst und sie unter ausgewählten Aspekten betrachtet. Dabei standen die tatsächliche Aufgabenwahrnehmung und Gesichtspunkte der Effizienz im Vordergrund. Der Leitung von Schulen kommt heute mehr denn je nicht nur für das ordnungsgemäße Funktionieren der Schule im Alltag, sondern gerade auch für die innere Schulentwicklung und die Sicherung von Qualität und Effizienz eine gewichtige Rolle zu.
In die Untersuchung wurden Schulleitungen von Grund-, Haupt-, Realschulen und Gymnasien einbezogen. Für die Erhebung der erforderlichen Daten und Angaben wurden an 533 Schulen Fragebögen per E-Mail versandt, die von 470 Schulen ausgefüllt zurück gesandt wurden. Außerdem wurden mit 32 Schulleitern, die sich an der schriftlichen Befragung beteiligt hatten, strukturierte Interviews geführt. Die Auswertung und die Interviews ergaben ein hinreichend aussagekräftiges Gesamtbild der aktuellen Situation von Schulleitungen, das auch als repräsentativ bewertet werden kann.
2 Feststellungen
2.1 Unterrichtsverpflichtung der Schulleitung
Schulleitern und deren Stellvertretern werden für die Wahrnehmung von Schulleitungsaufgaben zum Ausgleich unterschiedlicher zeitlicher Belastungen abgestufte Entlastungen von ihrer Unterrichtsverpflichtung eingeräumt. Hierbei ergibt sich für die einzelnen Schularten ein voneinander abweichendes Gesamtbild. Während die Oberstudiendirektoren der Gymnasien im Durchschnitt nur noch im Umfang eines Viertels ihres persönlichen Regelstundenmaßes Unterricht erteilen, beträgt dieser Umfang bei den Grund-, Haupt- und Realschulrektoren ein Drittel und bei den Leitern von selbstständigen Grundschulen mehr als die Hälfte. Abgestuft ist auch die Unterrichtsverpflichtung der stellvertretenden Schulleiter. An den Gymnasien beträgt sie die Hälfte des Deputats und bei den Grund-, Haupt- und Realschulen mehr als zwei Drittel. Die genaue Verteilung ist der Übersicht 1 zu entnehmen.

2.2 Aufgabenbereiche und Aufgabenverteilung
Die Aufgabenbereiche der Schulleitungen wurden für die Untersuchung in die beiden Aufgabenblöcke „administrativ-organisatorische Aufgaben“ und „pädagogische Gestaltungsaufgaben“ unterteilt. Nach der Einschätzung aller Befragten überwiegt der Anteil der administrativ-organisatorischen Aufgaben die pädagogischen Gestaltungsaufgaben. Das Verhältnis beträgt über alle Schularten hinweg gleichermaßen etwa 6 : 4.
Schulleitungsaufgaben werden in den meisten Schulen nicht nur vom Leiter der Schule selbst, sondern auch von weiteren Personen wahrgenommen. In Schaubild 1 wird dargestellt, welchen Anteil die einzelnen Funktionsinhaber zur Erledigung der gesamten Schulleitungsaufgaben beitragen.

2.3 Schulsekretariat und Hausmeisterdienst
An den 470 untersuchten Schulen sind auf 266,3 Stellen insgesamt 483 Sekretariatskräfte tätig. Acht Grund- und Hauptschulen sowie 57 selbstständige Grundschulen verfügen über kein Sekretariat. Des Weiteren sind auf 354,7 Stellen 477 Hausmeister eingesetzt. Die Übersicht 2 zeigt die Verteilung auf die Schularten und gibt an, wie viele Sekretariats- und Hausmeisterstellen im Durchschnitt je Schulart und Schule zur Verfügung stehen.

2.4 Einschätzungen zur Schulleitersituation
Die Fragen der Erhebung zielten darauf ab, eine Einschätzung der Schulleitersituation unter verschiedenen Aspekten zu ermöglichen. Die Schulleiter haben zu diesen Fragen überwiegend sehr substanzielle und differenzierte Antworten gegeben. Die wichtigsten Fragen und die dazu gegebenen Antworten werden im Folgenden zusammengefasst dargestellt.
2.4.1 Die Frage, ob in der Schulleitungspraxis eine angemessene Balance zwischen pädagogischer Führung und Verwaltungsmanagement gewährleistet ist, beantwortete die überwiegende Anzahl der Schulleiter unabhängig von der Schulart mit Nein und begründete dies vor allem mit fehlender Zeit für die pädagogischen Aufgaben.
Die Leiter von Gymnasien und Realschulen beklagen die fehlende Zeit hierfür deutlich häufiger als die Kollegen der Grund- und Hauptschulen. Während von den Leitern der beiden weiterführenden Schulen die Belastung mit zusätzlichen Verwaltungsangelegenheiten häufiger als Grund angegeben wird, fällt für die Leiter der Grund- und Hauptschulen eher ihr hohes Unterrichtsdeputat ins Gewicht, ebenso die unzureichende Assistenz.
2.4.2 Zu der Frage nach einer ausreichenden Vorbereitung auf die administrativ-organisatorischen bzw. pädagogischen Aufgaben eines Schulleiters antworteten die meisten Befragten, sie seien nur z. T. auf die administrativ-organisatorischen Aufgaben eines Schulleiters vorbereitet worden; ein Viertel verneinte dies sogar. Der höchste Anteil der Schulleiter, welche die Vorbereitung für ausreichend hielten, lag bei den Gymnasien, der niedrigste im Realschulbereich. Auch hinsichtlich der pädagogischen Schulleiteraufgaben gaben die meisten Befragten an, dass sie nur z. T. auf diese vorbereitet worden seien; etwa ein Fünftel beantwortete die Frage mit Nein.
2.4.3 Auf die Frage nach der Beurteilung des Fortbildungsangebots für Schulleiter, ergaben sich nicht sehr aussagekräftige Antworten. Zwar bewertete ein Drittel der Schulleiter das Fortbildungsangebot für Schulleiter positiv und nur ein geringerer Teil negativ. Allerdings bezog die Hälfte hierzu keine eindeutige Position. Auffällig ist, dass die Leiter der Realschulen deutlich zu einer negativen Beurteilung tendieren.
2.4.4 Die Antworten auf die Frage, ob die Unterstützung der Schulleitung durch das Schulsekretariat quantitativ und qualitativ für ausreichend gehalten wird, waren recht eindeutig.
Der quantitative Aspekt der personellen Ausstattung des Schulsekretariats wird von den Schulleitern überwiegend als unzureichend dargestellt. Dabei fällt der deutlich höhere Anteil bei den Grund- und Hauptschulen, insbesondere den Grundschulen auf. Während alle in die Untersuchung einbezogenen weiterführenden Schulen über ein Schulsekretariat verfügen, ist dies nicht bei allen Grund- und Hauptschulen der Fall. Immerhin fehlt bei acht Grund- und Hauptschulen und bei 57 selbstständigen Grundschulen ein Sekretariat. Der qualitative Aspekt wird zwar von der Mehrheit positiv bewertet, allerdings machten vor allem die Leiter von Gymnasien (20 %) und von Grund- und Hauptschulen (28 %) Mängel an der Qualität der Sekretariatskräfte geltend.
2.4.5 Auf die Frage: „Können Ihrer Ansicht nach ‚Schulassistenten’ mit einer speziellen schulbezogenen Verwaltungsausbildung eine sachgerechte Unterstützung der Schulleitung darstellen?“, äußerten nahezu drei Viertel aller Schulleiter die Auffassung, ein Schulassistent könnte die Schulleitung sachgerecht vor allem im administrativ-organisatorischen Bereich entlasten. Einzelne Schulleiter haben konkrete Aufgabenbeschreibungen für eine Assistenzkraft vorgelegt. Lediglich ein sehr geringer Teil hält das Schulsekretariat in der heutigen Form für ausreichend.
2.4.6 Auf die entsprechende Frage nach den Verwaltungsabläufen (Berichtswesen, Genehmigungen usw.) antwortete die Mehrheit der Schulleiter, diese seien verbesserungswürdig. Relevante Unterschiede bezüglich dieser Einschätzung gibt es zwischen den Schularten nicht. Sie werden gleichermaßen als belastend und ineffizient angesehen, nicht zuletzt wegen redundanter Datenerhebungen.
2.4.7 „Welche sächlichen und personellen Ressourcen sollten Ihnen für die Wahrnehmung Ihrer Schulleitungsaufgaben über die derzeitige Ausstattung hinaus zur Verfügung stehen?“ Die Antworten zeigt das Schaubild 2.

Mehr Assistenzkräfte wünschen sich die Schulleiter aller Schularten gleichermaßen. Unterschiede bestehen besonders bei der Forderung nach mehr Anrechnungsstunden für Schulleitungsaufgaben; die Leiter der Grund-, Haupt- und Realschulen wünschen dies viermal so häufig wie die der Gymnasien. Demgegenüber ist für die Gymnasien der Wunsch nach mehr Poolstunden und einer besseren Sachausstattung stärker ausgeprägt.
2.4.8 Nach den gegebenen Antworten zu der entsprechenden Frage plädieren drei Viertel aller Schulleiter für mehr Eigenständigkeit und Spielräume bei ihrer Arbeit. Nur ein vergleichsweise kleiner Teil gibt an, dass die Freiräume ausreichend seien, ein anderer wünscht sich keine weiteren Eigenständigkeiten und Spielräume, da dies nach deren Einschätzung zu zusätzlichen Belastungen führen würde.
Der Wunsch nach mehr Eigenständigkeit besteht mit Abstand am stärksten für den Bereich der Personalentscheidungen. Das Anliegen, über mehr Befugnisse im Bereich der Personalverantwortung (vor allem Lehrerauswahl und Lehrereinsatz) verfügen zu können, kommt bei allen Schularten sehr deutlich zum Ausdruck. In geringerem Maß, aber dennoch als bedeutsam, werden eigene Bewirtschaftungsbefugnisse bewertet. Die Einschätzung der pädagogischen Freiräume ist bei den einzelnen Schularten unterschiedlich. Die Gymnasien sind im Vergleich zu den Grund-, Haupt- und Realschulen mit den ihnen gegebenen Freiräumen zufriedener.
2.4.9 In Übereinstimmung mit dem Wunsch nach größeren Befugnissen im Personalbereich stehen die Antworten zu der Frage, ob die Möglichkeiten und Befugnisse der Schulleitung für ein effizientes Personalmanagement (Bedarfsplanung, Personalstrategie, Personalcontrolling usw.) für ausreichend gehalten werden.
Insgesamt halten mehr als zwei Drittel der befragten Schulleiter ihre Möglichkeiten und Befugnisse für ein effizientes Personalmanagement für nicht ausreichend. Die Schulleiter haben verschiedene Faktoren genannt, die einem ausreichend effizienten Personalmanagement entgegen stehen. So bemängeln sie hauptsächlich fehlende Befugnisse bei Personalentscheidungen, insbesondere halten sie sich bei der Stunden- und Lehrerzuweisung für nicht ausreichend beteiligt. Vor allem die Gymnasien sehen in der fehlenden Personalentscheidungskompetenz den Grund für ein nicht effizientes Personalmanagement. Hinzu kommt für die Grund- und Hauptschulen der unzureichende Gestaltungsspielraum bei der Stunden- bzw. Lehrerzuweisung. Weiter bemängeln sie die lückenhafte Transparenz in der Zusammenarbeit mit der Staatlichen Schulverwaltung.
2.4.10 Auf den wichtigen Aspekt der pädagogischen Führung zielte die Frage, ob diese unter den gegebenen rechtlichen und tatsächlichen Rahmenbedingungen sachgerecht wahrgenommen werden könne.
Eine deutliche Mehrheit der Schulleiter gibt an, dass bei den aktuellen rechtlichen wie tatsächlichen Rahmenbedingungen eine sachgerechte pädagogische Führung nicht geleistet werden könne. Mehr als drei Viertel der befragten Schulleiter machen geltend, dass sie hierfür vor allem mehr Zeit benötigen. Wenn auch mit einer deutlich geringeren Nennung wird auf fehlende Kompetenzen, Befugnisse und Zuständigkeiten hingewiesen, welche die pädagogische Führungsarbeit einschränken. Der Zeitmangel wird - trotz insgesamt großer Bedeutung - von den Schulleitern der verschiedenen Schularten nicht einheitlich bewertet. Die fehlenden Befugnisse werden vor allem von den Leitern der Gymnasien bemängelt.
2.4.11 Aus den Antworten auf die allgemeine Frage, für die Wahrnehmung welcher Schulleitungsaufgaben sich die Schulleiter mehr Zeit wünschen, lässt sich zugleich ableiten, welcher Stellenwert den einzelnen Aufgabenbereichen zugemessen wird. In Schaubild 3 sind die Aufgabenbereiche aufgelistet, für die sich die Befragten mehr Zeit wünschen.

Die innere Schulentwicklung und allgemein die pädagogischen Aufgaben rangieren danach an erster Stelle; sie sind für alle Schulleiter die wichtigsten Tätigkeiten, für die sie sich mehr Zeit wünschen. Die Rektoren der selbstständigen Grundschulen geben doppelt so häufig wie die Direktoren der Gymnasien an, mehr Zeit für Beratung von Schülern und Eltern haben zu wollen. Die Leiter der Gymnasien und der Realschulen geben häufiger den Wunsch an, über mehr Zeit für das Gespräch sowie die Personalführung und -betreuung verfügen zu können.
2.5 Schulleitung an kleinen Schulen
Der RH hat im Zusammenhang mit den Feststellungen, in welchem Umfang Schulleiter und deren Stellvertreter noch Unterricht erteilen, auch untersucht, in welchem Verhältnis die Anrechnungsstunden für Schulleitungsaufgaben zum Umfang der einer Schule insgesamt zur Verfügung stehenden Lehrerwochenstunden steht. Bei den 130 in die Untersuchung aufgenommenen Grund- und Hauptschulen liegt der Anteil zwischen 2,2 % und 5,4 %, bei den 192 selbstständigen Grundschulen jedoch zwischen 3,1 % und 14,6 %. Eine detaillierte Betrachtung lässt erkennen, dass eine kleine Schulgröße zu einem höheren Anteil von Anrechnungsstunden führt. Den Schulleitungen selbstständiger Grundschulen werden deutlich mehr Anrechnungsstunden gewährt als denen größerer Schulen.
Auch bei den weiterführenden Schulen ist der Quotient deutlich niedriger; bei den Realschulen liegt der Anteil zwischen 2,4 % und 4,1 % und bei den Gymnasien zwischen 2,3 % und 3,0 %.
3 Bewertung
3.1 Aktuelle Situation der Schulleitung
Die Angaben zur tatsächlichen Aufgabenwahrnehmung geben Hinweise darauf, dass die Schulleiter meinen, ihre Führungsaufgaben als Kernauftrag unter den gegebenen Bedingungen nicht ausreichend erfüllen zu können. Insbesondere fehle die angemessene Balance zwischen pädagogischen Führungsaufgaben und administrativ-organisatorischen Tätigkeiten.
Die Auswertung der Fragebögen und die geführten Interviews machen ferner deutlich, dass die Schulleiter sich größtenteils als sehr belastet einschätzen; ihnen fehle trotz großen persönlichen Engagements genügend Zeit für die Wahrnehmung wichtiger Aufgaben. Einen wesentlichen Grund hierfür sehen sie in der Fülle von laufenden Schulverwaltungsangelegenheiten, die ständig an Umfang zunehmen und einen erheblichen Zeitaufwand erforderten. Außerdem halten sie die Effizienz der Verwaltungsabläufe für unzureichend. Im Übrigen sind Defizite bei der Unterstützung in der Schulleitung und bei der Vorbereitung auf die speziellen Anforderungen dieser Aufgaben, vor allem im Verwaltungsbereich sowie bei der berufsbegleitenden Fortbildung zu erkennen.
Der Zeitmangel spielt bei den Aussagen zu den Rahmenbedingungen der sachgerechten Wahrnehmung von wichtigen Führungsaufgaben eine absolut dominierende Rolle; Probleme fehlender Befugnisse und Kompetenzen stehen demgegenüber deutlich zurück. Gleichwohl sind auch Wünsche nach mehr Zuständigkeiten und Freiräumen erkennbar.
3.2 Aufgabenwahrnehmung der Schulleitungen
3.2.1 Tatsächliche Situation
Ein wesentlicher Befund ist, dass nach den Angaben der befragten Schulleiter aller Schularten der administrativ-organisatorische Aufgabenbereich mit etwa 60 % der Gesamtaufgaben überwiegt, der Bereich der pädagogischen Gestaltungsaufgaben lediglich einen Anteil von 40 % einnimmt.
Schulleitung ist ihrem Wesen nach in erster Linie als Führungsaufgabe zu verstehen. Deshalb muss der Anteil von Routineaufgaben im administrativ-organisatorischen Bereich deutlich zurücktreten.
Die Angaben der befragten Schulleiter zur Aufgabenwahrnehmung lassen erkennen, dass die tatsächlich wahrgenommenen Tätigkeiten in einem beträchtlichen Umfang nicht als Führungsaufgaben bezeichnet werden können. Dies betrifft vor allem den Bereich der administrativ-organisatorischen Tätigkeiten. Hier müssen sich die Schulleitungen mit vielen Aufgaben der Alltagsroutine befassen (Statistiken, Berichten, Haushaltsfragen, Anschaffungen, Gebäudeangelegenheiten, Anforderungen der Schulverwaltung, Besprechungen mit Vertretern des Schulträgers und sonstigen lokalen Einrichtungen, Vereinen usw.). Hierunter fallen nicht selten auch Aufgaben, die eigentlich dem Schulträger obliegen. Schulleiter berichteten, dass sie z. B. DV-Netzwerke einrichten und die dafür erforderliche Verkabelung legen (müssen). Nicht selten organisieren und überwachen sie Bauunterhaltungs- und Neubaumaßnahmen, möblieren Klassen- und Lehrerzimmer, beseitigen Störungen im Sanitärbereich und wechseln sogar Türschlösser und Glühlampen.
3.2.2 Aufgabenkritik
Die von den Schulleitern dargestellte aktuelle Situation der Schulleitung, insbesondere die zunehmende Belastung mit Verwaltungsaufgaben, macht es nach Auffassung des RH auch unter wirtschaftlichen Aspekten erforderlich, den Aufgaben-Bestand kritisch zu analysieren. Dabei ist zu überprüfen, wie die Aufgaben effizient erledigt werden können. Die Prüfung sollte von dem Ziel getragen sein, die Aufgaben der Schulleiter (und deren ständigen Vertretern) auf die wesentlichen Führungs- und Entwicklungsaufgaben zu fokussieren, die für die bestmögliche Erfüllung des Bildungsauftrags erforderlich sind. Die dahin gehenden Überlegungen des KM zur neuen Definition der Rolle der Schulleitung gehen auch nach Überzeugung des RH in die richtige Richtung.
Außerdem sind die Arbeitsabläufe durch Rationalisierung und Straffung, insbesondere im Bereich der Verwaltung sowohl innerhalb der Schule als auch im Verhältnis zur Schulaufsicht und zum Schulträger, verbesserungsfähig.
Die Entlastung der Schulleiter von Arbeiten, die nicht zum Kernbereich der Leitungstätigkeiten gehören, ist auch wirtschaftlich geboten. Schulleiter sind gegenüber den Lehrern ihrer Schule wegen der höheren Anforderungen und der größeren Verantwortung in höhere Ämter eingestuft. Wenn diese „teure“ Personalressource tatsächlich in erheblichem Umfang nicht für Führungsaufgaben eingesetzt wird, so ist dies weder sachgerecht noch wirtschaftlich.
3.3 Unterstützung der Schulleiter
3.3.1 Einbeziehung weiterer Lehrkräfte in die Schulleitung
Die Schulleitungsaufgaben sind je nach Schulart und Schulgröße auf mehr oder weniger Personen der Schule verteilt (s. Pkt. 2.2). An Gymnasien nehmen die Schulleiter knapp unter 40 % der Schulleitungsaufgaben wahr, während ein Drittel dieser Aufgaben von „Studiendirektoren zur Koordinierung schulfachlicher Aufgaben“ übernommen wird. Diese eigens ausgewiesenen Funktionsstellen gibt es allerdings nur an Gymnasien.
Die Möglichkeiten der Delegation von Schulleitungsaufgaben sind bei den Grund-, Haupt- und Realschulen geringer, weil weniger oder keine Funktionsstellen zur Verfügung stehen. Die Leiter der Grundschulen weisen mit 72 % den höchsten Anteil an den Gesamtaufgaben der Schulleitung auf.
3.3.2 Unterstützung durch Schulsekretariate
Die Schulleiter haben überwiegend bekundet, dass die Unterstützung durch die Schulsekretariate unzureichend ist. Das hier zur Verfügung stehende Personal reicht nicht aus, um eine ausreichende Entlastung der Schulleitung, insbesondere von Routineangelegenheiten sicher zu stellen. Völlig unbefriedigend ist die Situation an den Schulen, an denen ein Schulsekretariat gänzlich fehlt; dies betrifft immerhin fast ein Viertel der in die Untersuchung einbezogenen Schulen, vor allem selbstständige Grundschulen. Auch die Qualität der Sekretariatskräfte entspricht nicht immer den Anforderungen.
Die Zahl der zu stellenden Sekretariatskräfte wird von den Schulträgern hauptsächlich nach der Schülerzahl bestimmt. Unberücksichtigt bleibt, dass unabhängig von der Schulgröße ein Mindestumfang von Schulleitungsaufgaben zu leisten ist. Gymnasien werden durchschnittlich besser als andere Schulen mit Sekretariatskräften ausgestattet. Auf die Auswahl der Sekretariatskräfte haben die Schulleiter meist keinen Einfluss. Da es keinen Ausbildungsberuf und kein tariflich vorgegebenes Berufsbild der Schulsekretärin gibt, besteht auch kein einheitliches Anforderungsprofil, sodass die Kenntnisse, Fähigkeiten und Berufserfahrungen der ausgewählten Personen sehr unterschiedlich sind.
Die - insbesondere quantitativen - Defizite bei der Unterstützung der Schulleitung durch Sekretariatskräfte wirken sich nachhaltig zulasten der mit der Schulleitung betrauten Lehrer und damit zulasten des Landes aus. Nach Auffassung des RH ist diese Situation unbefriedigend. Dass auch die Unterstützung durch das ebenfalls vom Schulträger zu stellende Hausmeisterpersonal nicht immer ausreichend ist, belegen die Aussagen über diverse von Schulleitern zu erledigende Arbeiten im Bereich der Betreuung von Gebäuden und Ausstattung.
3.3.3 Unterstützung durch die Schulverwaltung
Die Schulleitungen haben in zahlreichen Fällen mit der Staatlichen Schulverwaltung bzw. dem Schulträger zusammen zu arbeiten. Die Praxis der Zusammenarbeit zeichnet sich nach den Aussagen vieler Schulleiter dadurch aus, dass die damit verbundenen Verwaltungsabläufe zu formal und zu bürokratisch, d. h. insgesamt wenig effizient seien, und in mancherlei Hinsicht auch die notwendige Unterstützung fehle.
Schlanke Arbeitsprozesse mit möglichst wenig Arbeitsschritten und Schnittstellen würden die Schulleitungen bei der Erledigung der unvermeidbaren Arbeiten nicht unwesentlich entlasten. Auch aus Sicht der Finanzkontrolle könnten die auf eine Initiative des RH in der Denkschrift 1997, Nr. 8, zurückgehenden und derzeit im IuK-Projekt „Schulverwaltung am Netz“ entstehenden DV-Verfahren geeignete Instrumente zur Entlastung der Schulen und der Schulverwaltung von Verwaltungsarbeit werden. Der RH hat das KM allerdings darauf hingewiesen, dass das Projekt erheblich teurer werde als geplant und seine Umsetzung zu lange dauere.
Außerdem erscheint es angezeigt, dass die Schulaufsicht sich stärker als bisher auch als Serviceeinrichtung für die Schulen versteht. Den Schulen, vor allem den kleinen Grundschulen, sollte bei der Erfüllung von Verwaltungsaufgaben schnell zugängliche Hilfe und direkter Rat gegeben werden. Zu prüfen wäre auch, inwieweit die Kompetenz für einzelne Verwaltungsaufgaben gebündelt werden kann.
3.3.4 Weitere Unterstützung
Viele Aufgaben der Schulleitung müssen nicht zwingend von einem ausgebildeten Lehrer wahrgenommen werden. Daher liegt es nahe, einen größeren Katalog von Tätigkeiten Mitarbeitern zu übertragen, die nach ihrer beruflichen Qualifikation für derartige Verwaltungstätigkeiten geeignet wären. Die befragten Schulleiter sind übereinstimmend der Meinung, dass ein sog. Schulassistent mit schulbezogener Verwaltungsausbildung sie bei administrativ-organisatorischen Arbeiten entlasten könnte. Da die Schulassistenten spezifisch ausgebildet wären, dürfte ein hoher Grad an Effektivität bei der Aufgabenerledigung zu erwarten sein. Sie sollten einen Aufgabenbereich zwischen Schulleitung und Schulsekretariat übernehmen, den Schulleiter und Schulsekretärin von ihrer Qualifikation her nicht abdecken.
Der Einsatz von Schulassistenten muss so organisiert werden, dass er für das Land und nach Möglichkeit auch für die Kommunen im Ergebnis mindestens kostenneutral ist. Dies ist zu erreichen, wenn
- die - beim höher bezahlten - Schulleiter freiwerdenden Ressourcen optimal eingesetzt werden,
- Schulassistenten nur bei größeren Schulen zum Einsatz kommen und im Übrigen die Assistenten-Aufgaben gebündelt werden,
- auf einen Teil jetzt vorhandener Sekretariatskräfte verzichtet wird,
- Ressourcen, die in Folge einer Reduzierung der Zahl kleiner Schulen frei werden, hierfür eingesetzt werden (s. Pkt. 3.5).
Sollten dennoch Mehrkosten entstehen, wären diese nach Auffassung des RH den Kommunen zuzuordnen, da es um eine bessere Wahrnehmung von Aufgaben des Schulträgers geht.
3.4 Qualifizierung von Schulleitern
Die Aussagen der Mehrzahl der Schulleiter, sie seien nur unzureichend auf die administrativ-organisatorischen wie auch die pädagogischen Aufgaben von Schulleitung vorbereitet worden, sind ein Hinweis darauf, dass die Qualifizierung für den Beruf des Schulleiters bisher nicht optimal ist. Die seit einigen Jahren vorgesehenen Fortbildungsmaßnahmen für angehende oder neu bestellte Schulleiter haben zwar zu einer Berufsvorbereitung beigetragen; offensichtlich wird dies von den Betroffenen weder konzeptionell noch von der inhaltlichen Breite her als ausreichend empfunden.
Lehrkräfte werden im Studium und im Vorbereitungsdienst vorrangig für die Erteilung von Fachunterricht ausgebildet, nicht jedoch für die Tätigkeit des Schulleiters. Um diesen Beruf erfolgreich ausüben zu können, bedarf es nicht nur besonderer Führungsqualitäten und sozialer sowie organisatorischer Kompetenz, sondern auch des Erwerbs weiterer Fähigkeiten. Die jetzt vorgesehenen berufsbegleitenden Seminare für pädagogische Führungskräfte in Form von sechs Fortbildungsmodulen stellen nach Auffassung des RH eine deutliche Verbesserung dar, denn sie bieten beispielsweise Lehrgänge zum Qualitätsmanagement, zur effizienten Gestaltung von Verwaltung, zur reflektierten Führungspraxis, zum Kommunikationstraining und Konfliktmanagement an und setzen damit die sachgerechten Akzente.
3.5 Sondersituation der kleinen Schulen
Wie dargestellt ist der Anteil von Anrechnungsstunden für Schulleitungsaufgaben an kleinen Schulen in Bezug auf die Gesamtheit der zur Verfügung stehenden Deputate aller an der Schule tätigen Lehrkräfte überproportional hoch. Würde der Anteil bei den kleinen Grundschulen entsprechend reduziert werden, so wäre eine qualifizierte Schulleitung nicht mehr zu leisten. Deshalb kann eine sachgerechte Schulleitung nur dann wirtschaftlich sein, wenn die Schule eine bestimmte Mindestgröße hat.
Die kürzlich vorgenommene Anhebung der Mindestanrechnungsstunden von fünf auf sieben Wochenstunden zeigt, dass die Kultusverwaltung diesen Wert als Mindestbedarf für Schulleitungsaufgaben ansieht. In Anbetracht der derzeit gültigen Berechnungsgrundlagen für solche Anrechnungsstunden besteht nur dann ein wirtschaftliches Verhältnis zwischen diesen und den gesamten Lehrerwochenstunden, wenn an einer Schule mindestens sieben Klassen gebildet sind.
In die Untersuchung einbezogen waren 192 Grundschulen. Davon haben 97 Schulen weniger als 7 Klassen. Insgesamt waren an diesen Schulen 394 Klassen vorhanden. Für die 97 kleinen Grundschulen ergibt sich bei 7 Mindestanrechnungsstunden je Schule ein Volumen von 679 Stunden. Würden die 394 Klassen dieser Schulen bei anderen Schulen gebildet, so wären entsprechend der Berechnungsgrundlage „je Klasse eine Anrechnungsstunde“ nur noch 394 Anrechnungsstunden für Schulleitungsaufgaben erforderlich. Es könnten somit 285 Stunden eingespart werden, dies entspricht rd. 10 Lehrerstellen. Voraussetzung hierfür ist die Einführung einer Mindestgröße für Grundschulen von mindestens sieben Klassen, unter Berücksichtigung der vier Jahrgangsstufen sind jedoch bei einer Zweizügigkeit wenigstens acht Klassen sinnvoll.
Derzeit bestehen im Land 637 kleine Grundschulen mit weniger als 7 Klassen und einer Gesamtklassenzahl von 2.418. Für diese Schulen werden bei mindestens 7 Anrechnungsstunden je Schulleiter insgesamt 4.459 Stunden benötigt. Der Einspareffekt beliefe sich hier auf 2.041 Stunden bzw. rd. 70 Lehrerstellen.
3.6 Perspektiven von Schulleitungsarbeit
Die Schulleiter bekunden, dass sie bereits heute über zahlreiche Instrumentarien verfügen, um die innere Schulentwicklung voranzubringen. Zugleich beklagen sie, dass der Einsatz dieser Mittel und die konsequente Umsetzung ihrer Vorstellungen zur inneren Schulentwicklung von faktischen Umständen und rechtlichen Vorgaben behindert wird. Faktisch fehlt es nach Einschätzung der überwiegenden Zahl der Schulleiter vor allem an ausreichenden zeitlichen und sachlichen Ressourcen. Bei der rechtlichen Situation sehen sie Veränderungsbedarf für die eigenen Kompetenzen. Sie streben erweiterte Befugnisse gerade im Bereich der Personalarbeit an, so bei der Auswahl und Einstellung von Lehrern und Unterstützungskräften, aber auch bei vielen anderen personalrechtlichen Maßnahmen. Aber auch in anderen Bereichen besteht der Wunsch nach mehr Eigenständigkeit, wie z. B. bei der Budgetverantwortung.
Das Verlangen der Mehrheit der Schulleiter nach mehr Eigenständigkeit und der Einräumung erweiterter Befugnisse steht nur scheinbar im Widerspruch zur Klage, dass sie bereits jetzt überlastet sind und für wichtige Aufgaben zu wenig Zeit haben. Es geht hier vielmehr darum, dass die Schulleiter die Bedeutung der eigentlichen Führungsaufgaben richtig einschätzen können, insbesondere bei den gestaltenden und planenden Aufgaben der Schulprogrammarbeit. Hierfür fordern sie angesichts der aktuellen Rahmenbedingungen konsequenterweise, dass ihnen künftig die notwendigen Freiräume zur Verfügung stehen sollten. Dazu gehört vor allem, dass sie von vielen administrativ-organisatorischen Tätigkeiten entlastet sowie personell und sachlich ausreichend ausgestattet werden.
Nach Auffassung des RH sollte überprüft werden, ob die rechtlichen und tatsächlichen Rahmenbedingungen der Leitung einer Schule der Gesamtverantwortung des Schulleiters und den heutigen Anforderungen an die pädagogische Führung, insbesondere für die innere Entwicklung der Schule, noch gerecht werden.
4 Empfehlungen
Die Ergebnisse der Untersuchung zur aktuellen Situation der Schulleitung zeigen in verschiedener Hinsicht Handlungsbedarf auf. Der RH empfiehlt,
- im Sinne einer Aufgabenkritik die von den Schulleitern selbst wahrzunehmenden Tätigkeiten auf den zwingend notwendigen Umfang der wirklichen Führungsaufgaben zu konzentrieren und die Schulleiter insbesondere von den administrativ-organisatorischen Arbeiten der Alltagsroutine weitestgehend zu entlasten (Neudefinition des Aufgabenspektrums Schulleitung),
- Möglichkeiten einer wirkungsvolleren Unterstützung der Schulleitungen zu prüfen,
- die Eigenverantwortung der Schulleitungen durch Zuweisung von größeren Entscheidungsbefugnissen, vor allem im Personalbereich und beim Budget, zu stärken und größere Spielräume für die Planung und Gestaltung der inneren Schulentwicklung zu gewähren,
- die Vorbereitung künftiger Schulleiter auf die Aufgaben der Schulleitung weiter zu verbessern und ihre Fortbildung als ständige Weiterqualifikation zur Anpassung an sich verändernde Anforderungen auszugestalten,
- alle Verwaltungsaufgaben auf ihre Notwendigkeit und Effektivität zu überprüfen,
- alle Verwaltungsabläufe zu vereinfachen, insbesondere auch das Berichtswesen und die Erhebung statistischer Daten (unter Verzicht auf redundante Daten) zu rationalisieren und mit IuK-Technologie zu unterstützen,
- die Zahl der kleinen Schulen deutlich zu reduzieren.
5 Stellungnahme des Ministeriums
Das KM teilt mit, dass die früheren Richtlinien über die Ausstattung der Schulen mit Verwaltungskräften im Zuge der Deregulierung 1996 endgültig aufgehoben wurden. Im Übrigen seien die aufgabengerechte Ausstattung der Schulsekretariate und ein Mindestmaß an Sekretariatsstunden weisungsfreie Pflichtaufgaben, die nach der bisherigen Haltung des IM und der kommunalen Landesverbände im alleinigen Verantwortungsbereich der Kommunen bleiben sollen. Der Versuch einer erneuten Regelung könnte nur dann unternommen werden, wenn ein sachgerechtes Maß für die vorgeschlagene Mindestausstattung gefunden werde, das für das Land, die Schulen und die kommunalen Schulträger akzeptabel wäre.
Mit dem Thema Schulassistenz befasse sich derzeit eine vom KM und den kommunalen Spitzenverbänden eingerichtete gemeinsame Arbeitsgruppe. Sie solle u.a. prüfen, welche Tätigkeiten nicht zwingend von der Schulleitung selbst zu erledigen seien und daher auf einen Schulassistenten übertragen werden können. Außerdem solle sie die Rahmenbedingungen für einen Pilotversuch entwickeln.
Die Einrichtung von Servicestellen bei den Staatlichen Schulverwaltungsbehörden entspreche den Zielsetzungen des KM für die zukünftige Arbeit der Schulaufsicht als Unterstützungs- und Beratungssystem für die Schulen. Hierzu seien bereits entsprechende Aufträge des Ministerrats und der Haushaltsstrukturkommission ergangen. Ein wichtiger Baustein sei die Neustrukturierung des Landesinstituts für Erziehung und Unterricht, das zu einer zentralen Einrichtung des Kultusressorts für wissenschaftlich-pädagogische Dienstleistungen werden soll.
Bereits in seinem Bericht „Schulleitung - ein Berufsbild im Wandel“ habe das KM die Notwendigkeit des Paradigmenwechsels bei der Arbeitszeit von Schulleiterinnen und Schulleitern formuliert. Deren Arbeitszeit solle sich deshalb künftig in zwei Bereiche gliedern, in die Leitungszeit und die Unterrichtszeit. Die Realisierung einer angemessenen Leitungszeit werde angesichts der finanziellen Situation des Landes nur mittel- bis langfristig und in Stufen möglich sein. Erste Maßnahmen seien bereits getroffen worden.
Der Ansatz, die Eigenständigkeit der Schule zu fördern, werde vom KM seit 1982 planmäßig verfolgt; das Ministerium verweist hierzu auf verschiedene Maßnahmen. Auch habe die Firma Kienbaum schon in einem Gutachten von 1995 den bisherigen Kurs der Organisationsentwicklung im Kulturressort bestätigt. Das Ministerium bemühe sich, den Rahmen für die innere Schulentwicklung zu verbessern.
Auch aus Sicht des KM wäre die Verstärkung der vorauslaufenden Qualifizierung für Führungskräfte wünschenswert, allerdings stünden hierfür keine Ressourcen zur Verfügung. So setze es weiterhin auf berufsbegleitende Seminare mit modularem Aufbau.
Die Schulverwaltung müsse, so das KM, auf Grund der Bedeutung des Erziehungsauftrags und des starken Interesses der Öffentlichkeit an der Schule ihre Leistungsfähigkeit immer neu unter Beweis stellen. Dies zwinge zur ständigen Anpassung der Verfahren und Strukturen der Schulverwaltung an neue Anforderungen. So sei z. B. im Rahmen des Vorhabens „Schulverwaltung am Netz (SVN)“ vorgesehen, eine einfache, schnelle, leicht zu benutzende Kommunikationsmöglichkeit zwischen Schulen und der Kultusverwaltung, den Schulen selbst sowie zwischen Schulen und externen Stellen zu schaffen. Mit SVN würden neben der Ermittlung und Auswertung der Daten zur amtlichen Schulstatistik, auch Perspektiven für weitere Anwendungen, insbesondere im Bereich der Personalverwaltung, aufgezeigt.
Das KM weist im Ergebnis darauf hin, dass die Existenz kleiner Schulen nicht ausschließlich von wirtschaftlichen Gesichtspunkten abhängig gemacht werden dürfe. Auch seien kleine Grund- und Hauptschulen besonders leistungsfähig und eröffneten für Kinder des ländlichen Raums alle Zukunftschancen. Ferner könne die Aufhebung kleiner Schulen nur dort in Betracht kommen, wo insbesondere die Schulträger entsprechend den Regelungen des Schulgesetzes eine solche Maßnahme beantragen.
6 Schlussbemerkung
Dem RH ist bewusst, dass in einer äußerst schwierigen Haushaltslage der öffentlichen Hände die Möglichkeiten sehr begrenzt sind, die Ausstattung der Schulleitungen mit besseren sächlichen und personellen Ressourcen erheblich und nachhaltig zu verbessern. Jedoch erscheint es geboten, zumindest die aufgezeigten Mängel an Effizienz abzubauen. Dies müsste mit intelligenten Umschichtungen der Ressourcen und Rationalisierungen insbesondere des Verwaltungshandelns gelingen. Dies ist umso mehr geboten, als es ein wichtiges Anliegen sein muss, in die Qualität von Schulleitung und die Qualifikation der Schulleiter zu investieren. Denn die Ergebnisse der PISA-Studie lassen gerade auch hierfür Handlungsbedarf erkennen, damit die innere Schulentwicklung in allen ihren Handlungsfeldern, wie z. B. der Qualitätssicherung, der Installierung einer Evaluations- und Feedbackkultur, der Profilbildung usw., bestmöglich und Erfolg versprechend betrieben werden kann. Den Schulleitern kommt hierbei eine entscheidende Bedeutung zu; denn sie müssen in aller erster Linie die Rolle der Innovatoren, der kreativen Planer und Gestalter und der Motivatoren für die gemeinsame teamorientierte Entwicklung mit dem Lehrerkollegium aktiv wahrnehmen.
Die Leistungen der zahlreichen Arbeitsgruppen, Projekte und Pilotversuche sind anerkennenswert; deren Arbeit bleibt aber wirkungslos, wenn die operative Umsetzung der Ergebnisse nur halbherzig realisiert wird oder gar ausbleibt. Der Hinweis auf fehlende Ressourcen überzeugt nicht, solange nicht Wirtschaftlichkeitsreserven (kleine Schulen, Erhöhung der Effizienz) ausgeschöpft sind und begründete Forderungen an die Schulträger klar formuliert und ausverhandelt sind.
Angesichts der beabsichtigten engeren Verzahnung von Schulverwaltung und kommunaler Ebene sollte es möglich sein, die Frage einer professionellen Schulassistenz zufriedenstellend zu lösen.
Anhänge
Einzelplan 05: Justizministerium
Die Kommission zur Einweisung von Gefangenen in die Justizvollzugsanstalten ist nicht mehr erforderlich und kann aufgelöst werden. Derzeit werden bei der Kommission noch 4,2 Bedienstete eingesetzt. Das Justizministerium will ihre Auflösung in ein bis zwei Jahren umsetzen.
1 Ausgangslage
Gemäß § 152 Abs. 1 Strafvollzugsgesetz (StVollzG) regelt die Landesjustizverwaltung die örtliche und sachliche Zuständigkeit der Justizvollzugsanstalten (JVAen) in einem Vollstreckungsplan. Die Bundesländer haben die Möglichkeit, besondere Einweisungsanstalten oder -abteilungen einzurichten. Baden-Württemberg hat sich für die Einrichtung einer zentralen Einweisungskommission (EWK) entschieden. Diese Art der Zuweisung ist nicht zwingend. Nach § 152 Abs. 3 StVollzG ist die Verteilung der Gefangenen auf der Grundlage eines Vollstreckungsplanes ausreichend. Elf Bundesländer haben keine zentrale Einweisungsanstalt oder -abteilung.
Die Zuständigkeit der EWK ist im Vollstreckungsplan geregelt. Zusätzlich hat das JuM eine Einweisungs-AV erlassen, die weitere Vorgaben für die EWK enthält. Vollstreckungsplan und Einweisungs-AV zusammen geben der EWK letztlich nur einen begrenzten Handlungsspielraum.
Der RH hatte die EWK bereits 1987 einmal geprüft (s. Denkschrift 1988, Nr. 16) und das JuM um Prüfung gebeten, ob die EWK aufgelöst werden könne. Für den Fall der Beibehaltung der EWK hatte der RH Einsparpotenziale, insbesondere im Personalbereich, aufgezeigt.
Das JuM hatte sich damals für die Beibehaltung der EWK entschieden und begründete dies im Wesentlichen mit dem Erhalt der JVA Ulm als Anstalt des offenen Vollzuges, die den größten Teil der Gefangenen über die EWK zugewiesen bekommen hatte. Weitere Argumente für den Fortbestand hatte das JuM in den flexiblen und individuellen Entscheidungen über Abweichungen vom Vollstreckungsplan und in der Belegungssteuerung der Anstalten gesehen.
Die ursprünglich elf Mitglieder zählende EWK war bereits vor der damaligen Prüfung durch den RH deutlich reduziert worden. Nach der Prüfung im Jahr 1987 wurden die Mitglieder der EWK von fünf auf vier verringert. Der RH hatte zum damaligen Zeitpunkt zwei Stellen für ausreichend erachtet. Derzeit ist die EWK mit drei Mitgliedern besetzt.
Die erneute Prüfung des RH hatte das Ziel festzustellen, ob die damaligen Gründe für die Beibehaltung der EWK fortbestehen und die aufgezeigten Einsparpotenziale realisiert wurden.
2 Entscheidungen der Einweisungskommission
Im Jahr 2001 wurden von 1.049 Einweisungsentscheidungen 973 (92 %) nach allgemeinen Kriterien des Vollstreckungsplanes getroffen. Darin enthalten sind 11 % Einweisungen in den offenen Vollzug. Hieraus lässt sich ableiten, dass in 81 % aller Fälle die Entscheidungen der EWK auf der Grundlage des Vollstreckungsplans nach Aktenlage hätten getroffen werden können. Bei weiteren 3 % wurde lediglich vom Kriterium der Wohnortnähe abgewichen, sonst jedoch eine Einweisungsentscheidung nach Vollstreckungsplan getroffen.
Einen Überblick über die Aufteilung der Verfahrensabschlüsse des Jahres 2001 gibt Schaubild 1.

Lediglich in 48 Fällen (5 %) kam es zu echten Abweichungen vom Vollstreckungsplan und damit zu individuellen Entscheidungen der EWK. Die Gründe hierfür sind meist eine notwendige Mittätertrennung, seltener die jeweilige Belegungssituation der Anstalten oder die Möglichkeit einer Berufsausbildung. Lediglich in neun Fällen des Jahres 2001 musste wegen der Belegungsfähigkeit einzelner Anstalten eine abweichende Entscheidung getroffen werden.
Angesichts der geringen Anzahl echter Abweichungen und der hohen Anzahl von Einweisungen in vorgegebene wohnortnahe Anstalten sind nach Auffassung des RH die allgemeinen Kriterien des Vollstreckungsplanes ausreichend und geeignet, die vorgesehene Belegung der Einweisungsanstalten zu erreichen. Dafür ist die Mitwirkung einer zentralen EWK nicht nötig.
3 Belegungssteuerung
Die Einweisungs-AV Teil II gibt vor, dass in den JVAen Heimsheim, Ravensburg, Rottenburg und Schwäbisch Hall für die EWK nur eine beschränkte Zahl von Haftplätzen zur Verfügung steht, die vom JuM jeweils gesondert festgesetzt wird (Kontingente). Diese Kontingente sollen den Charakter einer Anstalt erhalten, insbesondere beim Heranwachsenden- oder Kurzstrafenvollzug. Im Jahr 2002 waren regelmäßig alle Kontingente deutlich überschritten.
Die Festlegung der Kontingente und evtl. Änderungen der Belegungsmöglichkeiten durch die EWK werden vom JuM veranlasst. Insoweit werden grundlegende Steuerungsfunktionen für die Belegung von Haftanstalten bereits außerhalb der EWK vom JuM wahrgenommen. Bei regelmäßig deutlichen Überschreitungen der Kontingente stellt sich jedoch die Frage nach deren Sinn.
Die EWK verfügt über keine tagesaktuellen Belegungsübersichten der JVAen. Derzeit erfolgt wöchentlich per Telefax eine Mitteilung der Einweisungsanstalten. Ein Gesamtüberblick über die Arbeitsplatzsituation in den JVAen ist bei der EWK ebenfalls nicht vorhanden. Lediglich wenige schriftliche oder telefonische Anfragen wurden von einzelnen JVAen wegen der Zuweisung von Fachkräften an die EWK gerichtet.
Der RH stellte fest, dass die Einweisungspraxis der EWK keinen nennenswerten Beitrag zur Belegungssteuerung der JVAen leistet.
4 Belegung des offenen Vollzuges
Die Belegungssituation der JVAen in Baden-Württemberg stellt sich im geschlossenen und offenen Vollzug unterschiedlich dar. Der geschlossene Vollzug ist weit stärker belastet als der offene Vollzug. Die EWK weist Gefangene in den offenen Vollzug der JVAen Ulm, Kislau und Sachsenheim ein. In der JVA Ulm, der größten Einrichtung des offenen Vollzuges, befanden sich im Prüfungszeitraum mehr als die Hälfte der Gefangenen nicht auf Grund von Einweisungen der EWK. Die Anstalten Kislau und Sachsenheim waren zum Prüfungszeitpunkt ebenfalls nahezu ausschließlich mit Gefangenen belegt, die nicht über die EWK eingewiesen worden waren. Hauptursache dafür ist die seit der letzten Prüfung erfolgte Änderung des Vollstreckungsplans, wonach bestimmte Gefangene auch ohne Einweisung der EWK unmittelbar in den offenen Vollzug eingewiesen werden können.
Der RH hatte empfohlen, die bisherigen Aufgaben der EWK bei Einweisungen in den offenen Vollzug insgesamt durch den Vollstreckungsplan zu regeln. Entscheidungen über die Eignung der Gefangenen für diese Vollzugsform können - soweit notwendig - durch die jeweiligen Anstaltsleiter erfolgen.
Auch für die Belegungssicherung des offenen Vollzuges ist ein Fortbestand der EWK nicht mehr erforderlich.
5 Vollzugsgestaltung
Die EWK soll gemäß den Vorgaben der Einweisungs-AV auch die Kriterien Beschäftigungsmöglichkeiten, Aus- und Fortbildungsmöglichkeiten und besondere Behandlungsangebote in den JVAen berücksichtigen. Durch konkrete Vorgaben des Vollstreckungsplans und der Einweisungs-AV sowie die Erweiterung von Zuständigkeitsbereichen der JVAen finden diese Kriterien in der Praxis selten Berücksichtigung. In den ersten zwei Monaten des Jahres 2001 wurden nur in fünf Fällen (2,4 %) entsprechende Empfehlungen zur weiteren Vollzugsgestaltung gegeben. Hierbei handelte es sich meist um Therapie- oder Behandlungsempfehlungen.
Die Entscheidungen der EWK haben nach Ansicht des RH kaum Einfluss auf die Vollzugsgestaltung.
6 Alternativkonzept
Der RH hält auf Grund der Prüfungsfeststellungen die Auflösung der EWK und die Einweisung der Gefangenen durch die JVAen bzw. Staatsanwaltschaften auf der Grundlage allgemeiner Kriterien eines Vollstreckungsplans für praktikabel und wirtschaftlich geboten. Bei Wegfall der derzeit noch bei der EWK eingesetzten 4,2 Personalstellen könnte eine jährliche Personalkosteneinsparung von 324.000 € erzielt werden. Hierfür sprechen folgende Erwägungen:
Mindestens 81 % aller Einweisungen der EWK in den geschlossenen Vollzug entsprachen bereits 2001 vorgegebenen Kriterien des Vollstreckungsplans. Bei der Zuweisung eines entsprechenden Gefangenenanteils wird sich durch eine Auflösung der EWK im Ergebnis nichts ändern. Die verbleibenden Fälle erfordern individuelle Entscheidungen der Anstaltsleiter und Staatsanwaltschaften. Ein Großteil davon betrifft die Einweisung von Gefangenen in den offenen Vollzug und die damit verbundene Feststellung der Eignung von Gefangenen für diese Vollzugsform. Hier sollten den Anstaltsleitern ähnliche Möglichkeiten eingeräumt werden wie bislang der EWK.
Der RH rechnet nicht damit, dass Einweisungen in die JVA Ulm nach Wegfall der EWK in weniger Fällen erfolgen. Die JVA Ulm nimmt mit ihren internen Beschäftigungsmöglichkeiten eine besondere Position im offenen Vollzug ein, die sich insbesondere zu Beginn der Strafhaft für geeignete Gefangene anbietet. Die Umstellung der Einweisung von Gefangenen wird voraussichtlich auch im Übrigen keine größeren Schwierigkeiten bereiten.
Der Stelleneinsparung bei der EWK stehen nach Auffassung des RH keine nennenswerten Mehrbelastungen anderer Stellen gegenüber. Anstaltsleiter und Staatsanwaltschaft befassen sich bereits bei der bisherigen Verfahrensweise zusätzlich zur EWK mit Zugang des Gefangenen bzw. im Rahmen der Ladung zum Strafantritt mit der Person des Gefangenen und den Zuständigkeiten der einzelnen Anstalten. Abweichungen vom Vollstreckungsplan erfolgen im weiteren Vollzugsverlauf schon bisher durch die Anstaltsleiter ohne Beteiligung der EWK. Denkbare Mehrbelastungen der JVAen und Staatsanwaltschaften durch den Wegfall der Kommission dürften sich allenfalls auf einem niedrigen Niveau bewegen. Diesem stehen zugleich Einsparpotenziale durch den Wegfall bislang erforderlicher Tätigkeiten (z. B. Anlegen des Einweisungshefts, Transportscheine, Schriftverkehr u. ä.) gegenüber.
Im Jahr 2001 wurden von den Gefangenen lediglich 30 Anträge auf gerichtliche Entscheidung gegen EWK-Beschlüsse gestellt. Künftig wird sich die Zuständigkeit dafür auf mehrere Landgerichte verteilen. Mit einem nennenswerten zusätzlichen Personalaufwand ist insoweit nicht zu rechnen.
Der Abbau der Stellen der EWK lässt sich nahezu ohne Mehraufwand in anderen Bereichen des Strafvollzuges und der Staatsanwaltschaften realisieren.
7 Stellungnahme des Ministeriums und Schlussbemerkung
Das JuM will den Vorschlag des RH aufgreifen und die EWK auflösen. Hierfür seien jedoch umfangreiche Vorarbeiten erforderlich. Mit der Umsetzung eines neuen Vollstreckungsplanes und der Auflösung der EWK sei nicht vor ein bis zwei Jahren zu rechnen. Anlässlich der Prüfung des RH sei der Personalbestand der EWK durch eine bessere Aufgabenverteilung bereits um eine halbe Angestelltenstelle reduziert worden. Von den derzeit noch bei der EWK eingesetzten 4,2 Personalstellen könnten allenfalls 2,0 Stellen eingespart werden, weil die bisher von der EWK getroffenen individuellen Entscheidungen künftig weitgehend auf die JVAen übertragen würden.
Der RH hält die vom JuM vorgesehene Übergangszeit von ein bis zwei Jahren für die Auflösung der EWK für vertretbar, aber auch ausreichend, um die Voraussetzungen für eine Gefangeneneinweisung ohne Mitwirkung einer EWK zu schaffen. In der Umsetzungskonzeption wäre auch ein nach Auflösung der EWK evtl. verbleibender Personalbedarf unter Berücksichtigung der vom RH aufgezeigten Rationalisierungspotenziale im Einzelnen nachzuweisen.
Was wurde aus dem Beitrag?
Die parlamentarische Behandlung finden Sie hier
Anhänge
Einzelplan 06: Finanzministerium
Die Gewährung einer Spende durch die frühere Landesholding ist im Hinblick auf die Zuständigkeit des Landtags für die Haushaltsgesetzgebung kritisch zu bewerten.
1 Die Betätigungsprüfung
Der RH prüft die Betätigung des Landes bei Unternehmen in einer Rechtsform des privaten Rechts, an denen das Land unmittelbar oder mittelbar beteiligt ist, unter Beachtung kaufmännischer Grundsätze - sog. Betätigungsprüfung nach § 92 LHO. Prüfungsobjekt ist dabei nicht das jeweilige Landesunternehmen selber, sondern die Verwaltung und Steuerung der Landesbeteiligung an dem Unternehmen durch das dafür zuständige FM (sog. Beteiligungsverwaltung). Bei der Betätigungsprüfung geht der RH also der Frage nach, ob die Beteiligungsverwaltung die Gesellschafterinteressen des Landes unter kaufmännischen Aspekten richtig wahrgenommen hat.
Zum Zweck der Betätigungsprüfung hat das FM nach § 69 LHO dem RH für jedes Geschäftsjahr innerhalb einer vorgegebenen Frist u. a. den Bericht über die Prüfung des Jahresabschlusses und des Lageberichts durch einen Abschlussprüfer zu übersenden. Sofern nicht bestimmte Erkenntnisse und Parameter Anlass dafür geben, sich mit der Betätigung des Landes intensiv zu befassen (und ggf. auch Prüfungserhebungen bei dem Unternehmen durchzuführen), kann der RH wegen seiner eingeschränkten Prüfungskapazität diese Unterlagen in der Regel nur überschlägig auswerten. Gleichwohl ergeben sich auch hierbei immer wieder bemerkenswerte Ergebnisse, wie folgender Fall zeigt.
2 Das Unternehmen
Mitte der 80er Jahre gründete das Land als Alleingesellschafter die Landesbeteiligungen Baden-Württemberg GmbH (im Folgenden: Landesholding), deren Unternehmensgegenstand der Erwerb und die Verwaltung von - zuvor vom Land direkt gehaltenen - Gesellschaftsanteilen an Unternehmen war. Alsbald danach verkaufte das Land den größten Teil seiner Gewinn ausschüttenden Unternehmen an die Landesholding. Später wurde der Unternehmensgegenstand dahingehend neu festgelegt, dass er neben dem Erwerb und der Verwaltung auch die Veräußerung von Gesellschaftsanteilen umfasste und diese Aufgaben nach der Satzung im Interesse des Landes wahrzunehmen waren. Im Jahr 1997 wurde der Unternehmensgegenstand um den Erwerb, die Verwaltung und die Veräußerung von Grundstücken erweitert; zahlreiche wertvolle Grundstücke des Landes wurden auf die Landesholding übertragen.
Von der Holding-Konstruktion versprach sich das FM eine flexiblere Verwaltung der Landesbeteiligungen vor allem bei anstehenden Kapitalzuführungen, insbesondere aber versprach es sich erhebliche Steuervorteile, die dem Land bei weiterhin direkter Beteiligung verwehrt geblieben wären. Diesen Zwecken entsprechend entfaltete die Landesholding keine wirtschaftlichen Aktivitäten nach außen und hatte weder eigenes Personal noch eigene Geschäftsräume. Auch die Übernahme des umfangreichen Grundbesitzes im Jahr 1997 brachte keine wirtschaftlichen Aktivitäten der Landesholding nach außen mit sich. Vielmehr beschränkte sich ihre Geschäftstätigkeit weiterhin auf die zuvor vom FM (bezüglich des Grundbesitzes: von der Staatlichen Vermögens- und Hochbauverwaltung) selbst wahrgenommenen Aufgaben. Die Landesholding bediente sich hierzu auf der Basis eines Geschäftsbesorgungsvertrags des Personals des FM; die kaufmännische und technische Verwaltung des Grundbesitzes überließ sie mittels eines Verwaltervertrags weiterhin der Staatlichen Vermögens- und Hochbauverwaltung. Auch die Vertretung nach außen (Geschäftsführer, Prokuristen) oblag Bediensteten des FM.
In Zusammenhang mit der Privatisierung des von ihr gehaltenen Aktienpakets an der Energie Baden-Württemberg AG wurde die Landesholding im Jahr 1999 nach umwandlungsrechtlichen Vorschriften aufgeteilt in
- die weiterhin steuerpflichtige Beteiligungsgesellschaft des Landes Baden-Württemberg mbH, die - wie zuvor die Landesholding - ohne wirtschaftliche Aktivitäten nach außen als Holdinggesellschaft für Landesbeteiligungen fungiert und deren Geschäfte ebenfalls vom FM geführt werden, sowie
- die steuerfreie Landesstiftung Baden-Württemberg gGmbH, die - anders als zuvor die Landesholding - wirtschaftliche Aktivitäten nach außen entfaltet (durch die Verfolgung gemeinnütziger Zwecke) und auch sonst Merkmale eines eigenständigen Unternehmens aufweist.
Alleingesellschafter beider Gesellschaften ist das Land.
Der RH hat - wenn auch in anderem Zusammenhang - schon anlässlich der Gründung der Landesholding die Frage aufgeworfen, ob durch die Landesholding der Landeshaushalt als die Gesamtdarstellung der Finanzwirtschaft und des finanziellen Gebarens des Landes nicht eine Beeinträchtigung erfahre (s. DS 8/4407 S. 27). Dass diese Frage berechtigt war, zeigt ein Vorgang aus der Zeit vor der Neustrukturierung der Landesholding im Jahre 1999.
3 Die Spende
Bei der zusammenfassenden Sichtung der in den Jahren 1999 bis 2001 vom FM nach § 69 LHO übersandten Unterlagen im Jahr 2002 war den jeweiligen Berichten des Abschlussprüfers über die Prüfung des Jahresabschlusses und des Lageberichts zu entnehmen, dass die Landesholding in den Geschäftsjahren 1997 bis 1999 folgende Spenden gewährt hatte:

Die Spenden gingen ausschließlich an die gemeinnützige „Internationale Musikschulakademie Kulturzentrum Schloss Kapfenburg gGmbH“ (im Folgenden: Musikschulakademie).
Der RH ließ sich daraufhin vom FM Unterlagen zu den mit der Spendengewährung zusammenhängenden Vorgängen vorlegen. Daraus ergab sich, dass in Zusammenhang mit politischen Aussagen bezüglich des Umbaus des Schlosses Kapfenburg und seiner Nutzung als internationale musikalische Jugendbegegnungsstätte der Musikschulen an das Land - das auch die Umbaukosten in Höhe von mehreren Millionen DM trug - der Wunsch herangetragen worden war, sich zusätzlich mit 2 Mio. DM (= 1.023.000 €) an einer noch zu gründenden Betreibergesellschaft „Musikschulakademie“ zu beteiligen. Das FM sprach sich jedoch gegen eine gesellschaftsrechtliche Einbindung des Landes aus und gab einer offenen Zuwendung an die Betreibergesellschaft den Vorzug. Deswegen prüfte das FM, nachdem es einen zunächst angedachten Spendenaufruf an landesbeteiligte Unternehmen wegen geringer Erfolgsaussichten verworfen hatte, eine Finanzierung aus Grundstockmitteln und alternativ eine Spende der Landesholding jeweils in Höhe von 1.023.000 €. Schließlich entschied es sich für die Spendenlösung und hielt diesbezüglich in den Akten fest, dass die Einschaltung der Landesholding die für das Land sparsamste Lösung sei, weil der Finanzierungsbeitrag (für den Betrieb der Musikschulakademie) als steuerlich abzugsfähige Spende gestaltet werden könne, sodass sich auf Grund der Steuerersparnis der Finanzierungsbeitrag des Landes auf netto rd. 614.000 € reduziere. Diese Handhabung sei rechtlich unbedenklich, wenn das Land als Alleingesellschafter der Landesholding - vertreten durch das FM - zustimme. Dieser Vorbehalt bezog sich erkennbar auf die nach dem Gesellschaftsvertrag der Landesholding erforderliche Zustimmung des Alleingesellschafters Land zum Abschluss bestimmter Verträge, die eine festgelegte Laufzeit und einen festgelegten Geschäftswert überstiegen. Am 05.03.1997 stimmte der Minister der beabsichtigten Spendenlösung zu, was zugleich als die nach dem Gesellschaftsvertrag erforderliche Zustimmung angesehen wurde. Daraufhin erklärte das FM den Initiatoren des Projekts schriftlich „... die Bereitschaft des Landes ... mit Hilfe der Landesholding ... einen Beitrag in Höhe von 1.023.000 € zu leisten“. Dass die Landesholding die Spende nicht sofort und als Einmalbetrag, sondern gestückelt auf die Jahre 1997 bis 1999 gewährte, war Teil der Abmachungen zwischen dem Land und den Projektinitiatoren; im Folgenden wird von einer (einzigen) Spende ausgegangen.
4 Das Spendengebaren
4.1 Prüfungsschriftwechsel
Da das unternehmerische Interesse der Landesholding hinsichtlich der Spende nicht ohne weiteres erkennbar war, hinterfragte der RH beim FM die Gewährung von Spenden durch die Landesholding im Allgemeinen und die Spende an die Musikschulakademie im Besonderen. Im Folgenden gibt der RH den wesentlichen Inhalt der Stellungnahme des FM wieder und äußert seine Auffassung dazu.
4.2 Abwägung zwischen Unternehmensgegenstand und Unternehmenswohl einerseits sowie dem mit der Spende verfolgten Zweck andererseits
Stellungnahme des FM:
Wie bei allen kaufmännischen Entscheidungen habe die Landesholding auch im Vorfeld der Spendengewährung an die Musikschulakademie zwischen Unternehmensgegenstand und Unternehmenswohl einerseits sowie dem mit der Spende verfolgten Zweck andererseits abgewogen. Da nach dem Unternehmensgegenstand der Landesholding der Erwerb, die Verwaltung und die Veräußerung „im Interesse des Landes“ - und nicht des Gesellschafters Land - zu erfolgen hätten und an der Einrichtung und dem Betrieb der Musikschulakademie ein besonderes Landesinteresse bestehe, sei deren finanzielle Unterstützung durch die Landesholding zweifelsfrei durch den Unternehmensgegenstand gedeckt. Weiter dürfe nicht außer Betracht gelassen werden, dass zum einen statt einer Spende auch eine Beteiligung an der Betreibergesellschaft möglich gewesen wäre (was auf Dauer gesehen wohl teurer gekommen wäre) und zum anderen die Spendenlösung für die Landesholding deswegen die kostengünstigere gewesen sei, weil sie ansonsten einen wesentlich höheren Gewinn hätte an das Land ausschütten müssen, um diesem eine Zuwendung an die Musikschulakademie in Höhe von 1.023.000 € zu ermöglichen.
Auffassung des RH:
Die Festlegung im Unternehmensgegenstand der Landesholding, wonach der Erwerb, die Verwaltung und die Veräußerung von Gesellschaftsanteilen „im Interesse des Landes“ zu erfolgen haben, bringt lediglich das als Beteiligungsvoraussetzung nach § 65 Abs. 1 Nr. 1 LHO erforderliche wichtige Interesse des Landes an der Landesholding - also gerade das Interesse des Landes als Gesellschafter - zum Ausdruck. Folgt man dem FM in seiner Auslegung, dass sich die Vorgabe des Landesinteresses im Unternehmensgegenstand auf alle Zwecke beziehe, an denen das Land ein besonderes Interesse habe, so ließen sich auch viele andere Ausgaben des Landes über Spenden der Landesholding finanzieren.
Zum Unternehmenswohl nahm das FM nicht bzw. nur indirekt insoweit Stellung, als es die Spendenlösung als die für die Landesholding kostengünstigere bezeichnete, weil die Landesholding ansonsten einen wesentlich höheren Gewinn hätte an das Land ausschütten müssen, um ihm eine Zuwendung an die Musikschulakademie in Höhe von 1.023.000 € zu ermöglichen. Da aber kein unternehmerisches Interesse der Landesholding dafür erkennbar ist, dass sie sich überhaupt zu Gunsten der Musikschulakademie engagierte, ist die Hypothese einer ansonsten erforderlichen Gewinnausschüttung gewagt. Auch würde sich die Frage aufdrängen, weshalb der Weg der Spendengewährung nicht für viele andere, aus dem Landeshaushalt finanzierte oder nicht finanzierbare, aber erwünschte Vorhaben gewählt wurde.
Schließlich ist zu der Hypothese eines möglichen Beteiligungsengagements an der Betreibergesellschaft statt der Gewährung einer Spende zu bemerken, dass es auch der RH zwar grundsätzlich für besser hält, wenn statt einer verlustträchtigen Beteiligung an einem privatrechtlich organisierten Unternehmen mit nicht kalkulierbaren langfristigen Kosten einmalige offene Zuschüsse gewährt werden. Das ändert aber nichts an dem Umstand, dass ein unternehmerisches Interesse der Landesholding an einem solchen Engagement mindestens sehr fraglich wäre. Im Übrigen ist darauf hinzuweisen, dass nach den vom FM vorgelegten Unterlagen nicht ein Beteiligungsengagement der Landesholding, sondern des Landes als Alternative erwogen wurde.
Insoweit zusammenfassend ist festzuhalten, dass die vom FM dargestellte Abwägung von Unternehmensgegenstand, Unternehmenswohl und Spendenzweck nicht überzeugt.
4.3 Finanzierung landespolitisch erwünschter Vorhaben über Spenden landesbeteiligter Unternehmen statt aus dem Landeshaushalt
Stellungnahme des FM:
Das FM halte es grundsätzlich nicht für geboten, landespolitisch erwünschte Vorhaben über landesbeteiligte im Markt tätige Unternehmen mit erwerbswirtschaftlicher Aufgabe zu finanzieren. Die Landesholding sei aber weder im Markt tätig noch erwerbswirtschaftlich ausgerichtet.
Auffassung des RH:
Dem FM ist darin zuzustimmen, dass die Landesholding nicht mit landesbeteiligten im Markt tätigen Unternehmen mit erwerbswirtschaftlicher Aufgabe vergleichbar ist. Gerade aber weil sie sich nicht im Markt als Regulativ jeglichen Geschäftsgebarens betätigt, sondern wie geschildert als eine vornehmlich aus steuerlichen Gründen errichtete Konstruktion lediglich als Innengesellschaft des FM fungiert, sind Spenden - zumal für solche Zwecke, die ansonsten Zuwendungen aus dem Landeshaushalt erfordern würden - bei ihr besonders problematisch.
4.4 Weitere Spenden der Landesholding?
Stellungnahme des FM:
Die Spende an die Musikschulakademie sei die einzige Spende der Landesholding vor ihrer Umstrukturierung gewesen. Gleichwohl handle es sich weder um eine Besonderheit noch um ein ungewöhnliches Vorgehen, da Spenden von Kapitalgesellschaften nicht unüblich seien (was u. a. dadurch deutlich werde, dass der Gesetzgeber auch für solche Spenden den Steuer mindernden Abzug zugelassen habe).
Die Tatsache, dass die Landesholding keine weiteren Spenden geleistet habe, sei darin begründet, dass keine weiteren Spendenwünsche an sie herangetragen worden seien.
Auffassung des RH:
Der RH hat sich weder in der Vergangenheit noch anlässlich dieses Falls grundsätzlich gegen die Gewährung von Spenden durch landesbeteiligte Unternehmen ausgesprochen. Es ist aber zu fordern, dass vor der Entscheidung über die Gewährung einer Spende sachgerecht zwischen Unternehmensgegenstand und Unternehmenswohl einerseits und dem mit der Spende verfolgten Zweck andererseits abgewogen wird und das Ergebnis dieser Abwägung für die Gewährung einer Spende spricht (s. Pkt. 4.2). Im Fall der Landesholding war ferner zu beachten, dass sie nicht ein im Markt tätiges Unternehmen, sondern eine vornehmlich aus steuerlichen Gründen konstruierte Innengesellschaft war (s. Pkt. 4.3). Zudem bestand insoweit eine besondere Situation, als das FM als gesetzlich für die Verwaltung der Gesellschaftsanteile an der Landesholding zuständige Stelle zugleich de facto deren Geschäfte führte und besorgte und es schließlich auch noch über die Finanzierung des politisch in Aussicht gestellten Vorhabens zu befinden hatte. Die Spende an die Musikschulakademie ist daher nach Auffassung des RH im Unterschied zur Auffassung des FM sehr wohl eine Besonderheit und ein ungewöhnlicher Vorgang.
Bezüglich des „Herantragens“ von Spendenwünschen an die Landesholding ist festzuhalten, dass es den Initiatoren des Projekts ausschließlich darum ging, dass das Land in Erfüllung einer politischen Zusage finanzielle Mittel gewähren sollte. Die Spendenlösung hat das FM selber (mit Blick auf die Steuerersparnis bei der Landesholding) als mögliche Variante in die Erwägungen einbezogen und mit seiner geschilderten Mehrfachfunktion auch so umgesetzt. Es erscheint nicht sehr wahrscheinlich, dass andere Interessengruppen, deren Wünsche aus dem Haushalt nicht befriedigt werden konnten, eine Finanzierung über eine Spende der Landesholding abgelehnt hätten.
5 Zusammenfassende Bewertung; Folgerungen und Konsequenzen
Die Gesamtschau des Vorgangs zeigt, dass die Zuwendung an die Musikschulakademie nicht als gewöhnliche Spende eines Landesunternehmens und damit als üblicher Geschäftsvorfall zu werten ist. Das Land hätte - da es das politisch in Aussicht gestellte Projekt erkennbar realisieren wollte - dafür Sorge tragen müssen, dass die Zuwendung an die Musikschulakademie aus dem Landeshaushalt finanziert wird. Wenn dort keine entsprechenden Mittel vorhanden waren, so hätte darauf hingewirkt werden sollen, dass der Landtag in einem Nachtragshaushalt oder in einem folgenden StHpl. möglichst Mittel für diesen Zweck genehmigt; andernfalls hätte von einer Förderung abgesehen werden müssen. Zu kritisieren ist, dass das FM die Kompetenz des Haushaltsgesetzgebers unterlief, indem es Gelder der Steuerkonstruktion Landesholding für einen landespolitisch sicherlich konsensfähigen, aber gleichwohl der Prioritätensetzung des Landesgesetzgebers unterliegenden Zweck einsetzte. Die schon bei Gründung der Landesholding geäußerten Bedenken des RH, dass damit Teile des Landesvermögens dem unmittelbaren Verfügungsrecht des Landtags und der parlamentarischen Kontrolle entzogen würden, haben sich bei der Spende an die Musikschulakademie bestätigt.
Seit der Umwandlung der Landesholding in die Landesstiftung zum 01.01.2000 ist sie so strukturiert, dass ihr Spenden in der dargestellten Form verwehrt sind. Dagegen besteht bei der steuerpflichtige Beteiligungsgesellschaft des Landes (die von der Funktion her der Landesholding entspricht) weiterhin die Möglichkeit, dass sich das FM ihrer als Finanzierungsinstrument bedient. Dem sollte durch einen entsprechenden Gesellschafterbeschluss - ggf. verankert durch eine dahin gehende Ergänzung des Gesellschaftsvertrags - entgegengewirkt werden.
6 Einwendungen des Ministeriums
Das FM hat gegen den Beitrag Einwendungen erhoben, die sich im Wesentlichen auf die Wiederholung seiner bereits im Prüfungsschriftwechsel geäußerten Auffassung (s. Pkt. 4) beschränken. Ergänzend führt es aus, dass die Spende der Landesholding keine Umgehung des Parlaments als Haushaltsgesetzgeber gewesen sei. Auch hätte sich das FM vom RH eine intensivere Auseinandersetzung mit der Wirtschaftlichkeit der Maßnahme gewünscht.
7 Schlussbemerkung
Der RH bleibt bei seiner zusammenfassenden Bewertung (s. Pkt. 5). Er sieht im Handeln des FM ein Unterlaufen der gesetzgeberischen Kompetenz des Landtags. Die vom FM gewählte Spendenlösung ist deshalb trotz des Hinweises auf Wirtschaftlichkeitsaspekte kritisch zu bewerten. Wären die vom FM angeführten Wirtschaftlichkeitsüberlegungen tatsächlich durchgreifend, wäre dieser Finanzierungsweg - ohne Beteiligung des Parlaments - bei vielen anderen Vorhaben des Landes folgerichtig gewesen. Der RH hält es für unwahrscheinlich, dass der Landtag dies akzeptiert hätte oder - bei der neuen Beteiligungsgesellschaft des Landes Baden-Württemberg mbH - akzeptieren würde.
Anhänge
Bei einem landesbeteiligten Unternehmen wurden als Folge enger Beziehungen mit einem Ministerium kaufmännische Aspekte nicht immer genügend beachtet. Weil ein wichtiges Landesinteresse im Hinblick auf eine Beteiligung an der Gesellschaft nicht (mehr) vorliegt, ist der Verkauf der Gesellschaftsanteile angezeigt.
1 Eine Betätigungsprüfung mit Erhebungen beim Unternehmen
Der RH hat sich mit der Betätigung des Landes als Gesellschafter eines Dienstleistungsunternehmens in einer Rechtsform des privaten Rechts befasst und dabei auch Erhebungen bei dem Unternehmen durchgeführt. Rechtsgrundlage für diese Erhebungen - die sog. örtliche Unterrichtung - war eine entsprechende Regelung im Gesellschaftsvertrag des Unternehmens, welche dem RH das Recht einräumt, sich bei dem Unternehmen unmittelbar zu unterrichten und zu diesem Zweck den Betrieb, die Bücher und die Schriften des Unternehmens einzusehen.
2 Das Unternehmen
2.1 Anteilseigner
Mehrheitsgesellschafter des Unternehmens ist das Land; die übrigen Geschäftsanteile werden von einer öffentlichen Bank gehalten und von mehr als 150 gering beteiligten Gesellschaftern, insbesondere privater und kommunaler Unternehmen sowie einschlägiger Verbände.
2.2 Gründung und Gegenstand des Unternehmens
Die Gründung des Unternehmens geht zurück auf eine vor fast zehn Jahren getroffene politische Vereinbarung, wonach in einem dem Land wichtigen Sektor mittels eines landesbeteiligten Unternehmens ingenieurmäßige Beratungs- und Unterstützungsleistungen für landeseigene Einrichtungen, Kommunen und mittelständische Gewerbebetriebe erbracht werden sollten. Diese in der politischen Vereinbarung nur allgemein bestimmte Aufgabe wurde in näher spezifizierter Form als Gegenstand des Unternehmens im Gesellschaftsvertrag verankert.
3 Tätigkeiten des Unternehmens
3.1 Kundenkreis
Das Unternehmen erbringt seine Dienstleistungen fast ausschließlich für das Land sowie für Kommunen. Entgegen der politischen Vereinbarung, der Vorgabe im Unternehmensgegenstand sowie der Verpflichtung nach dem Dienstleistungsvertrag (s. Pkt. 3.2.1) ist es für privatwirtschaftliche Unternehmen und Betriebe so gut wie nicht tätig geworden.
3.2 Dienstleistungsvertrag mit dem Land
3.2.1 Das Ministerium, dessen fachlicher Zuständigkeitsbereich den Tätigkeitsbereich des Unternehmens tangiert, hat das Unternehmen wiederholt mit einzelnen Dienstleistungen beauftragt. Vor allem aber hat es zu Beginn des Jahres 1995 das Unternehmen mittels eines zunächst zehn Jahre laufenden Dienstleistungsvertrages beauftragt, auf dem einschlägigen Sektor den Stand der Technik auszuwerten und zu dokumentieren, diesen beratend und schulend an Kommunen, Handwerk und Industrie weiterzuvermitteln sowie entsprechende Projekte des Landes zu begleiten. Schließlich sollte das Unternehmen gewonnene Erkenntnisse an das Ministerium und andere Landesbehörden weitergeben und diese informieren und beraten. Die konkreten Leistungen des Unternehmens werden vor Beginn eines jeden Quartals mit dem Ministerium gemeinsam festgelegt.
3.2.2 Der Umfang der zu erbringenden Dienstleistungen und die Höhe der Vergütung hierfür sind ungewöhnlich und nicht Ergebnis eines Marktgeschehens. Festgelegt wurde nämlich nicht, dass sich die Vergütung nach dem Umfang der vom Unternehmen erbrachten Leistungen bemisst, sondern dass umgekehrt die Höhe der Vergütung den Umfang der Leistungen bestimmt. Während der gesamten Vertragslaufzeit von zehn Jahren erhält das Unternehmen eine jeweils gleich hohe Vergütung (mehr als 200.000 € jährlich), während sich der Umfang der zu erbringenden Dienstleistungen - abgerechnet als sog. Tagewerke (= Manntage) - an den Selbstkosten des Unternehmens ausrichtet. Ständig steigende Selbstkosten hatten daher zur Folge, dass die Leistungspflicht des Unternehmens und die entsprechende Bezugspflicht des Ministeriums immer weniger Tagewerke umfasste. So hatte das Unternehmen im Jahr 1995 noch 452 Tagewerke zu erbringen, in den Jahren 1998 bis 2001 dagegen nur noch jeweils 358 Tagewerke. Wie viele Tagewerke das Unternehmen zu erbringen haben würde, wusste im Voraus weder das Ministerium noch das Unternehmen, fest stand jeweils nur, wie hoch die Vergütung sein würde.
3.2.3 Auch sonst ist das Dienstleistungsverhältnis teils vom Vertrag her problematisch, teils von der tatsächlichen Durchführung.
3.2.3.1 Bei der Berechnung der Zahl der Tagewerke werden die Selbstkosten um einen Gewinnzuschlag von 3 % erhöht. Eine solche Regelung, welche einem Unternehmen den Ersatz der vollen Kosten und zusätzlich einen auf die Kosten bezogenen Gewinnzuschlag gewährt, macht für den Leistungserbringer ein sparsames Wirtschaften und ein effizientes Arbeiten uninteressant.
3.2.3.2 Statt des vertraglich festgelegten Gewinnzuschlags von 3 % der Selbstkosten hat das Unternehmen einen Gewinnzuschlag von 5 % berücksichtigt (entsprechender Mehrgewinn 4.000 € jährlich). Obwohl dies dem Aufsichtsrat des Unternehmens zur Kenntnis gebracht wurde, hat selbst der dem auftraggebendem Ministerium angehörende Landesvertreter keinen Anlass gesehen, die Abweichung vom Dienstleistungsvertrag zu hinterfragen.
3.2.3.3 Obwohl der Vertrag jährliche Verhandlungen über den sog. Tagessatz (Selbstkosten zuzüglich Gewinnzuschlag, bezogen auf 1 Arbeitstag) vorsah, wurde ein vom Ministerium einmal akzeptierter Betrag so lange ungeprüft fortgeschrieben, bis das Unternehmen einen höheren Tagessatz forderte. Tatsächlich aber lagen die Selbstkosten einschließlich des ohnehin zu hohen Gewinnzuschlags in einzelnen Jahren bis zu 9 % unter dem Tagessatz des Vorjahres. Die Beibehaltung zu hoher Tagessätze führte beim Ministerium zu einer Minderung seines Anspruchs auf Tagewerke (z. B. im Jahr 2001 um 35 Tagewerke; entsprechender Wert der Leistung 20.000 €), beim Unternehmen zu ungerechtfertigten Erträgen in entsprechender Höhe.
3.2.3.4 Die Praxis ging aber nicht nur zu Lasten des Landes, denn das Unternehmen hat in den Jahren 1996 bis 1999 mehr als 300 Tagewerke (entsprechender Wert der Leistung 185.000 €) für das Ministerium erbracht, ohne nach dem Dienstleistungsvertrag hierzu verpflichtet zu sein und ohne sie vom Ministerium vergütet zu bekommen. Dies lässt sich nur aus der besonderen Nähe des Ministeriums, des Landes als (Mehrheits-)Gesellschafter und des Unternehmens erklären.
3.2.3.5 Andererseits wurden dem Ministerium Tagewerke für zahlreiche Aktivitäten berechnet, die eindeutig keine Dienstleistungen für das Ministerium, sondern allgemeine Aktivitäten für das Unternehmen selbst waren, z. B. Arbeiten im Zusammenhang mit Gesellschafterversammlungen und Sitzungen des Aufsichtsrats. In der Folge hat das Ministerium zu Lasten des Landeshaushalts insgesamt 139.000 € an das Unternehmen gezahlt, ohne dass es entsprechende Leistungen für das Land erbracht hat.
3.2.4 Die Praxis der Vertragsbeziehungen belegt somit, dass der Vertrag nicht am Bedarf des Ministeriums an Tagewerksleistungen des Unternehmens ausgerichtet ist, sondern am Einsatz fixer Finanzmittel durch das Ministerium. Dieses unter Vertragsparteien am Markt so kaum vorstellbare Vertragsverhältnis bewirkt im Ergebnis eine fixe Alimentation des Unternehmens durch das Ministerium. Bei der tatsächlichen Durchführung des Dienstverhältnisses ergaben sich zahlreiche Abweichungen vom Vertrag sowie Besonderheiten, die sich nur daraus erklären lassen, dass sich das Ministerium und das Unternehmen nicht mit dem im Wirtschaftsleben üblichen Maß an gegensätzlichen Interessen gegenüberstanden. Damit konnten Marktmechanismen nicht ihre Wirkung entfalten, das Unternehmen agierte wie ein verlängerter Arm des Ministeriums und damit wie eine Behörde (ohne aber deren Restriktionen zu unterliegen).
Der RH hat empfohlen, darauf hinzuwirken, dass die Geschäfte zwischen dem Ministerium und dem Unternehmen in einer zwischen fremden Geschäftspartnern üblichen Art und Weise abgewickelt werden. Da der Dienstleistungsvertrag das Gegenteil bewirkt, sollte er möglichst bald beendet werden. Leistungen des Unternehmens, die das Ministerium im Einzelfall benötigt, sollten ausschließlich durch klar und eindeutig formulierte sowie kostenmäßig fixierte Einzelaufträge vergeben werden. Eine Daueralimentation des Unternehmens ist zu vermeiden.
3.3 Weitere Geschäftsfelder
Die Tätigkeiten auf Grund des Dienstleistungsvertrags mit dem Land sind - auch vom vertraglich garantierten Gewinn her - das wichtigste Geschäftsfeld des Unternehmens. Die weiteren Geschäftsfelder, namentlich Aktivitäten gegenüber Kommunen, haben trotz hoher Umsatzvolumina nicht annähernd die gleiche Bedeutung. Zudem schlossen sie mehrfach mit Verlusten ab und mussten mit Gewinnen abgedeckt werden, die aus dem Dienstleistungsgeschäft mit dem Land stammten (sog. Querfinanzierung).
Beispielhaft für ein Geschäftsgebaren, das nur eingeschränkt kaufmännischen Grundsätzen entspricht, ist ein im Jahr 2000 begonnenes Projekt. Während sich das Unternehmen zuvor auf eindeutige Beratungs- und Unterstützungsleistungen beschränkte, engagierte es sich erstmalig in einer neuartigen Projektform. Das Unternehmen hatte bei diesem Projekt nicht nur seine typischen Leistungen zu erbringen, sondern auch finanzielle Vorleistungen erheblichen Umfangs zu Gunsten des Vertragspartners (durch Vorfinanzierung einer größeren Investition). Zudem handelte das Unternehmen einen zehn Jahre laufenden Vertrag für das Projekt aus, der ihm viele Risiken zuweist, mögliche Vorteile aus den entsprechenden Chancen aber dem Vertragspartner zukommen lässt. So reduziert sich z. B. die Vergütung des Unternehmens, wenn der Wirkungsgrad der neuen Investition bestimmte Parameter nicht erreicht oder die Kosten höher ausfallen als veranschlagt. Falls dagegen der Wirkungsgrad besser ausfällt oder bei der Investition Kosteneinsparungen erzielt werden können, erhöht sich die Vergütung des Unternehmens nicht; das Engagement des Unternehmens hin auf gute technische Ergebnisse und geringe Kosten kommt allein dem Vertragspartner zugute.
Alsbald nach Abschluss des Projektvertrags konkretisierten sich die vom Unternehmen eingegangenen Risiken. Da dem Unternehmen zwischen Vertragabschluss und von ihm garantierter Fertigstellung der Investition kaum mehr als drei Monate zur Verfügung standen, mussten die Planung, Ausschreibung und Durchführung der Investition in einem zu engen zeitlichen Korsett durchgeführt werden. Dies dürfte der wesentliche Grund für die Überschreitung des Kostenplans um 30.000 € (= 1/4 des Planansatzes) sein. Weiter konnte der garantierte Wirkungsgrad nicht erreicht werden, vom Unternehmen zu tragende Unterhaltungskosten waren doppelt so hoch wie kalkuliert. Es wurde erkennbar, dass selbst bei einer günstigen Prognose sich die Verluste aus dem Projekt über die Vertragslaufzeit von zehn Jahren auf 40.000 € belaufen werden. Unter Zugrundelegung der Zahlen des ersten Betriebsjahres der Investition erscheint sogar ein Verlust von 60.000 € als eher realistisch.
Ohne einen Zuschuss des Ministeriums von 22.000 € zu den Mehrkosten der Investition (30.000 €) wäre der voraussichtliche Gesamtverlust des Unternehmens aus diesem Projekt noch viel höher ausgefallen. Der RH hält es nicht für vertretbar, Mehrkosten eines privatrechtlich organisierten Unternehmens, die auf kaufmännisch bedenklichen Geschäften basieren, ganz oder teilweise zu Lasten des Landeshaushalts abzudecken.
4 Personalkosten
4.1 Mitarbeiter
Entsprechend einer Vorgabe des Aufsichtsrats hat das Unternehmen in den Arbeitsverträgen mit seinen Mitarbeitern vereinbart, dass sich das Angestelltenverhältnis nach den Bestimmungen des BAT richtet. In zahlreichen Punkten wurde aber zugunsten der Mitarbeiter gegen die Tarifbestimmungen verstoßen. So wurden
- sämtliche Mitarbeiter eine Vergütungsgruppe höher eingestuft als nach den Tätigkeitsmerkmalen in der Vergütungsordnung des BAT festgelegt (jährlicher Mehraufwand 18.000 €),
- einem Mitarbeiter eine Tantieme von bis zu 10.000 € zugesagt, obwohl der BAT die Gewährung zusätzlicher, erfolgsabhängiger Vergütungen nicht vorsieht,
- Überstundenvergütungen als Mittel einer im BAT nicht vorgesehenen und kaufmännisch nur schwer begründbaren Gehaltsnivellierung eingesetzt (bei einem Mitarbeiter betrug die zusätzliche Vergütung bis zu 15.000 € jährlich) und
- verfallene Urlaubsansprüche in Geld abgegolten (1.000 €) sowie auf die Rückforderungen einer Sonderzuwendung (4.000 € Weihnachtsgeld) eines zum 31.12. des betreffenden Jahres ausgeschiedenen Mitarbeiters verzichtet, obwohl die tariflichen Voraussetzungen hierfür nicht erfüllt waren.
Die zusätzlichen Vergütungen stehen im Widerspruch zu Vorgaben des Aufsichtsrats und zu Vereinbarungen in den Anstellungsverträgen. Sie sind auch deswegen problematisch, weil das mehrheitlich dem Land gehörende Unternehmen fast ausschließlich für die öffentliche Hand - und hier in erster Linie wieder für das Land - tätig ist und in fast allen Jahren Verluste ausweisen musste.
4.2 Geschäftsführung
Der Geschäftsführer nahm jahrelang keinen oder nur einen Teil seines Urlaubs; drei Jahre nacheinander hat er sogar überhaupt keinen Urlaub genommen. Statt dessen ließ er sich seine Urlaubsansprüche in Geld abgelten und erhielt so zusätzliche Zahlungen von mehr als 37.000 €. Da Urlaub begrifflich bezahlte Freizeit ist, die der Wiederherstellung und Erhaltung der Arbeitskraft des Bediensteten dienen soll, hat der RH darauf hingewiesen, dass es allein schon aus Fürsorgegründen kaum vertretbar ist, dass der Geschäftsführer seinen Jahresurlaub nicht bestimmungsgemäß für Erholungszwecke verwendet hat. Entsprechendes gilt im wohlverstandenen Eigeninteresse des Unternehmens, das Anspruch auf die uneingeschränkte Arbeitskraft seines Geschäftsführers hat. Zudem ist es bemerkenswert, dass das Unternehmen die hohen, nicht auf dienstvertraglicher Basis beruhenden Zahlungen an den Geschäftsführer leistete, ohne dass der Aufsichtsrat oder das beteiligungsverwaltende FM damit befasst waren.
5 Fehlendes wichtiges Landesinteresse an dem Unternehmen
§ 65 Abs. 1 Nr. 1 LHO setzt für die Beteiligung des Landes an einem Unternehmen in einer Rechtsform des privaten Rechts ein wichtiges Interesse des Landes voraus. Dabei steht für den RH außer Frage, dass die Aktivität des Landes auf dem hier einschlägigen Sektor eine wichtige Landesaufgabe ist. Diese schließt jedoch nicht mit ein, dass sich das Land auch im operativen Bereich (Dienstleistungen für diesen Sektor) engagiert. Schon von daher begegnet die Beteiligung des Landes an dem Dienstleistungsunternehmen Bedenken.
Es kann dahingestellt bleiben, ob das wichtige Interesse des Landes im Zeitpunkt der Gründung des Unternehmens vorgelegen hat. Dies könnte durchaus der Fall gewesen sein, da der Markt für die von dem Unternehmen angebotenen Dienstleistungen möglicherweise noch nicht weit genug entwickelt war. Jedenfalls sind die Dienstleistungen mittlerweile auch auf dem freien Markt erhältlich; das Unternehmen konkurriert in zunehmendem Maße mit privaten Unternehmen. In großem Umfang bedient es sich auch privater Unternehmen als Subunternehmer und ist insoweit eine kostenverursachende und verzichtbare Zwischenstufe. Auch bezüglich der vom Dienstleistungsvertrag erfassten Tätigkeiten des Unternehmens ist davon auszugehen, dass wegen der sicheren Kostenerstattung und des Gewinnzuschlags durchaus privatwirtschaftliche Unternehmen Interesse haben könnten, Vertragspartner des Ministeriums zu sein.
Zwar gibt es in den meisten Bundesländern Einrichtungen, die in vergleichbaren Aufgabenfeldern tätig sind. Manche sind voll oder teilweise vom jeweiligen Bundesland getragen, einige gar nicht. Die zunehmende Besetzung des Marktes durch das privatwirtschaftliche Unternehmertum hat Bewegung in dieses Segment gebracht; ein Bundesland hat im Jahr 2001 seine Gesellschaftsanteile an einem solchen Dienstleistungsunternehmen veräußert, in einem anderen Bundesland wurde ein solches Unternehmen im Jahr 2003 aufgelöst.
Schließlich sprechen auch wirtschaftliche Überlegungen dagegen, dass das Land sein Beteiligungsengagement bei dem Unternehmen fortführt. Im wichtigsten Geschäftsfeld, dem Dienstleistungsvertrag, wurde - mit erheblichen finanziellen Folgen - nicht in kaufmännisch sinnvoller Weise gewirtschaftet. Daran mangelte es auch in anderen Geschäftsbereichen sowie im internen Geschäftsbetrieb, namentlich im Personalbereich.
Der RH hat empfohlen, dass sich das Land von seiner Beteiligung an dem Dienstleistungsunternehmen löst. Dann besteht für das betreffende Ministerium auch kein Anlass mehr, die ohnehin problematische Alimentation des Unternehmens fortzuführen.
6 Stellungnahme der Ministerien
Die Ministerien haben sich in Bezug auf die Personalkosten der Beurteilung durch den RH angeschlossen. Ansonsten vertreten sie im Wesentlichen eine gegensätzliche Auffassung, insbesondere zu folgenden Punkten:
- Dienstleistungsvertrag
Der Vertrag könne nicht als vom Bedarf unabhängige fixe Alimentation bezeichnet werden. Er sei vielmehr darauf ausgelegt, einen über Jahre hinweg zu verzeichnenden Grundbedarf abzudecken und - trotz steigender Tagessätze - den erforderlichen Leistungsumfang zu erhalten. Einzelaufträge an das Unternehmen würden den Verwaltungsaufwand erhöhen, ohne den Bedarf zu schmälern. Das Kostenerstattungsprinzip (Selbstkosten zuzüglich prozentualer Gewinnzuschlag) sei beim Einkauf nicht marktgängiger Produkte üblich und unvermeidlich. Die vom Unternehmen ohne Verpflichtung und ohne Vergütung erbrachten Tagewerke führten nicht zu verdeckten Gewinnausschüttungen, da sie im unternehmerischen Kalkulationsrisiko gelegen hätten. Die Abrechnung allgemeiner Unternehmensaktivitäten über den Dienstleistungsvertrag erkläre sich daraus, dass die komplexe Gesellschafterstruktur einen für eine Gesellschaft ungewöhnlich hohen Betreuungsaufwand verursacht habe; bei einer Neugestaltung des Vertrags solle die Abrechnung solcher Aktivitäten ausgeschlossen werden.
- Weitere Geschäftsfelder
Bei dem neuartigen Projekt sei dessen Modellcharakter zu berücksichtigen, auch in Bezug auf die vom fachlich zuständigen Ministerium gewährten Zuschüsse. Der Geschäftsführer solle beauftragt werden, in Verhandlungen mit dem Vertragspartner eine Möglichkeit zu suchen, den Verlust zu minimieren.
- Wichtiges Landesinteresse
Es sei weiterhin geboten und notwendig, dass das Land eine Beteiligung an dem Unternehmen halte. Dessen Einrichtung sei eine strategische Entscheidung zur Umsetzung politischer Ziele in einem dem Land wichtigen Sektor gewesen. Das Unternehmen transportiere bis heute das Anliegen des Landes durch Information, Motivation und Know-how-Transfer. Das Leistungsbild des Unternehmens orientiere sich am Gemeinwohl, weswegen dieser Bereich von wirtschaftlichen Unternehmen nicht wahrgenommen werde. Seine Unabhängigkeit von wirtschaftlichen Interessen bleibe nur gewahrt, solange das Land Mehrheitsgesellschafter bleibe. Für die vom Land nachgefragten Dienstleistungen bestehe kein freier Markt, was auch daraus ersichtlich sei, dass zahlreiche andere Bundesländer vergleichbare Einrichtungen gegründet hätten. Das Unternehmen sei mit insgesamt acht Mitarbeitern eine sehr schlanke Organisation. Bei einer Veräußerung der Gesellschaftsanteile müssten nicht auf Gewinn ausgerichtete Tätigkeiten des Unternehmens in einen Landesbetrieb oder eine Landesbehörde überführt werden. Im Übrigen sei von einem Ausstieg des Landes aus dem Unternehmen kein wirtschaftlicher Vorteil zu erwarten. Schließlich weist das Ministerium noch darauf hin, dass der Denkschriftbeitrag zu kurz gefasst sei, um ein vollständiges Bild von der Auffassung des Ministeriums zu gewährleisten. Insbesondere weist es auf eine Verknüpfung zwischen der Beurteilung des Dienstleistungsvertrags mit der Frage des wichtigen Landesinteresses hin. Das Unternehmen erbringe im Rahmen dieses Vertrags in erheblichem Maße Leistungen, die durch die Notwendigkeit eines spezifischen, in dieser Breite nicht marktgängigen Know-hows und einer von wirtschaftlichen Interessen der Gesellschafter unabhängigen Neutralität gekennzeichnet seien.
7 Schlussbemerkung
Der RH bleibt bei seiner dargelegten Auffassung. Auch er sieht eine Verknüpfung von Dienstleistungsvertrag und wichtigem Landesinteresse, zieht daraus aber gegenteilige Schlüsse. Der RH hält es für ausgeschlossen, dass das fachlich zuständige Ministerium mit einem fremden Geschäftspartner einen gleichlautenden Vertrag geschlossen und so umgesetzt hätte. Andererseits zeigt der Vertrag, dass die darin gründenden Dienstleistungen des Unternehmens sehr wohl gewinnorientiert sind, erhält das Unternehmen doch die vollen Kosten ersetzt und zusätzlich einen Gewinnzuschlag vergütet. Angesichts des Spektrums dieses Fachgebiets und seiner Verbreitung in Wissenschaft, Verwaltung sowie Unternehmertum erschließt sich dem RH nicht, weshalb das Know-how des Unternehmens nicht marktgängig sein soll. Auch stellt sich die Frage einer von wirtschaftlichen Interessen unabhängigen Neutralität schon deswegen nicht, weil das Unternehmen mit diesen Leistungen sehr wohl wirtschaftliche Interessen verfolgt (Ersatz der Kosten plus Gewinnzuschlag) und Neutralität im Dienstleistungsbereich nichts Ungewöhnliches ist, wie z. B. bei der Bestellung von Gutachtern. Mit der Argumentation, eine neutrale Stelle mit Landesbeteiligung vorhalten zu müssen, ließe sich eine Vielzahl von neuen Gesellschaftsgründungen rechtfertigen (z. B. in Bereichen wie Kernkraft, Lebensmittelsicherheit u. v. m.). Das Unternehmen mag zwar eine schlanke Organisation sein, doch wurden Personalaufstockungen bereits anvisiert, wodurch neue Fixkostenblöcke geschaffen würden. Ein Ausstieg aus dem Unternehmen wäre für das Land durchaus vorteilhaft. Zum einen bestünde kein Anlass mehr, die unter finanziellen Aspekten problematischen Geschäftsbeziehungen mit dem Unternehmen fortzuführen. Zum anderen wäre dadurch sichergestellt, dass das Land nicht weiterhin unternehmerisches Risiko trägt und Verluste das eingebrachte Kapital angreifen.
Der Dienstleistungsvertrag sollte beendet werden, ebenso die gesellschaftsrechtliche Beteiligung an dem Unternehmen. Wenn nach einer Veräußerung der Gesellschaftsanteile das Land tatsächlich - nach kritischer Prüfung auf die Notwendigkeit hin - bestimmte nicht auf Gewinn ausgerichtete Tätigkeiten wahrzunehmen hat, so sollten diese vom Land selber wahrgenommen werden. Die Ausführung von originären Verwaltungstätigkeiten in privater Rechtsform (Scheinprivatisierung) macht nur Sinn, wenn eine Vielzahl von Bedingungen erfüllt ist. Hierzu weist der RH noch auf die Denkschrift 2001, Nr. 13 (insbesondere die dort unter Pkt. 6 entwickelten Kriterien) hin sowie auf den dazu gefassten Beschluss des Landtags (DS 13/329) und die Mitteilung der Landesregierung dazu (DS 13/1257). Besonders erwähnt sei, dass bei solchen Privatisierungen die Personalkosten zusätzlich mit Mehrwertsteuern belastet werden.
Anhänge
Einzelplan 07: Wirtschaftsministerium
Über Jahre hinweg hat es das Wirtschaftsministerium versäumt, die zweckentsprechende Verwendung der Landesmittel zeitnah zu kontrollieren; Steuerungsmöglichkeiten wurden nicht genutzt. Die Verbraucherzentrale sollte durch Straffung der Verfahrenswege und durch gezielten Einsatz der personellen Ressourcen ihren Wirkungsgrad erhöhen. Durch organisatorische Änderungen könnte ihre Erreichbarkeit verbessert und der Eigenfinanzierungsanteil erhöht werden.
1 Ausgangslage
1.1 Für Zwecke der Verbraucheraufklärung gewährt das Land Zuschüsse an die Verbraucherzentrale Baden-Württemberg e. V. (VZ). Sie dienen zur Deckung der Personal- und Sachkosten der VZ und ihrer Beratungsstellen. Die Prüfung des RH umfasste neben der bestimmungsgemäßen und wirtschaftlichen Verwendung der Fördermittel aus dem Epl. 07 auch die sonstige Haushalts- und Wirtschaftsführung der Empfänger.
Die VZ erhält zudem Zuwendungen des Bundesministeriums für Verbraucherschutz, Ernährung und Landwirtschaft (BMVEL) auf dem Gebiet der Ernährungsberatung, des Bundesministeriums für Wirtschaft und Technologie (BMWi) für die Energiesparberatungen und des MLR zu den Personal- und Sachkosten auf dem Gebiet der Ernährungsberatung. Diese Zuwendungen waren nicht Gegenstand des Prüfungsverfahrens.
1.2 Die Verbraucherorganisationen sind bundesweit organisiert. Die 16 VZ der Bundesländer und 18 weitere verbraucher- und sozialorientierte Organisationen in Deutschland sind im Dachverband „Bundesverband der Verbraucherzentralen und Verbraucherverbände - Verbraucherzentrale Bundesverband e. V. (VZBV)“ zusammengeschlossen. Der Dachverband hatte sich zum 01.11.2000 aus den bis dahin selbstständig agierenden Arbeitsgemeinschaft der Verbraucherverbände e. V. (AgV), Stiftung Verbraucherinstitut (VI) und Verbraucherschutzverein (VSV) neu strukturiert. Neben den VZ der Länder und ihrem Dachverband sind noch eine Reihe von Organisationen bundesweit in der Verbraucheraufklärung tätig, eine der bekanntesten davon ist die Stiftung Warentest in Berlin.
Die VZ in Baden-Württemberg ist ein eingetragener Verein und als gemeinnützig anerkannt. Ihr satzungsgemäßer Zweck ist die Wahrnehmung der Interessen der Verbraucher. Sie verfolgt dabei ausschließlich und unmittelbar gemeinnützige Zwecke im Sinne der Abgabenordnung. Die VZ erfüllt ihre Aufgaben u. a. durch Schaffung und Förderung geeigneter Einrichtungen (z. B. Beratungsstellen), durch individuelle Beratung, durch Unterrichtung der Öffentlichkeit, durch Zusammenarbeit mit anderen Verbraucherorganisationen und durch Verfolgung von Gesetzesverstößen.
Im Oktober 2002 wurden durch Satzungsänderung die bisherigen Organisationsstrukturen verändert. Der ehrenamtliche Vorstand wurde durch einen hauptamtlichen Vorstand ersetzt. Die bisherige Geschäftsführung entfiel. Der ehemals ehrenamtliche Vorstand fungiert nun als Verwaltungsrat, der schwerpunktmäßig den hauptamtlichen Vorstand kontrollieren soll. Die aktuellen Organisationsstrukturen der VZ sind in Schaubild 1 dargestellt.

Die VZ beschäftigte zum 31.12.2001 in der Zentrale und den Beratungsstellen insgesamt 71 Mitarbeiter, davon 20 Vollzeitbeschäftigte und 51 Teilzeitbeschäftigte (inkl. 2 Heimarbeitsplätze). Hinzu kamen 28 Rechtsanwälte und 22 Ingenieure, Bautechniker usw. als Honorarkräfte für die Rechts- und Energieberatung.
In Baden-Württemberg gibt es neben der VZ und ihren Beratungsstellen noch eine Reihe weiterer Institutionen, die in der Fortbildung, Weiterbildung und Beratung der Verbraucher tätig sind. Verbraucheraufklärung und Verbraucherschutz sind bei verschiedenen Ministerien angesiedelt (WM, MLR, IM, SM und UVM).
1.3 Das WM unterstützte die VZ in den Jahren 1996 bis 2001 mit insgesamt rd. 11,7 Mio. €. Daneben förderte das MLR im selben Zeitraum die Personal- und Sachkosten der Ernährungsberatung mit insgesamt rd. 1,2 Mio. €. Zu den Landesmitteln kamen noch Fördermittel des Bundes (BMVEL und bis 1997 BMWi) von insgesamt rd. 1,7 Mio. € hinzu.
Die untersuchten Zuwendungen des Landes wurden z. T. als institutionelle Förderung und z. T. als Projektförderung im Wege der Fehlbedarfsfinanzierung gewährt. Die Abwicklung der Förderung und die Prüfung der Verwendungsnachweise lag großteils im Verantwortungsbereich des WM.
1.4 Auf Grund verschiedener Fördertöpfe und unterschiedlicher Ressortzuständigkeiten erhielt die VZ im Untersuchungszeitraum jährlich bis zu fünf Bewilligungsbescheide, davon allein zwei vom WM. Dementsprechend waren auch bis zu vier unterschiedliche Verwendungsnachweise von der VZ zu erstellen.
2 Prüfungsfeststellungen
2.1 Die Verwendungsnachweisprüfung der Bundes- und Landesmittel obliegt dem WM. Sie erfolgte in den zurückliegenden Jahren nur schleppend. So waren bis zum Juli 2001 nur die Verwendungsnachweise für die Bewilligungsjahre 1996 und 1997 geprüft. Die Prüfung der Verwendungsnachweise 1998, 1999 und 2000 hat das WM im Mai 2002 abgeschlossen.
2.2 Die Einnahmen der VZ setzen sich aus den Eigeneinnahmen, den öffentlichen Mitteln und den sonstigen Einnahmen zusammen (s. Schaubild 2).

Rund drei Viertel der jährlichen Einnahmen der VZ kommen von der öffentlichen Hand (Bund, Land und Kommunen). In den Jahren 1996 bis 2001 waren dies insgesamt über 15,6 Mio. €. Daran war das Land mit rd. 13,0 Mio. € beteiligt, was durchschnittlich 2,2 Mio. € je Jahr entspricht. Die Eigeneinnahmen der VZ haben sich im selben Zeitraum nahezu verdoppelt; dies ist im Wesentlichen auf die 1997 eingerichtete gebührenpflichtige Telefonberatung zurückzuführen.
Im bundesweiten Vergleich lag die VZ mit einem Anteil der Eigeneinnahmen an den Gesamteinnahmen von rd. 21 % im Jahr 2000 auf Rang vier aller VZ.
Trotz der erheblichen Steigerung der Eigeneinnahmen konnte der Haushalt in den letzten Jahren nicht immer ausgeglichen werden, wie Schaubild 3 zeigt.

Die Darstellung der Einnahmen und Ausgaben (Schaubild 3) lässt erkennen, dass die Jahresabschlüsse der VZ seit 1999 jeweils einen Fehlbetrag ausweisen. Er betrug 1999 rd. 70.000 €, im Jahr 2000 rd. 63.000 € und ging im Jahr 2001 auf 55.000 € zurück. Nach Angaben der VZ konnten diese Fehlbeträge im Jahr 2002 ausgeglichen werden.
2.3 Die VZ gliedert sich in die drei Organisationseinheiten Vorstand (ehemals Geschäftsführung), Servicebereiche und Produktbereiche. Seit Mai 2001 war die Geschäftsführung nur noch mit einem Geschäftsführer besetzt. Er wurde nach der am 01.10.2002 von der Mitgliederversammlung beschlossenen Satzungsänderung zum hauptamtlichen Vorstand bestellt.
Die 71 Mitarbeiter (Stand 31.12.2001) der VZ sind entweder voll- oder teilzeitbeschäftigt oder haben einen Heimarbeitsplatz. Die Arbeitszeitmodelle reichen von 38,5 Wochenstunden bei den Vollzeitbeschäftigten bis zu 9,63 Wochenstunden (= 25 %) bei den Teilzeitbeschäftigten. Die flexible Arbeitszeitgestaltung wurde durch eine Betriebsvereinbarung Ende 2000 eingeführt. Nach Feststellung des RH hielten im Jahr 2001 einzelne Mitarbeiter der VZ bei der Wahl ihrer Arbeitszeit Regelungen der Betriebsvereinbarung, z. B. die Regelarbeitstage für Vollbeschäftigte und die maximale Arbeitszeit von täglich höchstens 10 Stunden, nicht ein. Einige Teilzeitbeschäftigte blieben außerdem unter oder über der Soll-Arbeitszeit. Durch die unterschiedlichen Arbeitszeitmodelle waren einzelne Servicebereiche stunden- oder gar tageweise personell nicht besetzt.
Die Geschäftsführung (jetzt Vorstand) übernahm neben ihrem eigentlichen Aufgabenbereich (z. B. Personalführung, Unterbringung und Organisation für die Zentrale und die 15 Beratungsstellen, Mitarbeit bei der Neustrukturierung des Bundesverbandes, Abstimmung mit anderen Bundesländern) noch zusätzliche Aufgaben aus den Servicebereichen. Es war für die Geschäftsführung daher nicht immer möglich, alle Führungsaufgaben, insbesondere Steuerung und Kontrolle, sachgerecht und ausreichend zu erfüllen. Probleme im Verfahrensablauf, unübersichtliche Arbeitszeiten, stark an Mitarbeiterinteressen und wenig an denen der Kunden orientierte Präsenzzeiten sowie Zuständigkeitsüberschneidungen waren die Folge.
In diesem Zusammenhang muss auch die Festlegung der Öffnungszeiten kritisch gesehen werden. Historisch bedingt wird der beratungsfreie Montag für Schulungen und Fortbildungsmaßnahmen belegt, am Freitag Nachmittag ist die VZ geschlossen.
2.4 Beratungssuchende können mit der VZ über ein zentrales Infotelefon, ein zentrales Fax, das Internet oder über eine gebührenpflichtige Telefonberatung Kontakt aufnehmen.
2.4.1 Das Infotelefon soll für diejenigen Kunden zur Verfügung stehen, die keine telefonische Fachberatung wünschen, sondern Broschüren bestellen, Termine für persönliche Beratungen vereinbaren, Zuständigkeiten klären oder sich allgemeine Informationen über die Verbraucherorganisationen beschaffen wollen. Die Kontaktsuche der Verbraucher scheitert jedoch häufig an der telefonischen Erreichbarkeit, da das Infotelefon lediglich über eine einzige Endnummer geschaltet und dadurch völlig überlastet ist.
In einem von der Stadt Stuttgart geförderten Pilotprojekt wurden im Jahr 2000 über einen Zeitraum von vier Monaten hinweg die Erreichbarkeit der VZ untersucht. Dazu wurden alle über das Infotelefon an die VZ gerichteten Anfragen an ein Call Center eines Telefonanbieters umgeleitet, erfasst und statistisch ausgewertet. Nach den Ergebnissen dieser Untersuchung wurde das Infotelefon am meisten montags und dienstags angewählt; der Freitag war der kontaktschwächste Tag der Woche. In den Tageszeiten lagen die Spitzen zwischen 10:00 und 12:00 Uhr und zwischen 14:00 und 16:00 Uhr. Nach 18:00 Uhr bestand kaum noch Nachfrage. Hinsichtlich der Erreichbarkeit kam eine VZ-interne Auswertung zu dem Ergebnis, dass rd. zwei Drittel der Anrufer über das Infotelefon auch nach mehrmaligen Versuchen nicht die VZ kontaktieren konnten; an einigen Tagen lag die Erreichbarkeit unter 20 %.
Eine weitere wichtige Aussage enthält diese Studie hinsichtlich der erbrachten Dienstleistungen. So wurden von den Anrufern, die eine Verbindung mit der VZ erhielten, über 50 % auf eine kostenpflichtige Telefonberatung verwiesen. Rund 20 % der Anrufer erhielten Termine für eine persönliche Beratung oder bestellten Broschüren.
Aus dieser Studie kann geschlossen werden, dass die in den jährlichen Geschäftsberichten ausgewiesenen nicht kostenpflichtigen Telefonauskünfte nur einem Drittel des tatsächlichen Potentials entsprechen dürften. Im Jahr 2000 wurde die Zahl der nicht kostenpflichtigen Telefonauskünfte mit 33.780 angegeben. Unter Berücksichtigung des Auswertungsergebnisses der VZ ergäbe dies hochgerechnet insgesamt rd. 101.000 Anrufe (= 100 %), von denen aber über 67.500 Anrufer (= 2/3) nicht bedient werden konnten. Im Falle einer besseren Erreichbarkeit hätten demnach in der Folge höhere Einnahmen erzielt werden können.
2.4.2 Die VZ hat seit 01.04.1997 eine gebührenpflichtige Telefonberatung eingeführt. Sieben 0190-Nummern sind jeweils dienstags, mittwochs und donnerstags von 10:00 bis 18:00 Uhr freigeschaltet. Die für die Beratung entstehenden Gebühren (1,24 € je Minute) werden automatisch über die Telefonrechnung des Kunden eingezogen. Die VZ hat intern für die Jahre 1998 bis 2000 durchschnittliche Einnahmen von 2,50 € je Anruf errechnet.
Da die Erreichbarkeit des gebührenpflichtigen Beratungsdienstes sich unmittelbar auf die Einnahmen auswirkt, bildete der RH eine Kennzahl aus der Relation von eingegangenen zu angenommenen Anrufen. Basis waren die wöchentlich erstellten Telefonstatistiken des Jahres 2000. Daraus errechnet sich ein Jahresdurchschnitt von 34 % für angenommene Gespräche. Demnach wurden - ähnlich wie beim Infotelefon (s. Pkt. 2.4.1) - rd. 66 % der eingegangenen Anrufe nicht bedient. Die Erreichbarkeit wurde u. a. dadurch wesentlich beeinträchtigt, dass vor allem montags, also an einem sehr nachfragestarken Wochentag (s. Pkt. 2.4.1), und freitags keine Telefonberatung stattfindet.
2.4.3 Unter Federführung der VZ Nordrhein-Westfalen wurde ein gemeinsamer Internetauftritt für die VZ Baden-Württemberg, Brandenburg und Nordrhein-Westfalen geschaffen. Unter der Domäne www.verbraucherzentrale.de und www.verbraucherzentrale-bawue.de können interessierte Verbraucher auf die Internetseiten zugreifen. Das derzeitige Internetangebot enthält verschiedene kostenfreie und gebührenpflichtige Beratungsangebote, Pressemitteilungen, Verweise auf Telefonberatung und Beratungsstellen sowie eine Übersicht über die Standorte der Infotheken. Weiter können über Online-Shopping kostenpflichtige Ratgeber, Musterbriefe usw. heruntergeladen werden. Ausweislich ihrer Geschäftsberichte haben sich die Internetzugriffe bei der VZ Baden-Württemberg von 20.000 im Jahr 1997 auf 172.309 im Jahr 2001 eingependelt.
3 Bewertung
3.1 Die Prüfung der Verwendungsnachweise ist nach den haushaltsrechtlichen Bestimmungen zeitnah durchzuführen. Insbesondere ist nach Eingang des Verwendungsnachweises unverzüglich zu prüfen, ob sich daraus Anhaltspunkte für Erstattungsansprüche ergeben. Durch die festgestellte jahrelang verspätete Verwendungsnachweisprüfung des WM ist nicht nur gegen haushaltsrechtliche Bestimmungen verstoßen worden, sondern es sind auch die Möglichkeiten, die sich aus der Verwendungsnachweisprüfung ergeben, nicht genutzt worden. So hat es das WM versäumt, zeitnah zu prüfen, ob die Fördermittel zweckentsprechend verwendet und ob insbesondere die mit den Zuwendungen beabsichtigten Ziele erreicht worden sind. Auf Grund der fehlenden Erfolgskontrolle hat das WM als Bewilligungsstelle auch nicht lenkend und ordnend in das Geschäftsverhalten der VZ eingreifen können.
Der RH ist der Auffassung, dass das WM bei einer zeitnahen und intensiven Prüfung die zum einen sichtbaren organisatorischen Probleme der VZ und zum anderen auch die vorhandenen, nicht ausreichend ausgeschöpften Einnahmepotentiale hätte erkennen können.
3.2 Mit einer Eigeneinnahmenquote von 18,9 % im Durchschnitt der Jahre 1996 bis 2000 rangiert die VZ auf Platz 4 aller deutschen VZ und damit deutlich über dem Länderdurchschnitt. Vergleichbare Flächenstaaten wie Bayern, Nordrhein-Westfalen und Rheinland-Pfalz liegen unter dem Länderdurchschnitt von 13,3 %. Die VZ Hessen und Niedersachsen liegen mit 19,7 % bzw. 21,1 % vor der VZ Baden-Württemberg.
Trotz der recht günstigen Benchmark-Position und der Steigerung der Eigeneinnahmen hat die VZ von 1999 bis 2001 Fehlbeträge in Höhe von insgesamt 188.000 € ausgewiesen. Der RH ist trotz des Ausgleichs der Fehlbeträge im Jahr 2002 der Meinung, dass die VZ weiter versuchen muss, in den kommenden Jahren die Eigeneinnahmen zu steigern. Aber auch die Ausgabenseite sollte stärker als bisher kritisch hinterfragt werden.
3.3 Der Vorstand (ehemals Geschäftsführung) sollte sich auf seine Kernaufgaben konzentrieren. Die Führung der Organisation, der Vollzug von Beschlüssen des Verwaltungsrats und die Ausarbeitung von Strategien sollten dabei künftig im Vordergrund stehen. Eine stärkere Kundenorientierung, eine stärkere Betonung der Umsatzsteigerung und ein entsprechendes Personalmanagement, insbesondere im Hinblick auf Aufgabenverteilungen und Erreichbarkeit, sind anzustreben. Die Mitarbeit bei Öffentlichkeitsarbeit, Buchhaltung und sonstigen Verwaltungsarbeiten sollte sich auf Ausnahmefälle beschränken. Durch die damit verbundene Entlastung wird es möglich sein, die bereits mit der Satzungsänderung vollzogene Reduzierung des Vorstands auf eine Person zu kompensieren.
Die Nichteinhaltung der Betriebsvereinbarung und gesetzlicher Bestimmungen durch Mitarbeiter waren der Geschäftsführung (jetzt Vorstand) teils nicht bekannt, teils wurden sie toleriert. Die durch Arbeitszeitmodelle bedingte teilweise eingeschränkte Präsenz und die daraus resultierende Verlagerung von Aufgaben auf die Geschäftsführung oder auf freie Mitarbeiter wurde zwar im Vorstand (jetzt Verwaltungsrat) thematisiert, entsprechende Konsequenzen aus diesen Erkenntnissen konnte der RH jedoch nicht feststellen.
Nach Auffassung des RH ist auch die historisch bedingte Übung, den Montag für Schulung und Fortbildung frei zu halten, nicht mehr zeitgemäß und führt zu erheblichen Einnahmeverlusten für die VZ. Die Erreichbarkeit, sei es während der Öffnungszeiten der Beratungsstellen oder in der Telefonberatung, ist dem geänderten Kundenverhalten anzupassen und sollte sich nicht primär an den Wünschen der Mitarbeiter hinsichtlich bestimmter Arbeitstage und Arbeitszeiten orientieren.
3.4 Die unbefriedigende Erreichbarkeit der VZ über das Infotelefon und über die 0190-Leitungen für die gebührenpflichtige Telefonberatung hat die Folge, dass erhebliche Einnahmenpotentiale nicht erschlossen werden können.
3.4.1 Die Ergebnisse der VZ-internen Auswertung des Pilotprojekts, wonach durchschnittlich zwei Drittel aller Anrufer auch nach mehreren Wählversuchen nicht zum Zuge kamen, lässt die ungenutzten Möglichkeiten zusätzlicher Einnahmeerzielung erkennen. Für das Jahr 2000 bedeutet die genannte Auswertung, dass rd. 67.500 (= rd. 2/3) Anrufer nicht bedient werden konnten. Wird dabei unter Berücksichtigung des Untersuchungsergebnisses des Pilotprojekts (s. Pkt. 2.4.1) angenommen, dass bis zu rd. 50 % dieser Anrufer auf eine kostenpflichtige Telefonberatung verwiesen werden konnten und diese die gebührenpflichtige Telefonberatung genutzt hätten, errechnet sich ein mögliches zusätzliches Einnahmevolumen von bis zu 84.000 €.
3.4.2 Unabhängig von den Aussagen unter Pkt. 3.4.1 über die Gewinnung von zusätzlichen Kunden mit den möglichen Auswirkungen auf die gebührenpflichtige Telefonberatung hat auch die vom RH festgestellte, grundsätzlich schlechte Erreichbarkeit der Telefonberatung über die von der VZ geschalteten 0190-Nummern zur Folge, dass mögliche Einnahmen in großem Umfang nicht erzielt wurden bzw. werden. Auf der Basis der Jahresstatistik 2000 wurden nur 77.700 (34 %) der Anrufer bedient, die restlichen rd. 150.800 (66 %) Anrufer konnten nicht bedient werden. Bei durchschnittlichen Einnahmen je Anruf von 2,50 € entspräche dies einem noch zu erschließenden Einnahmenvolumen von bis zu 377.000 €. Zusammen mit möglichen Folgegeschäften aus dem Infotelefon (s. Pkt. 3.4.1) ergibt sich hochgerechnet ein zusätzliches Einnahmepotential bei der Telefonberatung von über 460.000 €.
Der RH verkennt nicht, dass die den Berechnungen (s. auch Pkt. 3.4.1) zu Grunde liegenden Basisdaten jährlichen Schwankungen unterworfen sind und auch Mehrfachanrufer umfassen können. Die exemplarisch für das Jahr 2000 dargestellten Hochrechnungen lassen dennoch erhebliche Einnahmenpotentiale erkennen, die es zu erschließen gilt.
3.4.3 Die Zugriffe auf das Internetangebot zeigen den Trend in der Verbraucheraufklärung. Ausweislich des Geschäftsberichts 2001 decken die Anfragen über das Internet schon 40 % der Beratungskontakte ab. Es ist daher nicht auszuschließen, dass die klassischen Beratungselemente, wie persönliche und schriftliche Beratungen, Gruppenveranstaltungen und Aktionen, in der Zukunft zu Gunsten der Internet-Beratung an Bedeutung einbüßen. Diese Entwicklung muss aufmerksam verfolgt werden. Insbesondere die Bewilligungsbehörden sind gefordert, die dadurch zu erwartenden Auswirkungen auf die Organisationsstruktur und auf die Auslastung der vorhandenen Personalkapazität der VZ bei der Bewilligung von Zuwendungen rechtzeitig und nachhaltig zu berücksichtigen.
3.5 Die VZ erhält von mehreren Bewilligungsstellen des Landes Zuwendungen. Dadurch werden durch die unterschiedlichen Verfahren Ressourcen sowohl auf Seiten der Zuwendungsgeber als auch auf Seiten der VZ gebunden. Der RH hält eine Bündelung der verschiedenen Förderbereiche für erstrebenswert. Als erster Schritt sollte die Verwendung der Fördermittel gemäß VV Nr. 1.3 zu § 44 LHO in einem Nachweis belegt werden.
4 Empfehlungen
4.1 Nachdem die teilweise Finanzierung der VZ durch die öffentliche Hand politisch gewollt ist und im Bereich der Eigeneinnahmenerzielung erkennbare Fortschritte erzielt wurden (s. auch Bundesvergleich), sollten verstärkt die Ausgaben der VZ hinterfragt werden. Dabei sind alle Ausgabenpositionen auf den Prüfstand zu stellen. Synergie-Effekte, die sich nach der Neustrukturierung auf Bundesebene ergeben, sind zu nutzen. Soweit es sich insgesamt als wirtschaftlicher erweist, sollten z. B.
- Leistungen des Bundesverbandes und anderer VZ (Reportagen, Flyers, Broschüren usw.) verstärkt eingekauft werden,
- bisher von der VZ erbrachte Leistungen an externe Anbieter vergeben werden (z. B. Druckvorlagen, Plakate usw.),
- die Aufgaben des Servicebereichs Buchhaltung komplett an ein Steuerberaterbüro vergeben werden.
Zusätzlich sollten die Produktbereiche gestrafft, die Produktmanager stärker in die Beratung eingebunden und die Gewinnung von Honorarkräften auch für andere als nur den Rechts- und Energiebereich forciert werden.
Der RH regt weiter an, grundsätzlich zu prüfen, ob nicht durch eine enge Kooperation mit dem Bundesverband und den VZ der anderen Länder ein Pool von spezialisierten Mitarbeitern, z. B. Designern, Grafikern, EDV-Systembedienern, Pressereferenten usw., geschaffen werden könnte. Hierdurch ließen sich personelle Ressourcen einsparen.
4.2 Durch die mögliche Straffung und Optimierung der Organisationsstruktur könnten nach Meinung des RH Ressourcen beim Vorstand und bei Mitarbeitern freigesetzt werden. In zentralen Servicebereichen sollte die tägliche Präsenz sichergestellt und zu speziellen Verbraucherthemen zudem verstärkt auf den Erfahrungsschatz der bisherigen Honorarkräfte zurückgegriffen werden.
4.3 Der RH empfiehlt angesichts der nicht ausgeschöpften Einnahmepotentiale (s. Pkt. 3.4), neben den 0190-Beratungsnummern ein verbraucherfreundliches Infotelefon mit mehreren Rufnummern landesweit einzurichten. Es sollte zudem sichergestellt werden, dass die telefonische Erreichbarkeit der VZ und ihrer Beratungsstellen an allen Werktagen gesichert ist. Weiter empfiehlt der RH, sowohl für das neu einzurichtende Infotelefon als auch für die schon bestehende Telefonberatung unter den 0190-Nummern die Werbung zu intensivieren. Darin eingeschlossen sollte auch das Internetangebot der VZ werden, insbesondere im Blick auf kostenpflichtige E-Mail-Beratung, themenspezifische Online-Beratung, Diskussionsforen und Online-Shopping.
Die Ausweitung des Angebotes sollte aber ohne Aufstockung des Personals erreicht werden. Der RH regt hierzu an, bei personellen Engpässen auf den gesamten Beraterstamm zurückzugreifen. Zusätzlich sollte die Kooperation mit VZ anderer Länder angestrebt und das Einrichten eines gemeinsamen Beraterpools aus dem Personalbestand aller VZ forciert werden. Darüber hinaus empfiehlt der RH, verstärkt neue Beratungsthemen durch Marktbeobachtung und Erforschen des Nachfrageverhaltens zu erarbeiten und die Nachfrage nach solchen Themen durch gezielte Werbeaktionen zu aktivieren. In die Themenfindung könnte sich der bei der VZ eingerichtete Beirat noch stärker als bisher einbringen.
4.4 Es ist zu prüfen, ob die finanztechnische Abwicklung der gesamten Landesförderung einschließlich der Verwendungsnachweisprüfung auf die L-Bank übertragen werden kann. Ein entsprechendes Angebot über die beabsichtigte Vergütung für die finanztechnische Abwicklung sollte - sofern noch nicht geschehen - eingeholt und diese Tätigkeiten von den Ministerien abgegeben werden. Weiter empfiehlt der RH, für die Fördermittel von WM und MLR einen gemeinsamen Verwendungsnachweis anzustreben.
5 Stellungnahme des Ministeriums
Die Prüfung der Verwendungsnachweise der Jahre 1998 bis 2000 sei abgeschlossen. Das WM werde die Prüfung der Verwendungsnachweise künftig entsprechend den haushaltsrechtlichen Vorgaben zeitnah durchführen. Zur besseren Erfolgskontrolle habe es außerdem der VZ eine vierteljährige Berichtspflicht über die Geschäftsentwicklung in den Zuwendungsbescheiden aufgegeben. Im Übrigen ist das WM der Meinung, dass es auf Grund regelmäßiger Gespräche mit der VZ und durch die Teilnahme an den Vorstandssitzungen über die Geschäftsentwicklung informiert war und auch unabhängig von der Verwendungsnachweisprüfung lenkend und ordnend in das Geschäftsverhalten der VZ eingreifen konnte.
Das WM habe die Steigerung des Eigeneinnahmeanteils der VZ schon bisher aktiv begleitet. Im Übrigen teile es die Auffassung des RH, dass die VZ weiter versuchen müsse, in den kommenden Jahren die Eigeneinnahmen zu steigern und die Ausgabenseite kritisch zu hinterfragen. Im Blick auf den gezielten Einsatz der personellen Ressourcen seien im Jahr 2002 unübersichtliche Arbeitszeiten der Mitarbeiter bereinigt worden. Das WM teile hierbei die Auffassung des RH, dass sich der Vorstand auf seine Kernaufgaben konzentrieren sollte; mit der Satzungsänderung sei hierfür eine klare Grundlage geschaffen worden.
Um die telefonische Erreichbarkeit der VZ und ihrer Beratungsstellen zu verbessern, habe die VZ neben dem allgemeinen Infotelefon eine 0180-Nummer geschaltet. Derzeit können über diese Nummer von Montag bis Freitag jeweils von 09:00 bis 12:00 Uhr Beratungstermine vereinbart werden. Es sei beabsichtigt, die zeitliche Schaltung der 0180-Telefonnummer bis in die Abendstunden auszuweiten. Zur Verbesserung der Telefonberatung habe die VZ inzwischen den Telekommunikationsanbieter gewechselt. So solle insbesondere in stark nachgefragten Beratungsbereichen die telefonische Erreichbarkeit verbessert werden. Die Empfehlung des RH, das Beratungsangebot auf alle Werktage auszudehnen, sei nach Meinung des WM insbesondere für den Montag nicht ohne zusätzliches Personal umzusetzen. Das vom WM beteiligte MLR teile bezüglich der aufgezeigten Möglichkeiten zur Steigerung der Beratungskontakte ohne Aufstockung des Personals die Auffassung des RH nicht. Es befürchte Qualitätsverluste in der Beratung und rechne für die Bewältigung zusätzlicher Beratungskontakte einen Mehrbedarf von rd. 10 Vollzeitarbeitskräften. Das MLR könne für den Ernährungsbereich diesen zusätzlichen Kostenaufwand nicht übernehmen. Das MLR vertrete die Auffassung, dass die telefonische Beratung nicht alleiniger Arbeitsschwerpunkt der Beratungskräfte sein dürfte. Es wies zudem darauf hin, dass im Ernährungsbereich auch Beratungsformen angewendet werden müssten (Aktionen, Ausstellungen, Diskussionsforen usw.), die allerdings weniger geeignet seien, Einkünfte zu erzielen.
Das WM prüfe derzeit noch die Möglichkeit, die finanztechnische Abwicklung der Förderung auf die L-Bank zu übertragen. Es werde das vorliegende Angebot der L-Bank analysieren und eine Kostenvergleichsrechnung vornehmen. Die vollständige Bündelung der verschiedenen Förderungen lasse sich aber auf Grund verschiedener Zuständigkeiten und hausrechtlicher Bestimmungen nicht ohne weiteres umsetzen. Das WM habe die Förderung der Energieberatung ab dem Jahr 2003 eingestellt, somit entfalle eine Bewilligungsstelle. Das WM prüfe schon jetzt die Verwendung der Fördermittel des WM und des MLR und sehe die vorgelegten Nachweise als einen gemeinsamen Verwendungsnachweis an. Getrennte Sachberichte seien aber auf Grund anteiliger Bundesförderung im Ernährungsbereich weiterhin erforderlich.
Die VZ habe ihre Ausgabepositionen auf den Prüfstand gestellt und strebe eine enge Kooperation mit dem Bundesverband und den anderen VZ an. Im Blick auf mögliche Kooperationen wurden im Jahr 2002 Gespräche mit einer andern VZ geführt. Die dabei diskutierten finanziellen Ausgleichsregelungen wären nach Aussagen des WM für die VZ nicht vorteilhaft gewesen. Deshalb konnte bislang keine Übereinkunft über die angestrebte Kooperation erzielt werden.
6 Schlussbemerkung
Der RH verkennt nicht, dass durch die neue Führungsstruktur und die Einbindung der Produktmanager in die Steuerung und Kontrolle der Beratungstätigkeiten erste Schritte für ein effizienteres Arbeiten der VZ gemacht worden sind. Durch den Wechsel des Telekommunikationsanbieters könnte auch die telefonische Erreichbarkeit bei der Telefonberatung verbessert worden sein.
Angesichts der vom RH dargestellten nicht ausgeschöpften Einnahmepotentiale ist es weiterhin nicht zu vertreten, dass der Montag als einer der nachgewiesen kontaktstärksten Beratungstage für interne Schulung, Vor- und Nachbereitung sowie intensive Einzelberatungsgespräche, nicht aber für die Telefonberatung zur Verfügung steht. Der RH hält an seiner Meinung fest, dass die Öffnungszeiten der Beratungsstellen und die Telefonberatung dem Kundenverhalten angepasst werden müssen und sich nicht primär an den Wünschen der Mitarbeiter hinsichtlich bestimmter Arbeitstage und Arbeitszeiten orientieren sollen. Dies kann ohne zusätzliches Personal organisatorisch gelöst werden. Der RH begrüßt die bisher von der VZ unternommenen Schritte, das Beratungsangebot zu verbessern. Er hält es aber für geboten, die Bemühungen zur weiteren Verbesserung der Eigeneinnahmen zu intensivieren. Auch das Beratungsangebot sollte ohne Aufstockung des Personals ausgeweitet werden. Dies ist durch einen verstärkten Zugriff auf den gesamten Beraterstamm und durch Kooperation mit dem Bundesverband und den VZ anderer Länder grundsätzlich möglich.
Auf der Ausgabenseite sollte die Verlagerung von Aufgaben an Externe und der gezielte Einkauf von Leistungen anderer VZ intensiviert werden. Mittelfristig sollte insbesondere die Möglichkeit eines gemeinsamen Mitarbeiterpools mit den VZ des Bundes und der Länder umgesetzt werden, um die Personalkosten bei der VZ zu senken.
Anhänge
Die Bewilligungspraxis entspricht vielfach nicht den Richtlinien. Die festgestellte Diskrepanz zwischen den Vorgaben der Richtlinien einerseits und der Verwaltungspraxis andererseits zeigt Handlungsbedarf auf. Fördertatbestände und -verfahren müssen systematischer und transparenter gefasst und Kontrollmechanismen verbessert werden. Die derzeitigen Zuständigkeitsregelungen beim Landesgewerbeamt sind zu überprüfen.
1 Vorbemerkung
Das Land gewährt bereits seit 1977 kleinen und mittleren Unternehmen (KMU) des Landes Zuwendungen zur Förderung der beruflichen Bildung nach den Richtlinien des WM. Neben dem Land fördert der Bund die überbetriebliche berufliche Bildung im Handwerk mit ähnlicher Zielsetzung wie das Land.
Mit dem Förderprogramm des Landes wird eine Steigerung der Leistungsfähigkeit der Wirtschaft und eine bessere Anpassung an die technische Entwicklung angestrebt. Dazu sind ein fachlich und regional ausgewogenes Angebot an überbetrieblichen Aus- und Fortbildungsmöglichkeiten und ein bedarfgerechtes Netz überbetrieblicher Aus- und Fortbildungsstätten erforderlich. Durch die Förderung der überbetrieblichen beruflichen Aus- und Fortbildung in der gewerblichen Wirtschaft und der in der Wirtschaft tätigen freien Berufe sollen Anreize für eine verstärkte Qualifizierung geschaffen werden.
2 Prüfungsfeststellungen
2.1 Die Förderung durch das Landesgewerbeamt Baden-Württemberg (LGA) hat sich an den Richtlinien des WM für die Gewährung von Zuwendungen zur Förderung der beruflichen Bildung zu orientieren, die im Gesetz zur Mittelstandsförderung (Mittelstandsförderungsgesetz) ihre Rechtsgrundlage haben. Änderungen der Fördermodalitäten erfolgten mehrmals ohne eine entsprechende Anpassung der Richtlinien.
Dabei wurden Förderbedingungen durch Merkblätter neu definiert, die den Antragstellern bekannt gegeben wurden. Hatte sich beispielsweise die Förderung nach den geltenden Richtlinien an der Zahl der Kurse und der Qualifikation der Ausbilder orientiert, so wurde ab dem Jahr 1994 pauschal ein Zuschuss in Höhe von 5,88 € je Unterrichtsstunde bewilligt und das Antrags- und Abrechnungsverfahren neu geregelt. Ab dem Jahr 2001 wurde die Förderung erneut umgestellt. Die Förderung orientiert sich seither an der Gebühr, die der Teilnehmer zu entrichten hat.
2.2 Im Zeitraum von 1999 bis 2001 wurden im Rahmen des Förderprogramms „Überbetriebliche Berufsausbildung“ (üba-Lehrgänge) je Jahr rd. 8 Mio. €, insgesamt knapp 24 Mio. € bewilligt.
Für die Fachkurse wurde 1999 und 2000 jeweils 190.000 € bewilligt. Durch die seit 2001 zusätzlich bereitgestellten Mittel aus dem Europäischen Sozialfonds (ESF) war ein erheblicher Anstieg der vom Land bewilligten Gelder - jetzt als Komplementärmittel - festzustellen. Der Einsatz an Landesmitteln hat sich 2002 auf Grund der neuen Förderkonditionen auf rd. 1,2 Mio. € vervielfacht.
2.3 Nach dem Mittelstandsförderungsgesetz können nur KMU gefördert werden, d. h. förderfähig sind nur die Aus- und Fortbildungsmaßnahmen für Teilnehmer aus KMU. Wesentliches Definitionsmerkmal für KMU ist die Zahl der Beschäftigten. Vor Inkrafttreten des im Jahr 2000 neu gefassten Mittelstandsförderungsgesetzes lag der Grenzwert bei 500 Beschäftigen; nunmehr liegt die Grenze - in Anlehnung an die Definition der Europäischen Union (EU) - bei 250 Beschäftigten.
Im Bereich der überbetrieblichen Ausbildung wurde bereits 1997 festgestellt, dass auch die Teilnahme von Auszubildenden aus Großbetrieben abgerechnet wurde. Entgegen den Vorgaben der Richtlinien hat das LGA entschieden, dass dieser Teilnehmerkreis dann weiterhin gefördert werden kann, wenn beim jeweiligen Lehrgang die Anzahl der Lehrlinge aus KMU überwiegt. Entsprechend wurde bis 1999 verfahren.
Bei einer Umfrage des LGA im Jahr 1999 bei 13 Zuwendungsempfängern wurde festgestellt, dass rd. 200 Lehrlinge aus Großbetrieben im Jahresdurchschnitt rd. fünf Wochen an der überbetrieblichen Berufsausbildung teilnehmen. Auf dieser Basis hat das LGA hochgerechnet, dass die Förderung dieser Teilnehmer einen Mehraufwand von 51.129 € je Jahr oder 0,7 % der jährlichen Zuschusssumme von 7,2 Mio. € verursacht. Diese Berechnung des LGA ist falsch, da nach den Feststellungen des RH deutlich über 100 Maßnahmeträger Zuwendungsempfänger sind, von denen weit mehr als die berücksichtigten 13 auch Lehrlinge aus Großbetrieben ausbildeten. Die Berechnung des LGA, die auf die gesamte Zuschusssumme bezogen wird, beruht demnach auf der Basis von weniger als 13 % aller Zuwendungsempfänger. Der Prozentsatz der jährlichen Zuschusssumme, der auf Nicht-KMU-Teilnehmer entfällt, dürfte deutlich höher sein als die genannten 0,7 %.
Auf Grund des - auf falscher Grundlage - als geringfügig bewerteten Mehraufwands hat das LGA abweichend von der bestehenden Rechtslage eine besondere Regelung für Großbetriebe geschaffen. Ein Großbetrieb wird u. a. vom LGA gefördert, wenn seine Niederlassung im Einzugsgebiet des antragstellenden Bildungszentrums weniger als 1.000 Mitarbeiter hat. Auf dieser Grundlage fördert das LGA bis heute die Auszubildende aus Großbetrieben, von öffentlichen Arbeitgebern und sozialen Ausbildungseinrichtungen, obwohl diese nicht zur mittelständischen Wirtschaft gehören.
Bei der Förderung der Fachkurse war hinsichtlich der Zielgruppe KMU die gleiche Problematik wie bei der Förderung der überbetrieblichen Lehrgänge festzustellen.
2.4 Die Anträge auf Förderung der überbetrieblichen Lehrgänge sind mindestens vier Wochen vor der Einleitung des Vorhabens an das LGA zu richten. Abweichend von dieser Regelung haben mehrere Zuwendungsempfänger ihre Anträge erst eingereicht, nachdem die Lehrgänge z. T. bereits stattgefunden oder zumindest begonnen hatten. Bei einem Antragsteller wurden beispielweise die Lehrgänge für den Monat Januar 2001 gefördert, obwohl der Antrag erst am 13.02.2001 beim LGA eingegangen war. In einem anderen Fall ging der Antrag erst am 12.09.2001 ein, trotzdem wurden die Zuschüsse für die beantragten Lehrgänge rückwirkend ab Januar 2001 bewilligt.
2.5 Das LGA fördert die Bauberufe des Handwerks abweichend von den Richtlinien und führte interne Förderkriterien ein, welche die Förderung der überbetrieblichen Ausbildung durch Sozialkassen bei bestimmten Bauberufen berücksichtigt.
Im Jahr 1996 stellte das LGA fest, dass ein Landesinnungsverband bereits seit 1988 überhöhte Fördersätze (im 1. Ausbildungsjahr: 36 € je Teilnehmerwoche; im 2. und 3. Ausbildungsjahr: 70 % des Bundeszuschusses) erhielt. Diesem Verband wurde daraufhin mitgeteilt, dass ab 01.01.1997 in allen Ausbildungsjahren die Förderung auf 31 € je Teilnehmerwoche reduziert wird.
Der Zuschuss für das 1. Ausbildungsjahr war korrekt mit 31 € je Teilnehmerwoche berechnet, im 2. und 3. Ausbildungsjahr wurde jedoch der bisherige Fördersatz beibehalten. Die fehlerhafte Zuschussberechnung bemerkte das LGA im Jahr 2000 und beabsichtigte eine Berichtigung des Bewilligungsbescheids. Der Verband erhob dagegen Einwendungen und wies auf seine dadurch entstehenden Finanzierungsprobleme hin, da die vom LGA geplante Kürzung insgesamt 86.920 € betragen würde.
Im April 2000 teilte das LGA dem Verband mit, dass die Förderung ab September 2000 geändert werde. Nachdem der Verband erneut seine Finanzierungsprobleme darlegte, wurde für den Zeitraum September bis Dezember 2000 ein zusätzlicher Zuschuss in Höhe von 205 € je Teilnehmerwoche, insgesamt also 236 €, gewährt.
Durch die fehlerhafte Zuschussberechnung für die Jahre 1997 bis 1999 waren insgesamt rd. 261.000 € (87.000 € je Jahr) zu viel bewilligt worden. Berücksichtigt man ferner die Sonderförderung von September bis Dezember 2000 und die Tatsache, dass in den Jahren 1988 bis 1996 in Unkenntnis der Förderung aus der verbandseigenen Sozialkasse wesentlich mehr bewilligt wurde als die internen Regelungen des LGA vorsahen, wurde dem Verband weit über eine halbe Million € zuviel gewährt.
2.6 Ein Zuwendungsempfänger bestätigte in den vereinfachten Verwendungsnachweisen eine Mindestanwesenheitsdauer der Auszubildenden von 80 % der Lehrgangsdauer (Mindestvoraussetzung zur Förderung der Lehrgangswochen ohne Kürzung). Dem Verwendungsnachweis war nur eine Liste mit Namen und Unterschrift der Auszubildenden beigefügt, die über die Anwesenheitsdauer keine weiteren Informationen enthielt.
Bei seinen örtlichen Erhebungen hat der RH die Unterlagen über die Anwesenheit der Auszubildenden bei zwei Grundlehrgängen eingesehen. Zur Überprüfung der tatsächlichen Anwesenheit wurden die Anwesenheitslisten einer Gruppe des Grundlehrgangs 1999/2000 bzw. 2000/2001 (zu Vergleichszwecken jeweils die 2. Hälfte der Grundlehrgänge) stichprobenweise ausgewertet.

Die festgestellte Differenz von rd. 31 % beim Grundlehrgang 1999/2000 bzw. von rd. 36 % beim Grundlehrgang 2000/2001 entspricht einer Überförderung von 4.346 € bzw. 5.982 €, die deshalb entstand, weil der Zuwendungsempfänger die Kürzungsregelung nicht beachtete. Rechnet man das Auswertungsergebnis dieser beiden Gruppen auf die Gesamtzahl der Teilnehmer der geprüften beiden Grundlehrgänge hoch, so ergibt sich eine Überförderung von 21.934 € für das Jahr 2000 und von 25.974 € für das Jahr 2001. Der Zuwendungsempfänger machte bei den örtlichen Erhebungen geltend, ihm sei die Kürzungsregelung nicht bekannt gewesen.
Der RH verkennt nicht, dass diese Auswertung nicht repräsentativ sein muss; sie zeigt jedoch, dass hier ein hohes Potenzial für fehlerhafte Abrechnungen zu Lasten des Landes bestehen dürfte. Ursachen sind die - nicht den Richtlinien entsprechenden und vom LGA nicht beanstandeten - pauschalen oder unvollständigen Nachweise der abrechnungsfähigen Anwesenheitstage.
Nach der Bundesförderung der überbetrieblichen Lehrgänge entfällt beim Ausfall von mehr als einem Unterweisungstag (Mindestanwesenheit vier Tage, also 80 % einer Lehrgangswoche) der Bundeszuschuss für den jeweiligen Teilnehmer ganz. Würde das LGA entsprechend der Bundesregelung verfahren, hätte sich bei der ersten Gruppe ein um 61 % und bei der zweiten Gruppe ein um 71 % geringerer Zuschussbetrag ergeben. Dies entspricht hochgerechnet auf die Gesamtzahl der Teilnehmer der Grundlehrgänge einer um 43.306 € bzw. 50.413 € geringeren Förderung.
2.7 Die Antragsunterlagen sind beim LGA einzureichen, das über den Antrag entscheidet und für die Abwicklung der Fördermaßnahme (Bewilligung, Auszahlung und Prüfung von Zwischen- und Schlussverwendungsnachweis sowie Durchsetzung evtl. Rückforderungen) verantwortlich ist. Zuständig ist für den Bereich der Regierungsbezirke Stuttgart und Tübingen das LGA in Stuttgart und für den Bereich der Regierungsbezirke Karlsruhe und Freiburg das LGA (Direktion Karlsruhe); die haushaltsmäßige Abwicklung der Bewilligungen der Direktion Karlsruhe wird allerdings durch das LGA Stuttgart erledigt mit der Folge, dass jedenfalls mit einem Teil der Verfahren sowohl das LGA Stuttgart als auch die Direktion Karlsruhe befasst sind.
3 Bewertung und Empfehlungen
3.1 Die Bewilligungspraxis des LGA entspricht vielfach nicht den Richtlinien. Die an mehreren Einzelfeststellungen festzumachende Diskrepanz zwischen den Vorgaben der Richtlinien einerseits und der Verwaltungspraxis andererseits zeigt Handlungsbedarf. Soweit die Richtlinien nicht praktikabel sind, müssen sie der Verwaltungspraxis angenähert werden; soweit die Praxis zentrale Ziele und Vorgaben ignoriert, ist die Einhaltung der Richtlinien einzufordern und durchzusetzen. Bei der notwendigen Überarbeitung der Richtlinien sind die Fördertatbestände und -verfahren der einzelnen Förderbereiche zu systematisieren und transparenter zu fassen. Eine Anpassung an die Bundesregelung ist insbesondere im Hinblick auf die Fehltage (s. auch Pkt. 2.6) zu prüfen.
3.2 Die Entwicklung der Landesmittel für Fachkurse, die seit Einsatz der ESF-Mittel sprunghaft angestiegen sind, ist kritisch zu beobachten.
3.3 Bei der Durchführung der Fördermaßnahmen hat das LGA verstärkt darauf zu achten, dass die Zielgruppe der Förderung nach dem Mittelstandsförderungsgesetz, die KMU, besser erreicht wird.
3.4 Die Verwendungsnachweise sind nach den Erfordernissen des LGA zu gestalten und zu standardisieren. Hierzu sind klare Vorgaben erforderlich. Zur Vereinfachung und Beschleunigung sowie zur Vermeidung von unnötigem Verwaltungsaufwand sind die Möglichkeiten des elektronischen Datenaustausches zu nutzen.
3.5 Die Doppelzuständigkeit in diesem Förderbereich (LGA in Stuttgart und Direktion Karlsruhe) verursacht zusätzlichen Abstimmungsbedarf. Die Zuständigkeit sollte beim LGA in Stuttgart zusammen geführt werden.
4 Stellungnahme des Ministeriums
Das WM weist darauf hin, dass angesichts der kontinuierlichen Fortentwicklung in der Bildungslandschaft ein Festhalten am Wortlaut der Richtlinien nicht zielführend sei. Vielmehr sei eine die aktuellen Entwicklungen berücksichtigende Umsetzung der Ziele und des dahinter stehenden Sinnes der Richtlinien zum Mittelstandsförderungsgesetz gefordert. Eine Anpassung der Richtlinien sollte erfolgen, sobald Klarheit über die künftig zur Verfügung stehenden Haushaltsmittel und damit über die Kontinuität der einzelnen Förderprogramme bestehe.
Dagegen hält das WM eine Übernahme der Bundesregelung insbesondere im Hinblick auf die Fehltage für problematisch, da sich die überbetriebliche Lehrgangsförderung des Bundes nicht an alle Wirtschaftsbereiche richte. Die Intentionen der Förderrichtlinien könnten, insbesondere außerhalb des Handwerks, bei Übernahme der Bundesregelung nicht mehr erreicht werden. Das WM erwarte, dass insbesondere bei den Fehltagen durch die geplanten Vor-Ort-Prüfungen eine exaktere Umsetzung der Förderbestimmungen erreicht werden könne.
Das WM teilt nicht den vom RH angeführten Mittelstandsbegriff, wonach Unternehmen bis zu 500 Beschäftigten zum Mittelstand gezählt werden, da eine solche Definition im Mittelstandsförderungsgesetz von 1975 nicht enthalten sei. Dieses Gesetz ließe somit eine freie, vom Einzelfall abhängige Definition des Mittelstandsbegriffes zu. Die Neufassung des Mittelstandsförderungsgesetzes von 2000 wende sich vorrangig an die mittelständischen Unternehmen nach der EU-Definition (weniger als 250 Beschäftigte und Vorjahresumsatz von höchstens 40 Mio. €), sodass der Adressatenkreis der Neufassung in begründeten Fällen weiter als die EU-Definition gehe.
Die beschränkte Berücksichtigung von Teilnehmern aus Großbetrieben sei für das WM notwendig und begründet, weil auf Grund der demografischen Entwicklung für einige Träger von überbetrieblichen Berufsbildungszentren die Einbindung von Teilnehmern von Großbetrieben wirtschaftlich erforderlich sei. Überbetriebliche Ausbildungslehrgänge könnten teilweise nur dadurch realisiert werden, dass auch Lehrlinge außerhalb der EU-Definition für KMU zugelassen würden. Ein Nichtzustandekommen dieser Lehrgänge wäre ein Schaden und ein Nachteil für die Lehrlinge aus baden-württembergischen mittelständischen Unternehmen und in der Folge auch für die baden-württembergischen Unternehmen direkt. Bezuschusst würden die Wirtschaftsorganisationen und Selbsthilfeeinrichtungen der Wirtschaft und nicht die Lehrlinge aus Großbetrieben oder die entsprechenden Großbetriebe. Nach Auffassung des WM sei diese Verfahrensweise nach den Mittelstandsförderungsgesetzen von 1975 und 2000 möglich und sinnvoll.
Bei der Förderung der Fachkurse werde das WM bezüglich der Teilnehmer aus Großbetrieben prüfen, inwieweit die Kursveranstalter verstärkt in die Verantwortung genommen werden könnten, ohne dass die Verhältnismäßigkeit von Aufwand und Nutzen außer Relation gerate.
Das WM beabsichtige, die Verwendungsnachweise entsprechend den Hinweisen des RH zu ändern und künftig einen verstärkten elektronischen Datenaustausch anzubieten. Es sei weiter vorgesehen, die bisherige regionalisierte Förderung und damit die Doppelzuständigkeit in Stuttgart und Karlsruhe aufzugeben und entsprechende Schritte zur Bündelung der Zuständigkeiten in Stuttgart einzuleiten.
5 Schlussbemerkung/Empfehlungen
Die quantitative Mittelstandsdefinition geht bei der Zahl der Beschäftigten von einer Größenordnung von bis zu 500 aus; im Bericht und in den Empfehlungen der Enquetekommission „Situation und Chancen der mittelständischen Unternehmen, insbesondere der Familienunternehmen, in Baden-Württemberg“ (DS 12/5800) wurde u. a. empfohlen: „Vom bisherigen Mittelstandsbegriff, d. h. maximal 500 Beschäftigte und 100 Mio. DM Jahresumsatz, sollte abgerückt und der differenzierter und kleiner dimensionierte Mittelstandsbegriff der EU übernommen werden. Das hieße eine Binnendifferenzierung zwischen Kleinstunternehmen unter 10 Beschäftigten, kleinen Unternehmen unter 50 Beschäftigten und mittleren Unternehmen unter 250 Beschäftigten.“ Auch im Mittelstandsbericht 2000 des WM (Abschn. IV.B.3) wurde u. a. eine Konzentration der Adressaten des Mittelstandsförderungsgesetzes auf Unternehmen bis zu 250 Beschäftigte als Ziel dargestellt. Der RH ist daher nach wie vor der Auffassung, dass die Zielgruppe der Fördermaßnahme die KMU sein sollten, insbesondere im Hinblick auf die verfügbaren Haushaltsmittel. Er geht davon aus, dass diese Fördervoraussetzungen in der Bewilligungspraxis künftig umgesetzt werden. Im Übrigen ist die Frage einer Förderung im Sinne der Richtlinien unabhängig von der Frage einer Zulassung zu Ausbildungslehrgängen. Sollte politisch die vom WM vertretene Meinung festgelegt werden, empfiehlt der RH, die Richtlinien um eine entsprechende Klarstellung zu ergänzen.
Der RH hält an seiner Forderung fest, die Förderrichtlinien umgehend neu zu fassen. Es liegt im Ermessen des Zuwendungsgebers, die Richtlinien so zu gestalten, dass die mit der Fördermaßnahme beabsichtigte Zielsetzung des Landes erreicht wird unter gleichzeitiger Berücksichtigung der berechtigten Belange des Zuwendungsempfängers. Zudem ist es zur Wahrung des Gleichheitsgrundsatzes unerlässlich, Förderrichtlinien zu erlassen, zu veröffentlichen und damit allen Interessenten gleiche Chancen einzuräumen.
Der RH hält die geplanten Vor-Ort-Prüfungen bei der überbetrieblichen Lehrgangsförderung für nicht ausreichend, um den aufgezeigten Fehlentwicklungen entgegenzuwirken. Er vertritt weiterhin die Auffassung, dass die Bundesregelung (Mindestanwesenheit zur Förderung der Lehrgangswochen ohne Kürzung) übernommen werden sollte. Die Förderung von Kurzlehrgängen (2 - 3 Tage), z. B. zur Prüfungsvorbereitung, könnte in künftigen Richtlinien unabhängig hiervon zugelassen werden. Teilnehmer von Kurzlehrgängen sollten allerdings nur dann gefördert werden, wenn sie während des gesamten Lehrgangs anwesend sind.
Anhänge
Die Haushalts- und Wirtschaftsführung des Landesgewerbeamts lässt Defizite erkennen. Die Anmietung von Lagerflächen für Altmaterialien, überalterte Broschüren und sonstige Druckwerke, die nur gelegentliche Nutzung einzelner Flächen, Fehler bei Beschaffungen, Vergaben ohne Ausschreibungen und mangelnde Professionalität bei der Projektdurchführung führten zu finanziellen Nachteilen für das Land.
1 Vorbemerkung
Das Landesgewerbeamt (LGA) ist eine Landesoberbehörde im Geschäftsbereich des WM mit Sitz in Stuttgart, einer Direktion in Karlsruhe und einer Außenstelle - Beschussamt - in Ulm. Dem LGA sind der Landesbetrieb Mess- und Eichwesen mit Eichdirektion und neun Eichämtern, die Landesstelle für Bautechnik sowie die Vergabekammer Baden-Württemberg zugeordnet. Das LGA hat die Aufgabe, Wirtschaftsförderungsmaßnahmen für die mittelständische Wirtschaft umzusetzen; es soll außerdem Informations- und Dienstleistungszentrum für die Wirtschaft sein.
Der RH hat stichprobenweise die Haushalts- und Wirtschaftsführung des LGA der Hj. 1999 bis 2001, anlassbezogen auch weiter zurückliegende bzw. aktuelle Vorgänge aufgegriffen und Folgerungen aus früheren Prüfungen betrachtet. Schwerpunktmäßig hat sich der RH mit der Tätigkeit des LGA im Informations- und Dienstleistungsbereich befasst. Die Erkenntnisse aus der Prüfung geben Anlass, auf erhebliche Defizite im Verwaltungshandeln hinzuweisen.
2 Prüfungsfeststellungen und Bewertungen
2.1 Anmietung von Lagerräumen
Das LGA stellt Informationen über Förderprogramme oder sonstige Fördermaßnahmen in Form von Broschüren, Flyern oder anderen Informationsmaterialien zur Verfügung und hält diese Materialien zum jeweiligen aktuellen Anlass vor; es führt auch Veranstaltungen oder Ausstellungen selbst durch bzw. unterstützt diese durch Bereitstellung von Veranstaltungsräumen, aber auch durch Ausstellungsstände. Hierzu stehen dem LGA in Stuttgart im Haus der Wirtschaft umfangreiche Lagerflächen zur Verfügung; zusätzlich sind weitere Lagerräume in Stuttgart Mitte und in Feuerbach angemietet.
Der RH hat die Frage der Notwendigkeit und Wirtschaftlichkeit der mit hohem Aufwand angemieteten Objekte näher betrachtet. Während die Lagerräume in einem Mietobjekt Heustraße zum 01.04.2003 aufgegeben wurden, ist das Lager in Feuerbach nach wie vor belegt. Es ist seit dem 01.04.1992 zu einem Mietpreis von 6,40 €/m² angemietet und hat auf vier Etagen eine Gesamtfläche von 3.678 m², wovon allein vom LGA 3.375 m² genutzt werden. Im Jahr 2001 sind Sachausgaben von insgesamt 325.361 € angefallen.
Anlässlich einer Ortsbegehung hat der RH folgende Belegung der Flächen festgestellt:
- Gelagert werden: Altmöbel, leere Kartons, Elektronik-Schrott, alte Broschüren, Bücher und Kataloge (u. a. rd. 11.000 Broschüren des WM aus den Jahren 1994 bis 1998 und rd. 5.800 Broschüren und Bücher des Design Centers aus den Jahren 1982 bis 1998 mit insgesamt rd. 1,2 Mio. Seiten Papier).
- Rund 15.000 Bücher sind - noch in Transportkartons verpackt - seit Jahren dort verstaut. Es handelt sich um Teile der ehemaligen Bibliothek für berufliche Bildung beim LGA (Gewerbebücherei Direktion Karlsruhe), deren Auflösung der RH in seiner Denkschrift 1996, Nr. 15 gefordert hatte. Das WM hatte sich der Auffassung des RH angeschlossen, dass die Gewerbebücherei nicht weitergeführt werden soll. Die Sinnhaftigkeit der nunmehr jahrelangen Einlagerung der Bücher erschließt sich dem RH nicht.
- Zwei Stockwerke werden durch das Referat „Ausstellungen, Messen“ als zweite Schreinerei (eine weitere größere Schreinerei befindet sich im Haus der Wirtschaft) und Lager genutzt. Obwohl dort nur gelegentlich Personal eingesetzt wird, werden zwei Aufenthaltsräume für die Schreiner vorgehalten.
- Ein Stockwerk wird vollständig durch das Referat „Design Center“ genutzt. Dabei wird eine Fläche von rd. 920 m² (einschließlich eines Büroraums und eines Besprechungsraums) lediglich rd. sechs Monate für die Aufbewahrung von Ausstellungs-Exponaten für Wettbewerbe (Internationaler Designpreis Baden-Württemberg, Mia-Seeger-Preis) und für die Jury-Sitzungen benötigt. Für diese relativ kurze Nutzungsdauer entstehen anteilige Sachausgaben von rd. 81.000 € jährlich.
Da das Lager seither ganztägig besetzt war, entstanden zusätzliche Personalkosten für einen Lagerverwalter. Unter Berücksichtigung seiner Personalratstätigkeit betrugen die anteiligen Personalkosten für seine Tätigkeit als Lagerverwalter rd. 43.700 € jährlich. Insgesamt entstanden dem Land somit jährliche Aufwendungen für das Lager Feuerbach von mindestens 370.000 €.
Auf Grund dieser Feststellungen des RH sah sich das LGA veranlasst, eine umfassende „Lagerrevision“ durchzuführen, bei der alle betroffenen Referate ihren Bedarf an Lagerflächen darzulegen und zu begründen hatten. Nach dem bisherigen Ergebnis der Revision werden im Lager Feuerbach rd. 450 m² Lagerfläche freigemacht. Die Bücher der aufgelösten Gewerbebücherei Karlsruhe (rd. 15.000 Bände im Lager Feuerbach und weitere 10.000 Bände in Karlsruhe) sollen an Dienststellen abgegeben oder veräußert werden.
Das LGA hat weiter angekündigt, die Notwendigkeit der weiteren personellen Besetzung des Lagers zu prüfen. Zudem soll ein Lagerbuch mit allen Ein- und Ausgängen angelegt und einmal jährlich vorgelegt werden; die Lagerhaltung soll durch ein Lagersystem modernisiert werden. Der Lagerverwalter soll zur besseren Erreichbarkeit einen Internet-Anschluss und ein Telefon mit Anrufbeantworterfunktion erhalten.
Durch die unwirtschaftliche Vorhaltung der Lagerflächen hat das Land mehr Mittel aufgewendet als erforderlich gewesen wären. Allein die nach der Lagerrevision frei werdende Fläche entspricht einem jährlichen Mietwert von rd. 35.000 €. Hinzuzurechnen sind die anteiligen Bewirtschaftungskosten mit rd. 5.300 €, insgesamt also mehr als 40.000 €.
Nach Auffassung des RH sind die bisherigen Maßnahmen nicht ausreichend. Das LGA sollte sich angesichts der hohen Aufwendungen vielmehr bemühen, die Lagerflächen noch weiter zu reduzieren. Der RH hält es für nicht vertretbar, dass weiterhin eine Fläche von rd. 920 m² für rd. 81.000 € jährlich für eine Nutzungsdauer von lediglich rd. sechs Monaten je Jahr angemietet wird. Die beabsichtigte Beschaffung neuer Lager- oder Regalsysteme ist im Hinblick auf die anzustrebende Reduzierung des Flächenbedarfs kritisch zu bewerten.
Die großen Mengen an eingelagerten veralteten Broschüren und Katalogen zeigen, dass offensichtlich nicht bedarfsgerecht geplant wurde: Einerseits sind vermeidbare Druckkosten entstanden, andererseits ist es unsinnig und unwirtschaftlich, nicht mehr einsetzbare Druckwerke Jahre lang zu hohen Mietkosten einzulagern.
Nicht nachvollziehbar ist, dass das LGA die Notwendigkeit einer ganztägigen Besetzung des Lagers offensichtlich nicht geprüft hat, obwohl der RH dies bereits im Jahr 1994 angeregt hatte. Die jetzt beabsichtigten Maßnahmen zum Arbeitseinsatz des Lagerverwalters sind noch nicht ausreichend. Eine tägliche - auch nur stundenweise - Anwesenheit ist nach Auffassung des RH nicht erforderlich. Die beabsichtigte technische Ausstattung des Arbeitsplatzes ist im Hinblick auf die anzustrebende nur gelegentliche Anwesenheit nicht angemessen.
2.2 Vergabe von Aufträgen
Bei der Vergabe von Aufträgen für Beschaffungsmaßnahmen wurden in einer großen Zahl der geprüften Fälle die Bestimmungen der LHO, VOL/A und der Beschaffungsanordnung sowie die Grundsätze der Wirtschaftlichkeit und Sparsamkeit nicht beachtet. Das LGA hat zwar eine zentrale Beschaffungsstelle eingerichtet und in einem Rundschreiben des Haushaltsreferats die Anweisung erlassen, wonach die Auftragserteilung für die Beschaffung von Material, Geräten, Bürobedarf, für Druckaufträge und sonstige Lieferungen und Leistungen durch die Beschaffungsstelle erfolgen müsse. Bei sämtlichen Beschaffungen sei deshalb nur der schriftliche Auftrag der Beschaffungsstelle für das LGA rechtsverbindlich.
Entgegen dieser klaren Anweisung haben die Fachreferate unmittelbar mehrfach Beschaffungen veranlasst und die Rechnungen an das Haushaltsreferat zur Zahlung weitergeleitet.
Nach eigenem Bekunden der Beschaffungsstelle sind in rd. 20 bis 30 % aller Beschaffungen die Lieferscheine nicht unterschrieben.
Bei der Prüfung von Beschaffungsvorgängen der Jahre 1999 bis 2001 auf die Einhaltung vergaberechtlicher Vorschriften wurden in zahlreichen Fällen Vergabemängel festgestellt. So erfolgten Freihändige Vergaben statt notwendiger Beschränkter Ausschreibungen, oder es wurde bei Freihändiger Vergabe nur ein Angebot eingeholt, in weiteren Fällen erfolgte lediglich eine Beschränkte an Stelle der notwendigen Öffentlichen Ausschreibung. In zahlreichen Fällen wurde die interne Anweisung nicht eingehalten, wonach Aufträge ausschließlich durch die Beschaffungsstelle zu vergeben sind. Folgende weitere Einzelfeststellungen sind zu erwähnen:
- Zwei Firmen wurden über Jahre hinweg mit der Projektgestaltung bzw. mit Elektroarbeiten beauftragt, die Aufträge wurden regelmäßig freihändig und ohne Preisvergleich vergeben. Die Auftragsvolumina betrugen für diese beiden Firmen in den Jahren 1999 bis 2001 insgesamt 379.233 € bzw. 61.817 €;
- die Entscheidung und Durchführung der Ersatzbeschaffung von 620 Stühlen für einen Veranstaltungssaal zog sich von Juli 1996 bis Dezember 1998/Januar 1999 hin, wobei Stuhlmodell, Stoffbezug und Menge z. T. mehrfach geändert wurden. Der Preis hat sich um über 46 % auf rd. 108.000 € (zuzüglich MWSt.) erhöht. Die Vergabe erfolgte letztlich freihändig. Ursächlich hierfür waren ein unzureichendes Pflichtenheft, Änderungswünsche des Architekten und des künstlerischen Beraters, Preiserhöhungen des Herstellers, Mehrwertsteuererhöhung und verzögerte Mittelbereitstellung;
- bei der Beschränkten Ausschreibung des Umzugs der Modeschule im November 2000 betrug die Angebotsfrist nur drei Tage, weshalb nicht der preisgünstigste Bieter den Auftrag erhalten hat. Die Angebote waren nur eingeschränkt vergleichbar, weil verschiedene Positionen nicht erfragt wurden. Beim Angebot der Spedition, die letztlich den Auftrag erhalten hat, wurden Nachverhandlungen über Skonto und die Position „Lastenaufzug“ geführt. Dennoch wurde der Lastenaufzug entgegen dem Ergebnis der Nachverhandlungen zusätzlich abgerechnet;
- ein ebenfalls mit dem Umzug der Modeschule zusammenhängender Auftrag zur Entsorgung von Altmöbeln wurde ohne Preisvergleich freihändig vergeben, obwohl nach dem Auftragswert von 8.259 € eine Beschränkte Ausschreibung erforderlich gewesen wäre. Darin enthaltene Entsorgungskosten von 4.982 € konnten nicht belegt werden;
- für die Modeschule wurde im Jahr 1995 der Druck einer sog. Image-Broschüre (8.968 €) wegen Eilbedürftigkeit freihändig und ohne Preisvergleich vergeben, auch bei Neuauflagen erfolgte keine Ausschreibung;
- für den Druck sog. LGA-Service-Mappen wurde trotz umfangreicher Layoutänderungen und einer Verdoppelung des Preises seit 1994 keine Ausschreibung durchgeführt, obwohl seither für mindestens 15.339 € Nachdrucke gemacht wurden;
- anlässlich des Internationalen Designpreises 1998 blieb der preiswerteste Bieter ohne Begründung unberücksichtigt. Mit dem Auftragnehmer wurden offensichtlich Nachverhandlungen über die Höhe des Skontos geführt, der eingeräumte Skontobetrag (1.074 €) wurde aber schließlich nicht beansprucht.
Die beim LGA vielfach übliche Freihändige Vergabe verhindert einen Wettbewerb bzw. einen Marktüberblick und birgt für den Auftraggeber tendenziell die Gefahr überhöhter Preise. Dies gilt insbesondere für den Druck der Image-Broschüre für die Modeschule. So ist beispielsweise nicht nachvollziehbar, warum seither trotz mehrfachen Nachdrucks keine Ausschreibung erfolgte.
Die vergaberechtlichen Vorschriften sollen auch gewährleisten, dass der Kreis geeigneter Unternehmen soweit wie möglich gewechselt wird, um eine möglichst breite Streuung der Aufträge im mittelständischen Gewerbe zu erreichen. Dies sollte nach seiner Aufgabenstellung gerade für das LGA gelten. Wenn jahrelang dieselben Firmen (etwa für Projektgestaltung und Elektroarbeiten) ohne Preisvergleich umfangreiche Aufträge erhalten, kann dieses Ziel nicht erreicht werden. Dies gilt in gleicher Weise, wenn Aufträge für bestimmte Druckerzeugnisse (z. B. Imagebroschüre Modeschule, Servicemappen HdW) über Jahre hinweg an dieselbe Druckerei vergeben werden, ohne eine erneute Ausschreibung durchzuführen. Im Übrigen ist auch bei Freihändiger Vergabe grundsätzlich ein Preisvergleich vorgesehen.
Die zentrale Auftragsvergabe durch die Beschaffungsstelle soll den Marktüberblick und die notwendigen vergaberechtlichen Kenntnisse an einer Stelle zentralisieren. Bei der teilweise praktizierten dezentralen Beschaffung durch einzelne Fachreferate sind wirtschaftliche bzw. finanzielle Nachteile für das LGA als Auftraggeber zu besorgen, entweder weil notwendige vergaberechtliche Kenntnisse fehlen oder weil sie an mehreren Stellen aufwändig vorgehalten werden müssen.
Ohne Unterschrift der Lieferscheine fehlte der Nachweis dafür, dass das LGA die bestellte Ware tatsächlich ordnungsgemäß, vollständig und unversehrt erhalten hatte, und damit letztlich die Voraussetzung für die Zahlung des Kaufpreises. Finanzielle Nachteile durch unzureichende Lieferungen sind deshalb nicht auszuschließen.
Die Nachverhandlungen mit den Bietern über Rabatte und kostenlose Zusatzleistungen (Umzug Modeschule, Druckvergabe Internationaler Designpreis) wirkten sich auf die Höhe des Angebotspreises aus und waren daher unstatthaft. In einem dieser Fälle (Druckvergabe Internationaler Designpreis) wurde der einmal eingeräumte Rabatt nicht in Anspruch genommen.
Finanzielle Nachteile können sich aber auch aus mangelnder Kostentransparenz ergeben. So ist bei der Entsorgung der Altmöbel der Modeschule die Höhe der tatsächlich entstandenen Entsorgungskosten mangels entsprechender Belege nicht nachprüfbar, insbesondere nicht, ob und ggf. in welcher Höhe ein Gewinnzuschlag des Spediteurs darin enthalten ist. Hierüber hätte vorab eine Vereinbarung getroffen werden müssen.
Besteht zwischen mehreren Aufträgen ein Sachzusammenhang, so sollten die Leistungen grundsätzlich zusammen ausgeschrieben werden. Bei der gemeinsamen Ausschreibung der beiden Aufträge „Umzug der Modeschule“ und „Entsorgung der Altmöbel“ wäre mit großer Wahrscheinlichkeit von einem niedrigeren Angebotspreis auszugehen gewesen.
Die Angebotsfristen müssen so bemessen sein, dass Bieter auch tatsächlich Gelegenheit haben, ein Angebot abzugeben. Besonders beim Umzug der Modeschule mit einer Angebotsfrist von nur drei Tagen war dies nicht der Fall, was sich auch daran zeigt, dass einer der Bieter die Angebotsaufforderung erst am letzten Tag der Abgabefrist erhalten hatte.
2.3 Projekt „baumstark“
Die Ausstellung „baumstark (Wald - Holz - Kultur)“ mit Rahmenprogramm und verschiedenen Begleitveranstaltungen wurde von April bis Juli 2001 auf rd. 1.300 m² im Haus der Wirtschaft durchgeführt; einzelne „events“ fanden auch außerhalb statt.
Die Ursprünge der Ausstellung „baumstark“ gehen zurück in das Jahr 1998. Seinerzeit hatte ein Referat ein Projekt „Holz - Ressource für die Zukunft“ zusammen mit einem Partner für das Jahr 2001 vorgeschlagen. Die damalige „Grobkostenschätzung“ lag bei 511.290 €. In der eher kritischen Stellungnahme des Haushaltsreferats wurde u. a. bezweifelt, ob eine relativ teuere Ausstellung geeignet sei, die angestrebten Ziele zu erreichen. Auch die angestrebte Besucherzahl von 50.000 bis 100.000 erscheine nicht ohne Weiteres erreichbar. Das Konzept sei zu nostalgisch und zu wenig zukunftsorientiert.
Trotz dieser Bedenken wurde das Projekt realisiert. Projektträger waren das LGA und das MLR zu gleichen Teilen. Die Mittel von MLR und LGA wurden vom LGA bewirtschaftet. Auftraggeber war das LGA.
Nach Feststellung des RH haben sich die Gesamtaufwendungen von rd. 754.000 € auf rd. 1.232.000 € um nahezu zwei Drittel erhöht. Die geplanten Ausgaben von rd. 542.000 € wurden mit rd. 685.000 € um 26,5 %, der Eigenanteil von LGA und MLR von letztlich jeweils rd. 238.000 € wurde sogar um jeweils 33 % überschritten. Die geplanten internen Kosten für das LGA von rd. 212.000 € wurden mit rd. 547.000 € um rd. 335.000 € bzw. um 158 % überschritten. Ursächlich dafür war u. a., dass die externen Ausgaben zu niedrig angesetzt und die internen Kosten unvollständig erfasst wurden. Die tatsächlichen Gesamtkosten je Ausstellungsbesucher betrugen hiernach (ohne Kosten der Begleitveranstaltungen und interne Kosten des MLR) 41 €.
Der RH hat weiter Folgendes festgestellt:
- Ausstellungsexponate, wie etwa Konstruktion und Bau einer Holzbrücke, wurden in Auftrag gegeben, ohne dass ein konkretes Angebot vorlag. Die Baukosten sind für das LGA mit 29.655 € letztlich auf das Dreifache des ursprünglichen Betrages gestiegen;
- Aufträge wurden ohne eindeutige Rechtsgrundlage erteilt, mit der Folge, dass in zweifelhaften Fällen zum Nachteil des Landes Zahlungen geleistet werden mussten. Auf Grund der unklaren Rechtslage ist die Erfüllung von Forderungen Dritter bis heute strittig;
- Programmbooklets, die für die Ausstellung selbst und die im Umfeld stattfindenden Begleitveranstaltungen werben sollten, wurden erst über einen Monat nach Ausstellungseröffnung geliefert;
- die angestrebte Besucherzahl von 50.000 bis 100.000 wurde bei weitem verfehlt. Tatsächlich kamen nur 30.000 Besucher;
- 5.800 Ausstellungskataloge wurden beschafft, die ursprünglich für 10,12 €/Stück verkauft werden sollten. Tatsächlich wurden jedoch nur 862 Kataloge während der Ausstellung verkauft. Eine große Anzahl wurde kostenlos abgegeben. Dennoch waren im Dezember 2002 noch immer rd. 1.800 Kataloge (mit einem Herstellungsaufwand von 8.897 €) vorhanden.
Bemerkenswert ist auch, dass die beschaffte Holzbrücke bei der Landesgartenschau in Ostfildern hätte eingesetzt werden sollen, was letztlich an den Kosten scheiterte; eine andere Weiterverwendung konnte bisher nicht erreicht werden. Vielmehr ist die Brücke nach wie vor bei einer Firma eingelagert (Kosten für Witterungsschutzmaßnahmen seither 4.090 €).
Das Projekt „baumstark“ wurde vor, während und nach seiner Durchführung bereits vom LGA selbst durchaus kritisch bewertet. Der RH schließt sich dieser Bewertung an und vertritt in Übereinstimmung mit der Projektleitung die Auffassung, dass es insbesondere erforderlich gewesen wäre,
- wegen der bereits zuvor bestehenden erheblichen Zweifel die Rahmenbedingungen für die Durchführung des Projekts insgesamt genauer und kritischer zu prüfen,
- die Konzeption auszuschreiben,
- den finanziellen Eigenanteil des Landes (LGA und MLR) bzw. die Einhaltung einer Obergrenze von 50 % der Fremdkosten verbindlich festzulegen,
- zur Einhaltung des Kostenplans zuerst den finanziellen Bedarf des Projekts festzustellen und erst dann die notwendigen Mittel zu bewilligen,
- die voraussichtlichen internen Kosten genauer zu ermitteln und die Eigenleistungen genauer festzulegen,
- mit dem Projektpartner (MLR) die Zusammenarbeit und die Aufgaben verbindlich zu regeln,
- den Umfang des Begleitprogramms sinnvoll zu begrenzen und
- das Programm werblich und pressemäßig genügend zu betreuen.
2.4 Verletzung von Namens- und Markenrechten
Das LGA schreibt einen Wettbewerb aus, der seit 2000 eine gleichbleibende Zusatzbezeichnung hat, die um einen jährlich wechselnden thematischen Schwerpunkt ergänzt wird.
Im Dezember 2002 wurde das LGA von einer Rechtsanwaltskanzlei in Vertretung des Rechteinhabers an der vom LGA verwendeten Bezeichnung unter Vorlage verschiedener Unterlagen, u. a. eines Auszugs aus einer Marken-Datei, aufgefordert, eine Unterlassungsverpflichtungserklärung bezüglich der Verwendung des Markennamens für die Ausschreibung des Wettbewerbs und der Bezeichnung der Preise abzugeben. Das LGA ist dieser Aufforderung nachgekommen. Dem LGA wurde eine sog. Aufbrauchsfrist bis 31.01.2003 gewährt.
Durch die Unterlassungsverpflichtung drohten zunächst Kosten und Schadensersatzansprüche, außerdem ein erheblicher Imageschaden.
Dieser Vorgang wäre nach Auffassung des RH vermeidbar gewesen, zumal es bereits vor der Einführung des Markennamens durch das LGA einen in der Öffentlichkeit bekannten Rechtsstreit zwischen dem Rechteinhaber und einem anderen Produkthersteller gegeben hatte.
Das beim LGA selbst angesiedelte Informationszentrum Patente (IP) ist im Übrigen landesweiter Ansprechpartner u. a. für Fragen des Patent- und Markenrechts. Eine erst nach Eingang des Anwaltschreibens vom IP erstellte Datenbank-Recherche gibt entsprechende Hinweise auf die Registrierung des geschützten Markennamens bereits seit 1997. Die mit der Benennung verbundenen erheblichen Risiken hätten deshalb bekannt sein müssen.
3 Empfehlungen
3.1 Anmietung von Lagerräumen
Der RH empfiehlt, zur weiteren kurzfristigen Reduzierung des Flächenbedarfs für die Vorbereitung der Wettbewerbe auf die Räume im Haus der Wirtschaft zurückzugreifen. Da die großen Veranstaltungsräume, wie z. B. der Mia-Seeger-Saal, nur gelegentlich belegt sind, dürfte dies organisatorisch möglich sein. Die Einlagerung von Druckwerken sollte auf das Notwendigste beschränkt werden. Aus Gründen der Wirtschaftlichkeit und Sparsamkeit ist die Auflagenhöhe künftig sorgfältiger zu bestimmen. Vor der Einführung einer generellen täglichen Öffnungszeit des Lagers Feuerbach ist zu prüfen, inwieweit dafür überhaupt ein zwingender Bedarf besteht bzw. ob nicht durch andere Maßnahmen (z. B. Öffnung nur noch an einem Tag/Woche oder nur noch bei tatsächlichem Bedarf) die Anwesenheit eines Lagerverwalters entfallen kann.
3.2 Vergabe von Aufträgen
Die Behördenleitung sollte dafür Sorge tragen, dass verwaltungsinterne Regelungen beachtet, Ausschreibungen rechtzeitig vorbereitet und Vergabegrundsätze eingehalten werden.
3.3 Projekt „baumstark“
Bei der Ausgestaltung von Verträgen und Vereinbarungen, etwa bei der Durchführung von Projekten, sind rechtzeitig, ggf. unter Einbeziehung des Justitiariats, klare Regelungen zu treffen. Das Projektmanagement ist generell insbesondere im Hinblick auf Wirtschaftlichkeit zu optimieren.
3.4 Verletzung von Namens- und Markenrechten
In Anbetracht der erheblichen Risiken und Kosten, die durch die Verletzung von Namens- und Markenrechten entstehen, müssten im Vorfeld die erforderlichen Recherchen mit der gebotenen Sorgfalt durchgeführt werden.
4 Stellungnahme des Ministeriums
4.1 Anmietung von Lagerräumen
Das WM schließt sich der kritischen Bewertung durch den RH weitgehend an und räumt die festgestellten räumlichen und personellen Überkapazitäten ein. Entsprechende Maßnahmen zur Flächenreduzierung wurden inzwischen veranlasst, u. a. wurden nicht mehr benötigte Ausstellungspodeste und Bücher in großem Umfang entsorgt, die zweite Schreinerwerkstatt aufgelöst und die Maschinen verwertet. Der Internationale Designpreis wird künftig im Haus der Wirtschaft vorbereitet, sodass auch das Exponate-Lager ab 01.01.2004 vollständig aufgegeben werden kann. Der Lagerverwalter wird inzwischen halbtags, ab Oktober 2003 vollständig, im Haus der Wirtschaft eingesetzt. Das LGA wird künftig regelmäßige Revisionen der Lagerbestände durchführen, um unnötigen Flächenverbrauch zu vermeiden.
4.2 Vergabe von Aufträgen
Die Einhaltung der verwaltungsinternen Regelungen (Auftragsvergabe nur über die Beschaffungsstelle) soll künftig verstärkt beachtet und unter den Vorbehalt der Sanktionierung gestellt werden.
Bei den im Einzelnen festgestellten Vergabemängeln schließt sich das WM jedoch nur insoweit der Auffassung des RH an, als
- der nächste größere Auftrag an die beiden Dauerauftragnehmer und
- der anstehende Neudruck der Service-Mappe des LGA
ausgeschrieben werden sollen.
Im Übrigen folgt das WM nicht der Auffassung des RH, wonach abweichend von den vergaberechtlichen Vorschriften verfahren worden sei, insbesondere hinsichtlich der Vergabeart, Angebotsfrist, Vollständigkeit der Ausschreibung, sondern hält vielmehr die vom LGA praktizierte Verfahrensweise für zulässig oder zumindest vertretbar.
4.3 Projekt „baumstark“
Das WM räumt lediglich vereinzelte Mängel bei der Vertragsabwicklung sowie die verspätete Fertigstellung der Programmbooklets ein. Es teilt mit, dass das LGA sich bemühen werde, das Projektmanagement weiter zu professionalisieren. Organisatorische Maßnahmen zur Verbesserung der werblichen und pressemäßigen Betreuung seien im Jahr 2002 umgesetzt worden.
Insgesamt ist das WM jedoch der Ansicht, dass die strittigen Vertragsgrundlagen im Hinblick auf den Umfang des Gesamtprojekts als unwesentlich einzuordnen seien.
Im Übrigen werden die Einzelfeststellungen des RH zum Projekt „baumstark“ nicht geteilt. So seien Ausgabenüberschreitungen bei prozesshaften Projekten dieser Größenordnung nicht außergewöhnlich und insbesondere auch auf den Zeitdruck bei der Realisierung zurückzuführen.
Im Einzelnen seien
- die festgestellten internen Kosten für das Projekt „baumstark“ überhöht, weil zu hohe Mietkosten angesetzt worden seien; es handele sich im Übrigen nur um grobe Schätzungen mit dem Zweck, eine gewisse Parität der Leistungen zwischen den Projektpartnern MLR und LGA zu erreichen; nach seiner Auffassung wäre nämlich bei der Mietkalkulation von einem m²-Preis von 10 € monatlich auszugehen (Dauermietpreis), wodurch sich interne Mietkosten von lediglich 70.000 € ergeben würden,
- nicht nur die - grob gegriffenen - unmittelbaren Besucherzahlen, sondern auch die beachtliche Medienresonanz für die Bewertung des Ausstellungserfolgs heranzuziehen; das anvisierte Zielpublikum sei erreicht worden,
- die Gesamtkosten je Ausstellungsbesucher nur als Bewertungskennzahl geeignet, wenn seriöse Berechnungsmöglichkeiten bestünden; mangels KLR gelte dies z.Z. nur für kameral ermittelte Ausgaben,
- durch den Katalog der Informationseffekt multipliziert und eine breite Streuung erreicht worden; zudem seien die Ausgaben bei einer Auflagenhöhe von 2.000 Stück nur unwesentlich geringer gewesen; die kostenlose Abgabe des Katalogs sei eine mittelstandsfördernde Maßnahme und stehe im Einklang mit der Aufgabenstellung des LGA; die Restexemplare könnten auch weiter zweckentsprechend eingesetzt werden.
Die eigene durchaus kritische Bewertung der Ausstellung (s. Pkt. 2.3), die weitestgehend mit den Feststellungen des RH übereinstimmt, wird nunmehr in Abrede gestellt.
4.4 Verletzung von Namens- und Markenrechten
Wie das WM inzwischen mitgeteilt hat, laufen Erfolg versprechende Verhandlungen zwischen dem LGA und dem Rechteinhaber mit dem Ziel einer Kooperation bei der Durchführung des Wettbewerbs. Teil der beabsichtigten Vereinbarung solle auch ein Verzicht auf die Durchsetzung der Unterlassungsverpflichtungserklärung sein.
Darüber hinaus sei durch organisatorische Maßnahmen sichergestellt worden, dass sich ein vergleichbarer Vorgang nicht mehr wiederholen könne.
5 Schlussbemerkung
5.1 Anmietung von Lagerflächen
Die inzwischen veranlassten und noch beabsichtigten Maßnahmen zur Reduzierung der überdimensionierten Lagerflächen und zur Verringerung des Personaleinsatzes, die zu Einsparungen von jährlich mehr als 100.000 € führen werden, sind nach Auffassung des RH richtig. Besonders wichtig wird auch künftig eine regelmäßige Überprüfung und Anpassung des aktuellen Raum- und Personalbedarfs sein.
5.2 Vergabe von Aufträgen
Der RH kann sich nicht der vom WM vertretenen Auffassung zur Zulässigkeit der Vergabepraxis des LGA anschließen. Er hält es gerade beim LGA, dem die Vergabekammer Baden-Württemberg zugeordnet ist, für erforderlich, dafür Sorge zu tragen, dass die vergaberechtlichen Bestimmungen hinreichend beachtet werden und sichergestellt wird, dass insbesondere auch bei Freihändiger Vergabe die eingeholten Vergleichsangebote nachvollziehbar dokumentiert werden.
5.3 Projekt „baumstark“
Die Stellungnahme des WM zum Projekt „baumstark“ überrascht insbesondere deshalb, weil es sich damit in Widerspruch zu den s.Z. vom LGA selbst erkannten Defiziten bei der Projektdurchführung setzt. Für die Beurteilung des Sachverhalts ist es nicht geeignet, wenn ursprünglich selbst gesetzte Parameter ausgetauscht werden. Das LGA muss sich zur Erfolgsbeurteilung an seinen selbst gesetzten Projektzielen messen lassen. Auch hinsichtlich der internen Mietkosten besteht bei der Einlassung des WM insoweit ein Widerspruch, als die vom RH zu Grunde gelegten Kosten auf einer Berechnung des für die Raumbewirtschaftung zuständigen Referats des LGA beruhen.
5.4 Verletzung von Namens- und Markenrechten
Der RH geht davon aus, dass durch die internen organisatorischen Maßnahmen künftig die Verletzung von Urheberrechten oder geschützten Markennamen ausgeschlossen ist. Er nimmt die vom WM aufgezeigte Entwicklung der Auseinandersetzung mit dem Rechteinhaber zur Kenntnis. Ob und inwieweit eine Lösung zustande kommt, die die Interessen des Landes angemessen berücksichtigt und die im Übrigen rechtlich unangreifbar ist, bleibt abzuwarten.
Anhänge
Einzelplan 08: Ministerium für Ernährung und Ländlichen Raum
Das Land fördert Gewerbegelände-Erschließungen im ländlichen Raum mit rd. 5 Mio. € je Jahr, aber nur wenige Betriebe siedeln sich dort an. Infolge der zum Abrechnungszeitpunkt im Mittel nur zu rd. 55 % nachgewiesenen Belegung erheben sich Fragen zum Förderbedarf und zur Zielerreichung. Der Rechnungshof schlägt eine belegungsbezogene Auszahlung der Fördermittel und Erfolgskontrollen vor.
1 Ausgangslage
1.1 Durch das Entwicklungsprogramm Ländlicher Raum (ELR) werden seit 1995 zahlreiche Maßnahmen zur Verbesserung der Lebens- und Arbeitsbedingungen in ländlich geprägten Gemeinden gefördert. Im ländlichen Raum kommt das ELR fast flächendeckend zum Einsatz, wenn auch die Anzahl der Projekte und der Umfang der eingesetzten Fördermittel in den Gemeinden je nach der strukturellen Situation unterschiedlich ist.
1.2 In der Denkschrift 2001, Nr. 14 hatte der RH bereits Verbesserungsvorschläge zur Verfahrensvereinfachung des ELR aufgezeigt. Im Folgejahr untersuchte der RH mit den StRPÄ als Schwerpunktthema landesweit die Erschließung von neuem Gewerbegelände im ELR, und zwar für den Zeitraum 1995 bis 2000. Bei diesem Förderschwerpunkt geht es in erster Linie darum, im Zusammenhang mit Entflechtungen und Ansiedelungen sowie zur Sicherung und Schaffung von Arbeitsplätzen kleine und mittlere Unternehmen (KMU) durch finanzielle Förderung eines Teils der entstehenden Erschließungskosten zu entlasten. Zunächst erhalten zwar die Gemeinden diese Fördermittel zur anteiligen Finanzierung der Erschließungsmaßnahmen; sie müssen diese aber durch reduzierte Erschließungskostenbeiträge an die KMU weiter geben.
Im Zuge der Prüfung erfolgten bei den Gemeinden an Hand eines Fragenkatalogs Erhebungen zu folgenden Themen:
- Beweggrund der Gewerbegebietsplanung,
- Belegung/Fehlbelegung,
- Auslastung,
- Flächen- und Kostenbilanz,
- Weitergabe der Erschließungsförderung/Nachweis,
- Zielerreichung.
Die Erhebungen konzentrierten sich auf die in den Hj. 1995 bis 2000 im Rahmen des ELR geförderten 216 Gewerbegelände-Erschließungen, welche die Kommunen in der Regel in der ELR-Kategorie „kommunal - nicht gewerblich“ durchgeführt haben. Die Zuwendungen des Landes werden hierbei als Projektförderung im Wege der Anteilsfinanzierung gewährt. Gefördert werden die kommunalen Erschließungsmaßnahmen nach diesem Programm in der Regel zu 33 %, in Einzelfällen bis zu 50 % der zuwendungsfähigen Aufwendungen.
Die Regierungspräsidien bzw. das Landesamt für Flurneuordnung und Landentwicklung (LFL) bearbeiten und bewilligen die Förderanträge; die weitere Abwicklung des Förderverfahrens erfolgt dann durch die Landeskreditbank Baden-Württemberg - Förderbank - (L-Bank).
Die gesamte Fördersumme betrug für die Erschließungsmaßnahmen in diesem Zeitraum 29,4 Mio. €; zum Prüfungszeitpunkt 2000 waren 148 Maßnahmen (69 %) abgerechnet.
Aus den Einzelmaßnahmen wurden die Fälle ausgesondert, welche noch nicht abgerechnet waren, und solche, welche durch unvollständige Angaben das Ergebnis einer repräsentativen Umfrage hätten verfälschen können. In der Auswertung verblieben danach 114 Einzelmaßnahmen, die von 106 Gemeinden initiiert worden waren.
1.3 Die sehr flexibel gehaltene Richtlinie des MLR zum ELR vom 01.07.1994 enthält zum Förderschwerpunkt „Arbeiten“ bzw. zur „Erschließung von neuem Gewerbegelände“ in Nr. 5.1.3 folgende Hinweise:
„Sicherung bzw. Schaffung von Arbeitsplätzen in kleinen und mittleren Unternehmen vor allem in Verbindung mit
- der Entflechtung unverträglicher Gemengelagen,
- der Reaktivierung von Gewerbebrachen und
- der Errichtung von Gewerbehöfen
einschließlich Grunderwerb und vorbereitenden Maßnahmen wie Baureifmachung von Grundstücken sowie die dazu notwendige Erschließung von neuem Gewerbegelände“.
Diese generellen Hinweise bestimmen also den Einsatz von jährlich rd. 5 Mio. € Fördermitteln für den Bereich Arbeitsplätze/Gewerbegelände-Erschließung.
2 Prüfungsfeststellungen
Ziel der Prüfung war es, die Einhaltung der Vorgaben der Förderrichtlinie ELR, die Anwendung bzw. den Erfolg eines Fördercontrollings sowie die Notwendigkeit dieses Teils des ELR-Programms zu untersuchen und aus den Ergebnissen Empfehlungen abzuleiten.
2.1 Kleine und mittlere Unternehmen
Das Ergebnis der Fragebogenaktion zeigt, dass zwar ein hoher Prozentsatz der Betriebe, die sich bereits angesiedelt haben, KMU zuzuordnen ist, dass Gemeinden allerdings auch Teile der Gewerbegebietsflächen für Betriebe reserviert haben, die nicht zu den KMU zählen (z. B. ein Konzern zugehöriges Energieversorgungsunternehmen und eine Straßenmeisterei als Untere Sonderbehörde des Landes; in beiden Fällen wurde der Zuschuss auf Grund der Prüfung bereits zurückgefordert).
Es sollte sichergestellt werden, dass künftig die ELR-Förderung bestimmungsgemäß nur KMU-Betrieben zugute kommt.
2.2 Fördergrund
Die Verteilung der in der Förderrichtlinie als bevorzugte Fördergründe (s. Pkt. 1.3: „vor allem in Verbindung mit ..“) genannten Punkte auf die einzelnen Maßnahmen wird in Übersicht 1 dargestellt.

Diese Auflistung zeigt, dass ein erheblicher Teil (46,5 %) der geförderten Gewerbegelände-Erschließungen nicht (oder nicht mehr) den bevorzugten Fördergründen zuzuordnen ist, d. h., dass in der Praxis überwiegend die reine Erschließung neuen Gewerbegeländes gefördert wird; der Förderzweck hat sich somit offensichtlich vom ursprünglichen Förderansatz entfernt.
2.3 Förderziel/Fördercontrolling
Das übergeordnete Ziel des ELR besteht in der Förderung von Maßnahmen, welche zu einer „Strukturverbesserung des Ortes in seiner Gesamtheit führen“. Im Förderantrag muss die Gemeinde die strukturelle Ausgangslage und die Entwicklungsziele beschreiben, was allerdings in der Regel sehr pauschal und bezogen auf das Oberziel „Strukturverbesserung“ geschieht. Zielvorgaben für die einzelnen Förderschwerpunkte, welche von den meisten Gemeinden gebündelt zum ELR angemeldet werden, gibt es jedoch zumeist nicht.
Im Förderbereich „Gewerbegelände-Erschließung“ vermisst der RH - wie in vielen Investitionsförderbereichen des ELR - die Vorgabe von mess- und bewertbaren Einzelzielen. Der Erfolg kann nicht daran gemessen werden, ob enormer Antragstau und stetiger Mittelfluss vorherrschen, also input-orientierte Ansätze erfüllt werden. Eine output-orientierte Förderung verlangt vielmehr, dass die Ziele möglichst genau definiert und auch quantifiziert angegeben werden. Im Kern geht es bei einer Erfolgskontrolle der Förderpolitik darum, wenigstens die für den beabsichtigten Erfolg maßgeblichen Hauptfaktoren zu analysieren, um ermitteln zu können, ob und welchen Einfluss staatliche Fördermittel dabei haben.
Es ist unverzichtbar, Ziele von Förderprogrammen möglichst konkret festzulegen und dabei anzugeben, woran sie gemessen werden sollen. Das MLR sollte Kriterien und Indikatoren zur Beurteilung des Erfolgs für diesen Förderschwerpunkt entwickeln und in die Förderrichtlinie bzw. den Bewilligungsbescheid aufnehmen. Es muss im Verwendungsnachweis abgefragt werden, ob die Ziele auch erreicht sind, und durch geeignete Vereinbarungen sichergestellt werden, dass diese innerhalb der Bindungsfrist - zumindest weitgehend - erhalten bleiben.
Im konkreten Fall kann es also nicht darum gehen, schon die Durchführung von Erschließungsmaßnahmen als Zielerreichung anzusehen, sondern kritisch die Frage zu prüfen, ob das angestrebte Ziel der Sicherung bzw. Schaffung von Arbeitsplätzen, vor allem in Verbindung mit der Entflechtung, der Reaktivierung von Gewerbebrachen oder der Errichtung von Gewerbehöfen erreicht wurde.
Der RH schlägt vor, entsprechende Zielvorgaben in die Förderrichtlinie aufzunehmen und das Erreichen dieser Zielvorgaben im Rahmen eines Fördercontrolling auch abzufragen. Nur auf Grund der somit erhaltenen Informationen können Politik und Verwaltung in die Lage versetzt werden, Förderprogramme ggf. zu modifizieren bzw. die finanziellen Mittel zu reduzieren oder bei entsprechendem Bedarf auch aufzustocken.
2.3.1 Arbeitsplätze
Bei der Förderung der Gewerbegelände-Erschließungen ist zwar als wesentliches Ziel „Sicherung bzw. Schaffung von Arbeitsplätzen“ angegeben, doch werden von den Gemeinden Aussagen und Prognosen hierzu allenfalls nur vereinzelt verlangt. Auswertungen über tatsächlich geschaffene Arbeitsplätze existieren nicht; dementsprechend werden die Angaben im Förderantrag weder gewertet noch einer Erfolgskontrolle unterzogen.
In Anbetracht des Fördervolumens und nachdem das Thema Arbeitsplätze in diesem Förderschwerpunkt eine der wenigen messbaren Programm-Zielvorgaben darstellt, sollte die Zahl der zu sichernden bzw. neu zu schaffenden Arbeitsplätze im Zuwendungsbescheid als Auflage aufgenommen und deren Erbringung auch überwacht und im Verwendungsnachweis dokumentiert werden.
2.3.2 Finanzielle Entlastung der Gewerbebetriebe durch Erschließungsförderung
Gegenstand der Förderung ist bei diesem Förderschwerpunkt die Erschließung von neuem Gewerbegelände. Nach dem Wortlaut eines weiteren Textbausteines des Zuwendungsbescheids soll der an die Kommune zu leistende Zuschuss aber bewirken, dass die im Erschließungsgebiet ansiedelnden KMU mit entsprechend verminderten Erschließungskosten belastet, d. h. „die Landeszuschüsse an die Unternehmen so weitgehend weiter geleitet werden“.
Nutznießer der Erschließungsförderung ist demnach nicht die Gemeinde als der unmittelbare Zuwendungsempfänger, sondern sind - entsprechend des Förderschwerpunktes - letztendlich Dritte (hier KMU), die infolge des Zuschusses mit verminderten Erschließungskosten belastet werden sollen. Erschwert wird das Ziel der Förderabwicklung durch das gewählte „Dreiecksverfahren“, wonach die Kommune als Zuwendungsempfänger verpflichtet wird, die Zuwendung - in welcher Form und mit welchen Auflagen auch immer - an die sich ansiedelnden Betriebe weiterzugeben. Diese Betriebe sind somit nicht „Vertragspartner“ des Zuwendungsgebers und infolgedessen auch nicht zur Einhaltung von Auflagen aus dem Bewilligungsbescheid (Zielvorgaben) an die Gemeinde verpflichtet.
In dem gewählten Verfahren ist nicht festgelegt, ob und inwieweit die KMU zur Einhaltung der mit den Kommunen vereinbarten Bindungsfristen (15 Jahre) verpflichtet sind.
2.4 Umfang der Erschließungsmaßnahmen
Bei der Erhebung der Kosten der Erschließungsmaßnahmen sowie der Relation des Flächenverbrauchs bezüglich der öffentlichen und der reinen Gewerbe-Flächen zeigten sich erhebliche Unterschiede. So betrug z. B. der Erschließungsaufwand bei den untersuchten Maßnahmen zwischen rd. 3 €/m² und rd. 55 €/m². Das Verhältnis öffentliche Fläche zu Gewerbegebietsfläche reichte von 2 % bis 64 %, wobei im letzteren Fall der im Förderprogramm verankerte Grundsatz des schonenden Umgangs mit den natürlichen Lebensgrundlagen offensichtlich nicht genügend beachtet wurde. Bei beiden Relationen handelt es sich um Verknüpfungswerte, die zwar fördertechnisch zunächst nicht relevant erscheinen, die aber zur Beurteilung der Wirtschaftlichkeit einer Erschließungsmaßnahme wichtig sind.
Der RH schlägt deshalb vor, zur Beurteilung der Wirtschaftlichkeit geeignete Verknüpfungswerte im Förderantrag abzufragen, in der Antragsprüfung zu werten und unwirtschaftliche Vorhaben - wenn sie nicht eindeutig zu begründen sind - von der Förderung auszuschließen oder die beantragte Förderung unter Wirtschaftlichkeitsgesichtspunkten zu deckeln.
2.5 Prüfung des Verwendungsnachweises
2.5.1 Nachweis der Fördermittel-Weitergabe
Die Gemeinden erhalten als Zuwendungsempfänger anteilig Fördermittel in dem Maße, wie sie Erschließungsausgaben (bis zum bewilligten Höchstbetrag) nachweisen. Nach Vorlage des (Schluss-) Verwendungsnachweises und der Zusicherung der Gemeinden, dass die Mittel an die angesiedelten Betriebe im Wege der Erschließungsbeitragsreduzierung weiter gereicht wurden oder erst werden, wird das Zuwendungsverfahren durch die L-Bank abgeschlossen.
Die StRPÄ haben bei den Gemeinden nachgefragt, ob und in welchem Umfang die Fördermittel tatsächlich den KMU zugute kamen, und dies z. T. durch örtliche Erhebungen vertieft. Die Antworten waren nur bei einem RP verwertbar und führten bei abgefragten 35 Maßnahmen zu dem in Übersicht 2 dargestellten Ergebnis.

Das Ergebnis der Umfrage zeigt, dass nur 9 % der Gemeinden die Fördermittel vollständig, rund die Hälfte diese nur teilweise weitergeleitet und 6 % die Fördermittel bis zum Prüfungszeitpunkt gar nicht weitergegeben haben, wobei unterstellt wird, dass sich der letzte Prozentsatz durch die nicht prüfbaren 31 % der Fälle noch erhöhen kann.
Der Zuwendungsgeber sollte die Verfahrensvorschriften für die Förderung mit dem Ziel überarbeiten, dass mit dem Verwendungsnachweis das Weiterleiten der Fördermittel an die KMU nachgewiesen wird und ggf. die Arbeitsplatznachweise bestätigt werden.
2.5.2 Belegung der Gewerbeflächen
Bei den ausgewerteten 114 Maßnahmen waren nach Angaben der Gemeinden zum Zeitpunkt der Erhebung lediglich etwas mehr als die Hälfte der reinen Gewerbeflächen belegt. Darunter befinden sich selbst Maßnahmen, die 1995 bzw. 1996 bereits gefördert wurden und bis heute noch nicht belegt sind. Wie sich die Belegung auf die einzelnen Gewerbegebiete verteilt, zeigt das Schaubild.

Einige Kommunen begründen die Nichtbelegung oder nur Teilbelegung der Gewerbegeländeflächen damit, dass sie z. B. für die angesiedelten oder noch anzusiedelnden Betriebe Erweiterungsflächen vorhalten wollen oder müssen. Die Kommunen haben jedoch - vor allem auf Grund ihrer Planungshoheit - die Möglichkeit, solche Fälle durch den Flächennutzungsplan oder durch eine vorausschauende Bereithaltung von Bauerwartungsgelände zu steuern. Eine, wie sich gezeigt hat, zumeist unrealistische Vorhaltung sollte nicht durch Landesmittel gefördert werden. Hier böte sich zu gegebener Zeit eine direkte Förderung sich ansiedelnder oder erweiternder KMU-Betriebe an.
Die gänzliche oder teilweise Nichtbelegung der Gewerbegrundstücke bewirkt, dass die Fördergelder für diese Grundstücke nicht, wie in der Auflage zum Bewilligungsbescheid vereinbart, den ansiedelnden Betriebe zugute kommen, sondern den Kommunen - zumindest auf unbestimmte Zeit - verbleiben.
Es werden also erheblich mehr Erschließungsmaßnahmen gefördert, als auf der eigentlichen „Abnehmerseite“ der KMU erforderlich wären. Dem eigentlichen Förderzweck - Sicherung bzw. Schaffung von Arbeitsplätzen - wird demzufolge nicht mehr in vollem Umfang entsprochen.
2.5.3 Rückforderungsmodus
Aus dieser Prüfung stehen mehrere Rückforderungsfälle infolge Nicht-, Falsch- bzw. Fehlbelegung und „Nichtweitergabe der Fördermittel“ an die KMU zur Erledigung an, da eine wesentliche Auflage des Zuwendungsbescheids, nämlich das „Weiterleiten von Zuschüssen“, mangels Betriebsansiedlung nicht erfüllt war. Die Verwaltung vertritt hingegen den Standpunkt, dass mit der Durchführung der Erschließungsmaßnahme der eigentliche Förderzweck erreicht sei und somit der geforderten Aufhebung des Zuwendungsbescheids die rechtliche Grundlage fehle. Da jedoch eindeutige Auflagen der Zuwendungsbescheide nicht erfüllt wurden, muss das MLR entscheiden, wie diese Beanstandungsfälle abgeschlossen werden können.
Künftig bedarf es dringend einer Festlegung in der Förderrichtlinie oder im Bewilligungsbescheid, wonach geregelt wird, nach welchem Modus in derartigen Fällen zu verfahren ist.
3 Stellungnahme des Ministeriums
Das MLR verweist bezüglich des Förderzwecks auf die bewusst gewählte Flexibilität des ELR, die in Eigenverantwortung der Kommunen stehende Prioritätensetzung und die entscheidende Intention des Förderprogramms, wonach die Gemeinden in die Lage versetzt werden sollen, erschlossene Gewerbeflächen ansiedlungswilligen Betrieben zu einem günstigen Preis anbieten zu können, damit diese Arbeitsplätze schaffen und erhalten. Es hält die Förderung der Erschließung von Gewerbegebieten im Rahmen des ELR für unverzichtbar, da diese gerade in strukturschwachen Gemeinden des ländlichen Raums eine wichtige Voraussetzung für die Schaffung und Erhaltung von Arbeitsplätzen und damit für die Strukturverbesserung insgesamt darstellt.
Zum Problem der Erfolgskontrolle teilt das Ministerium mit, dass auf eine Detaillierung und Quantifizierung der Förderziele bewusst verzichtet werde. Zur Begründung verweist es auf das gewählte Verfahren, wonach die Zielerreichung durch die Gemeinde nicht beeinflusst werden könne, da die erforderlichen Aktivitäten außerhalb des Weisungsbereichs der Gemeinden lägen. Auch stelle bezüglich des mit der Erschließung verbundenen finanziellen Aufwands jede Maßnahme einen Einzelfall dar, da mitunter schwierige topografische Verhältnisse im ländlichen Raum zu berücksichtigen seien. Erhoben würden lediglich statistische Werte, wie Flächenbedarf, beabsichtigte Anzahl der zu sichernden bzw. neu zu schaffenden Arbeitsplätze sowie Art und Anzahl der ansiedlungswilligen Betriebe vor der Förderzusage, wobei nur Wert darauf gelegt werde, dass für mindestens die Hälfte des Gewerbegebiets Interessenten benannt würden. Das RP nehme hierauf ansonsten keinen Einfluss; eine Nachbetrachtung finde auch nicht statt.
Das Ministerium anerkennt die aufgezeigten Ungereimtheiten bei der Weitergabe von Fördermitteln durch die Kommunen an die KMU. Es weist darauf hin, dass dies insbesondere durch die „Besonderheiten der Globalberechnung für den KAG-Beitrag“ begründet sei. Mehrere im Prüfverfahren vorgeschlagene erfolgsbezogene Auszahlungsvarianten (mit Belegungs- oder Arbeitsplatzbezug) lehnt das Ministerium als praxisfremd und zu aufwändig ab. Als Konsequenz hieraus schlägt es vor, auf die „Weitergabeklausel“ zu verzichten, d. h. es künftig den Gemeinden zu überlassen, ob und wie sie die Mittel an die KMU weitergeben.
4 Schlussbemerkung
Die nur hälftige Belegung der geförderten Gewerbegebiete deutet auf ein geringes Interesse der KMU oder fehlendes Kapital zur Ansiedlung hin. Um öffentliche Mittel nicht unnötig zu binden, sollen zunächst nur 50 % der Fördermittel als Abschlag an die Gemeinden gezahlt werden. Die Auszahlung der weiteren Mittel sollte erst dann erfolgen, wenn die Kommune eine Belegung des Gewerbegeländes von über 75 % nachweist.
Außerdem wäre eine grundsätzliche Überarbeitung der Förderrichtlinie und der Vollzugsanweisungen erforderlich. Künftig vermieden werden müssen jedenfalls ein zu freizügiger Landschaftsverbrauch, Nicht-, Minder- und Fehlbelegungen sowie die Nichtweitergabe der Fördermittel an die KMU.
Angestrebt werden sollten hingegen die Definition erfolgsbezogener Fördertatbestände, möglichst pauschalierte Förderungen sowie Erfolgskontrollen.
Anhänge
Die Prüfung zweier Modellprojekte hat ergeben, dass viele geförderte Einzelmaßnahmen nicht zielführend waren. Ursächlich dafür war vor allem die zu großzügige Finanzausstattung. Der Rechnungshof empfiehlt, künftige PLENUM-Projekte zeitlich zu begrenzen und finanziell geringer auszustatten. Auf die Förderung von aufwändigen Studien, von Vermarktungseinrichtungen und von landwirtschaftlichen Investitionen aus Naturschutzmitteln des Landes sollte verzichtet werden. Das Ministerium für Ernährung und Ländlichen Raum sollte die unterschiedlichen Ansätze seiner Naturschutzpolitik zu einem ganzheitlichen Konzept zusammenführen.
1 Ausgangslage und Ziele der Prüfung
Der Begriff PLENUM steht für „Projekt des Landes zur Erhaltung und Entwicklung von Natur und Umwelt.“ Die PLENUM-Konzeption wurde Anfang der 90er-Jahre im Auftrag des damaligen Umweltministeriums entwickelt. Es handelt sich um einen integrierten Ansatz, der sich nicht auf Naturschutzmaßnahmen im engeren Sinne beschränkt. So beinhaltet der PLENUM-Ansatz z. B. die Förderung der landwirtschaftlichen Vermarktung, des Tourismus und der Wirtschaft im ländlichen Raum allgemein. Als wichtiges Element des PLENUM-Ansatzes wird das Prinzip „von unten nach oben“ (bottom-up) bezeichnet.
In Baden-Württemberg wurden 20 sog. Naturschutz-Vorranggebiete (PLENUM-Gebiete) ausgewiesen, in denen die entwickelte PLENUM-Strategie langfristig umgesetzt werden soll. Die ausgewiesenen Gebiete umfassen 773.000 ha, das entspricht 21,5 % der Landesfläche. Modellhaft wurde der PLENUM-Ansatz in zwei Gemeinden des Landkreises A von 1995 bis 2000 erprobt.
Bereits vor der Entwicklung der PLENUM-Konzeption gab es in Baden-Württemberg großflächige Projekte, die Naturschutzziele verfolgten. Zu diesen Projekten gehört das 1990 vom damaligen Landwirtschaftsministerium ins Leben gerufene Modellprojekt im Landkreis B. Des Weiteren gibt es seit langem verschiedene Naturparke, die von der Forstverwaltung getragen werden, und vier Landschaftserhaltungsverbände (LEV), die vom Land mit 70 % bezuschusst werden.
Diese großflächigen Naturschutzansätze wurden mit unterschiedlichen Zielsetzungen entwickelt. Es gibt Gebietsüberschneidungen. Ein Gesamtkonzept existiert bisher nicht.
Nach dem Abschluss der PLENUM-Modellphase im Landkreis A sollen nach den Vorstellungen des MLR zunächst in sieben ausgewiesenen PLENUM-Gebieten PLENUM-Projekte ins Leben gerufen werden. Die Projekte sollen zu 70 % aus dem Haushalt des MLR finanziert und zu 30 % von den betroffenen Landkreisen und Gemeinden getragen werden. Das MLR beabsichtigt, je Projekt und Jahr 435.000 € aus Naturschutzmitteln zur Verfügung zu stellen.
Der RH hat gemeinsam mit dem StRPA Freiburg die ordnungsgemäße Verwendung der Mittel geprüft; darüber hinaus sollte untersucht werden, wie effizient die Mittel zur Erreichung von Naturschutzzielen in den beiden Pilotprojekten eingesetzt wurden und welche Erkenntnisse sich daraus für die künftige Gestaltung von großflächigen Naturschutzprojekten ergeben.
2 PLENUM-Pilotprojekt im Landkreis A
2.1 Auswahl des Modellgebiets und Projektziele
Die PLENUM-Konzeption wurde von Anfang 1995 bis Ende 2000 modellhaft in zwei Gemeinden des Landkreises A erprobt. Für die Auswahl des Modellgebietes war entscheidend, dass die klassischen Instrumente zur Umsetzung von Naturschutzzielen weitgehend ausgereizt waren, die landwirtschaftliche Nutzung dort aber nach Auffassung des Umweltministeriums noch Zukunftsperspektiven hatte.
Für das PLENUM-Projekt wurden folgende zehn Ziele festgelegt:
- Erhaltung aller Moore, Riede und Stillgewässer und Extensivierung ihrer Wassereinzugsgebiete.
- Erhaltung und Entwicklung der vielfältigen landschaftsökologischen Funktionen der Fließgewässer und der Uferrandbereiche.
- Erhaltung und Entwicklung des Feuchtgrünlandes sowie der Magerwiesen und -weiden.
- Erhaltung und Aufbau naturnaher Waldbestände, die sich am natürlichen Standort und an der natürlichen Waldgesellschaft orientieren.
- Erhaltung von vernetzenden landschaftlichen Strukturen (z. B. Gehölze, Streuobst, Raine).
- Erhaltung eines flächendeckenden Netzes bäuerlich geprägter Betriebe und Ausweitung und Erhaltung der ökologischen Betriebsweisen.
- Schaffung von Vermarktungsstrukturen für Produkte, die unter Beachtung der oben genannten PLENUM-Ziele produziert worden sind.
- Entwicklung eines natur- und umweltverträglichen Fremdenverkehrs.
- Entwicklung umweltverträglicher Wirtschaftsweisen und einer ökologisch verträglichen Infrastruktur.
- Gestaltung einer natur- und umweltverträglichen Siedlungsentwicklung.
2.2 Organisationsstruktur
Nach der PLENUM-Konzeption sollte ein interministerieller Lenkungsausschuss, in dem das MLR, das UVM und das WM vertreten sein sollten, das PLENUM-Projekt begleiten. Dem Ausschuss sollten alle Entscheidungen über grundsätzliche sowie über haushaltswirksame Fragen und über Förderprogramme obliegen. Auch die Abstimmung zwischen den Ressorts sollte über diesen Lenkungsausschuss erfolgen. Ein solches ressortübergreifendes Gremium wurde jedoch für das Modell-Projekt A nicht eingesetzt.
Zur Durchführung des Projektes wurde vor Ort ein PLENUM-Team mit drei Mitarbeitern gebildet. Das PLENUM-Team war zuständig für
- die Steuerung und Koordinierung der Einzelprojekte,
- die Beratung von Landnutzern und Antragstellern,
- die Vermittlung von Spezialisten für konkrete Fragestellungen,
- die organisatorische Unterstützung der Projektgruppe und der Arbeitskreise,
- die Öffentlichkeitsarbeit und
- die verwaltungs- und haushaltstechnische Abwicklung der Einzelprojekte.
Neben dem PLENUM-Team wurde eine Projektgruppe gegründet, die das „Vor-Ort-Team“ über alle grundsätzlichen Fragen des Modellprojekts beraten sollte. Der Projektgruppe gehört ein breites Spektrum von Institutionen und Organisationen aus der Region an. Die Leitung der Projektgruppe oblag dem Landrat.
Das Umweltministerium und ab 1996 das MLR hatten über haushaltswirksame Fragen und Förderprogramme sowie über grundsätzliche und politische Bedingungen zu entscheiden.

2.3 Projektkosten
Für das PLENUM-Modellgebiet A wurden von 1995 bis einschließlich 1999 rd. 2,95 Mio. € zur Verfügung gestellt. Dieser Betrag setzt sich aus 2,10 Mio. € originären Landesmitteln und einem Zuschuss der Deutschen Bundesstiftung Umwelt (DBU) in Höhe von 0,85 Mio. € zusammen. Die DBU hat diese Mittel zur Unterstützung der Einzelprojekte Jungviehstall, Vermarktungseinrichtung für regionale Produkte, Marketingkonzept, Kommunales Öko-Audit und Erfahrungsaustausch bewilligt und der Landesanstalt für Umweltschutz (LfU) zugewiesen.
Die jährlich zur Verfügung stehenden Finanzmittel beliefen sich im Durchschnitt auf 562.400 €. Rechnet man die Projektbetreuung durch die LfU hinzu (127.800 €), so ergeben sich jährliche Kosten in Höhe von rd. 690.000 €. Nicht berücksichtigt sind die Personalkosten beim MLR und bei den Behörden, die in den Arbeitskreisen mitarbeiten.
2.4 Fördermaßnahmen im Modellgebiet A
2.4.1 Grundsätze der projektbezogenen PLENUM-Förderung
Von der Projektgruppe wurden Fördergrundsätze verabschiedet, die es ermöglichten, ein breites Spektrum an Maßnahmen in unterschiedlicher Höhe zu fördern. Als förderfähig wurden natürliche und juristische Personen des Privatrechts, Gemeinden und Gemeindeverbände definiert. Grundsätzlich sollten nur Maßnahmen gefördert werden, die sich nach spätestens drei Jahren Laufzeit wirtschaftlich selbst tragen oder deren Weiterführung in anderer Weise sichergestellt war. Kriterien für die Bemessung der Höhe des Fördersatzes waren die Bedeutung des Projekts für die Erfüllung der Naturschutzziele, die Einbindung der Maßnahme in das Gesamtprojekt, die Modellhaftigkeit der Maßnahme, ihre Wirksamkeit in der Öffentlichkeit sowie das finanzielle Eigeninteresse des Antragstellers. Der Fördersatz lag zwischen 20 und 80 % der Gesamtkosten. Maßnahmen im landwirtschaftlichen Bereich sollten nur gefördert werden, wenn die Antragsteller die für Milch, Rind- und Kalbfleisch, für Brot- und Futtergetreide sowie für Mais festgelegten Qualitätskriterien erfüllten. Kommunale Maßnahmen wurden im Regelfall nur mit dem halben Fördersatz gefördert, weil hier erhebliches Eigeninteresse unterstellt wurde.
2.4.2 PLENUM-Kriterien für landwirtschaftliche Produkte
Ein zentrales Element der PLENUM-Philosophie ist der Aufbau von Vermarktungswegen für landwirtschaftliche Produkte, die unter besonderer Berücksichtigung von Naturschutzaspekten erzeugt werden. Zur Umsetzung dieser Strategie wurden Kriterien für die Erzeugung von PLENUM-Produkten entwickelt. Sie sollten dem Verbraucher extensive Erzeugung und hochwertige Qualität signalisieren.
Nach den Vorgaben der PLENUM-Konzeption sollten die Anforderungen an PLENUM-Produkte zwischen den Standards des Herkunfts- und Qualitätszeichens Baden-Württemberg (HQZ) und denen des ökologischen Landbaus liegen. Man wollte einerseits die hohen Standards des ökologischen Landbaus möglichst erreichen, andererseits waren unter diesen Bedingungen nur wenige Betriebe bereit und in der Lage, nach PLENUM-Kriterien zu produzieren.
Die Prüfung des RH hat ergeben, dass es bisher kaum gelungen ist, PLENUM als Qualitätskriterium im Bewusstsein der Verbraucher zu verankern. Das für die PLENUM-Produkte entwickelte und vorgesehene Logo wird heute kaum mehr verwendet, PLENUM spielt bei der Werbung für die Produkte eine nur noch untergeordnete Rolle.
2.4.3 Förderung eines regionalen Vermarktungsunternehmens
2.4.3.1 Ziel und Förderung
Im Jahre 1994 gründete sich eine Erzeugergemeinschaft (EZG) mit dem Ziel, durch den Aufbau eines eigenen regionalen Vermarktungsunternehmens einen höheren Preis für ihre nach PLENUM-Kriterien erzeugten Produkte zu erzielen.
Das Gebäude wurde von einem Investor errichtet und an das in der Rechtsform einer GmbH geführte Unternehmen verpachtet. Das zuständige RP akzeptierte dieses Modell als Grundlage für die Förderung.
Das RP bewilligte die Förderanträge des Investors für das Gebäude und der GmbH für das Inventar. Als förderfähige Kosten wurden 715.000 € anerkannt, von denen 382.000 € auf das Gebäude und 333.000 € auf das Inventar entfielen. Grundlage der Förderung war die Richtlinie des MLR „Förderung der Vermarktung von nach besonderen Regeln erzeugten landwirtschaftlichen Produkten“. Parallel zu der Antragstellung beim RP hatten die beiden Investoren eine Zuwendung bei der Unteren Naturschutzbehörde beantragt. Auch diese Anträge wurden bewilligt. Die Fördermittel waren von der DBU dem Land zur Förderung des PLENUM-Pilotprojektes zugewiesen worden.
Die Gesamtförderung des Projekts ergibt sich aus Übersicht 1.

Die bewilligten Gelder von insgesamt rd. 478.000 € entsprechen - bezogen auf die ausgewiesenen förderfähigen Kosten - einem Fördersatz von 66,8 %.
2.4.3.2 Feststellungen des Rechnungshofs
Die Prüfung durch den RH führte u.a. zu den folgenden Feststellungen:
- Die anteiligen Kosten für die im geförderten Gebäude ebenfalls enthaltenen Wohnungen haben das RP und das Landratsamt unrealistisch niedrig angesetzt. Dies führte im Ergebnis dazu, dass die eigentliche Investition in Wahrheit über den Fördersatz von 66,8 % hinaus subventioniert wurde. Ein derart großzügiger Einsatz von öffentlichen Mitteln zur Subventionierung einer privaten Investition ist nicht vertretbar.
- Die innere Struktur des geförderten Unternehmens entspricht nicht der vom MLR selbst aufgestellten Förderrichtlinie. Durch einen Mitgliederwechsel innerhalb der ersten fünf Jahre bedingt ist heute ein Betrieb aus einem benachbarten Bundesland der größte Lieferant innerhalb der EZG; im PLENUM-Gebiet bewirtschaftet er nur 2,5 ha.
- Das RP hatte die Zuwendung nach der RL „Besondere Regeln“ zunächst wegen der gleichzeitigen Förderung des Vorhabens durch die DBU auf 47.678 € festgesetzt. Mit Bewilligungsbescheid vom 07.08.1997 erhöhte das RP den Zuwendungsbetrag auf 63.570 € mit der Begründung, dass die Zuwendung der DBU nicht als staatliche Förderung, sondern als Eigenmittel des Zuwendungsempfängers anzusehen sei. Dieser zweite Bewilligungsbescheid ist fehlerhaft: Die DBU-Mittel wurden der LfU, einer Landesbehörde, zugewiesen und von dieser vereinnahmt. Die DBU finanziert sich zu einem erheblichen Anteil aus öffentlichen Mitteln. Die unzutreffende Einstufung der DBU-Mittel als Eigenmittel des Zuwendungsempfängers führte zu einer Doppelförderung und einem unvertretbar hohen Anteil öffentlicher Zuschüsse für das Projekt.
2.4.3.3 Bewertung des Projektes
Die regionale Vermarktungseinrichtung wurde mit insgesamt 478.016 € gefördert. Das wichtigste Ziel des Projekts, einen höheren Preis für nach PLENUM-Kriterien erzeugte Produkte zu erzielen, wurde nicht erreicht. Die sieben ökologisch wirtschaftenden Betriebe, die bei ihrer Wirtschaftsweise auch die PLENUM-Kriterien erfüllen, erhalten für ihre Produkte lediglich den marktüblichen Bio-Zuschlag.
Die sieben Betriebe wirtschaften - wie viele ihrer Kollegen – extensiv, und sie sind außerdem in der Pflege und Bewirtschaftung von Nass- und Streuwiesen im örtlichen Naturschutzgebiet engagiert. Diese ökologisch wertvollen Leistungen erbringen sie aber im Rahmen von klassischen Landschaftspflegeverträgen. Ein kausaler Zusammenhang mit der Förderung der vermarkteten Produkte besteht nicht.
2.4.3.4 Stellungnahme des Ministeriums
Das MLR macht geltend, dass nicht der gesamte Förderbetrag der Investition gegolten habe; vielmehr seien Zuschüsse in Höhe von rd. 30.000 € für den Betrieb und für Marketingaufwendungen geleistet worden. Der niedrige Anteil der Wohnungen an den Investitionsausgaben sei durch hohe Eigenleistungen begründet; im Übrigen sei es üblich, die Kosten nicht nach der Fläche, sondern nach der Kubatur aufzuteilen. Daraus ergebe sich für die höheren gewerblichen Räume ein entsprechend höherer Kostenanteil. Insgesamt betrage der Fördersatz für die Investition lediglich 57,4 %.
Das MLR vertritt die Auffassung, dass durch die enge vertragliche Einbindung des Investors alle Voraussetzungen geschaffen worden seien, um das Vorhaben im Sinne der Richtlinie als förderfähig einzustufen.
Es handele sich bei dem Vermarktungsprojekt um ein überaus erfolgreiches PLENUM-Projekt, das sogar von zwei Naturschutzverbänden ausgezeichnet worden sei. Außerdem seien durch das Projekt vier Arbeitsplätze entstanden.
Der RH bleibt bei seiner Auffassung, dass das Vermarktungsprojekt unvertretbar hoch subventioniert wurde. Auch der vom MLR errechnete Fördersatz von 57,4 % ist nicht zu rechtfertigen. Die Richtlinien, die das MLR selbst erlassen hatte, sind nicht eingehalten, die erklärten Ziele der Förderung nicht erreicht worden.
2.4.4 Marketingkonzeption für das „PLENUM-Projekt”
Zu den Schwerpunkten der PLENUM-Konzeption gehört die erfolgreiche Vermarktung der in der Region erzeugten landwirtschaftlichen Produkte. Dadurch sollen die Einkommensverluste, die durch eine Natur und Umwelt schonende Wirtschaftsweise entstehen, kompensiert werden.
Zunächst wollte man eine Grundlage für die Umsetzung schaffen und gab eine Marketingstudie in Auftrag. Als Gesamtvergütung wurden 176.000 € vereinbart. Bei der Auftragsvergabe wurden die einschlägigen Vergabevorschriften nicht beachtet.
Inhalt und Aussagen der vorgelegten Marketing-Konzeption erwiesen sich als wenig konkret und nicht sehr hilfreich für die Umsetzung vor Ort. Die meisten der aufgezeigten Ideen und Vorschläge wurden bisher nicht umgesetzt. Nach Auffassung des RH hätte bereits bei der Auftragsvergabe sichergestellt werden müssen, dass möglichst konkrete Projektvorschläge mit Angaben über Kosten, Nutzen, Finanzierung und zeitlichen Ablauf der Umsetzung gemacht werden. Das vorgelegte Gutachten rechtfertigt einen Preis in Höhe von 176.000 € nicht.
Das MLR macht geltend, dass immerhin zwei der aufgeführten Vorschläge bereits realisiert bzw. konzipiert seien (Teilnahme an Wettbewerben, Schulbauernhof). Im Übrigen handele es sich bei der Konzeption um eine Diskussionsbasis für die strategische Weiterentwicklung von PLENUM.
2.4.5 Vermittlung von „PLENUM-Rindern“
Der Offenhaltung der Landschaft kommt im Landkreis A aus Gründen der touristischen Attraktivität und aus Naturschutzgründen erhebliche Bedeutung zu. Dies geschieht in einer Grünlandregion am ehesten durch Rinderhaltung. Dabei spielt die Vermarktung für die Wirtschaftlichkeit eine erhebliche Rolle. Im Rahmen des PLENUM-Projekts wurde deshalb ein in der Branche tätiges Unternehmen mit dem Aufbau neuer Vermarktungswege für Rindfleisch, das nach PLENUM-Kriterien erzeugt wurde, beauftragt. Man erhoffte sich davon höhere Erzeugerpreise.
Das Unternehmen wurde für seine Berater- und Vermittleraktivitäten in der Zeit von Ende 1996 bis 1999 mit insgesamt 76.000 € entlohnt. Bemerkenswert ist dabei, dass das Landratsamt mit dem Unternehmen keinen Dienstleistungsvertrag abgeschlossen hat, sondern ihm die oben genannte Summe in drei Bescheiden als Zuwendung in Form einer Projektförderung bewilligt hat. Die Verpflichtungen des Unternehmens wurden als Auflagen definiert. Beispiele für solche Auflagen sind:
- Aufbau von Vermarktungswegen für PLENUM-Fleisch,
- Kontakte mit Metzgereien, Gaststätten, Viehhändlern und Schlachtstätten,
- Aufbau von Schlacht - und Vertriebsschienen und
- Berater- und Vermittlertätigkeiten einschließlich die Vermarktung von 100 Tieren.
Im Ergebnis führten die Aktivitäten des Unternehmens zu einem Marktanteil von rd. 5 % der im PLENUM-Gebiet A erzeugten Rinder. Dieses Ergebnis steht außer Verhältnis zur Höhe der gewährten Förderung.
Das MLR macht geltend, dass zum Einstieg von PLENUM in die Rindfleischvermarktung eine professionelle Beratung unerlässlich gewesen sei. Insbesondere habe der Unternehmer das Projekt und die PLENUM-Kriterien bei seinem bisherigen Kunden- und Lieferantenstamm eingeführt. Der vom RH als gering eingestufte Vermarktungserfolg sei teilweise auf die BSE-Krise zurückzuführen, die generell einen Einbruch bei der Rindfleischvermarktung nach sich gezogen habe.
2.4.6 Förderung eines Jungviehstalls
Die LfU hat in einem aufwändigen Antragsverfahren für die Errichtung eines Jungviehstalles eine Förderung bei der DBU beantragt. Als Ziel dieses Projekts wurde der Aufbau einer dauerhaft wirtschaftlich tragbaren Betriebsstruktur und die Sicherung der großflächigen Offenhaltung der Landschaft angegeben. Es war daran gedacht, dass mehrere Betriebe einen Gemeinschaftsstall zur Jungviehaufzucht erstellen. Das Vieh sollte während der Sommermonate im Landkreis A gelegene Hänge beweiden (Landschaftspflege), im Winter sollte es in dem Tiefstreustall gehalten werden. Als Einstreu sollte das von den Streuwiesen gewonnene Material verwendet werden. Der Jungviehstall wurde als Projekt mit Pilotcharakter bezeichnet.
Das Projekt Jungviehstall wurde in der Modellphase nicht realisiert. Nach einer erneuten Planungsphase hat ein Investor das Projekt umgesetzt. Der Jungviehstall wurde im Jahr 2002 in stark reduziertem Umfang für 18 Stück Jungvieh gebaut.
Die ursprünglichen Zielsetzungen „wirtschaftlich tragbare Betriebsstruktur“ und „großflächige Offenhaltung der Landschaft“ mussten aufgegeben werden. Das Jungvieh soll zwar auch nach der neuen Planung während des Sommerhalbjahres im Landkreis gelegene Hänge beweiden und damit der Landschaftspflege dienen. Der Viehbesatz von nur 18 Stück Jungvieh reicht aber bei weitem nicht aus, um die ursprünglich vorgesehene Fläche von 40 ha so intensiv zu beweiden, dass die gesamte Fläche offen gehalten werden kann.
Deshalb wurden inzwischen neue Ziele für den Jungviehstall benannt: Der Jungviehstall soll nun als Besichtigungsobjekt für Besucher eines Molkereibetriebs und des benachbarten Naturlehrpfads dienen. Außerdem wird auf seine pädagogische Funktion für die Arbeit mit Behinderten und Kindern hingewiesen. Schließlich werde das Jungvieh zeitgemäß im Offenstall tiergerecht gehalten und er biete die Möglichkeit, das auf den Streuwiesen des örtlichen Naturschutzgebietes anfallende Material als Einstreu zu verwenden. Dieser landschaftspflegerische Beitrag kann allerdings auf Grund der reduzierten Tierzahl bei weitem nicht in dem ursprünglich vorgesehenen Umfang erfolgen.
Für den Bau des nun realisierten Jungviehstalls wurden 153.900 € als förderfähige Kosten anerkannt. Davon werden 60 % als Zuschuss gewährt. Die Kosten je Stallplatz belaufen sich auf rd. 10.000 €. Im Vergleich dazu werden beim Bau von Jungviehställen im Rahmen der Agrarinvestitionsförderung maximal 1.500 € je Stallplatz als förderfähige Kosten anerkannt.
Die angestrebte Vernetzung von Tourismus, Pädagogik und Jungviehstall hätte auch auf andere, kostengünstigere Weise erreicht werden können. Insbesondere ist der Aspekt Tourismusförderung nicht überzeugend, weil sich das Jungvieh während des Sommers - der touristischen Hauptsaison - nicht im Stall, sondern auf der Weide befindet. Insgesamt stehen Kosten und Nutzen des Projekts in einem unausgewogenen Verhältnis.
Das MLR macht geltend, dass die relativ großzügige Bemessung der Liege- und Fressplätze entsprechend der Bio-Richtlinie für artgerechte Haltung dimensioniert worden sei. Die relativ hohen Kosten seien für einen „Vorzeigebetrieb“ notwendig. Im Übrigen sei eine der drei Buchten auch im Sommer mit Vieh belegt, sodass die Erlebbarkeit von Kühen für die Besucher gegeben sei.
Nach den Feststellungen des RH gehen die hohen Kosten weniger auf die besonders artgerechte Haltung zurück, sondern erklären sich vor allem durch einen überdimensionierten Lagerraum und einen besonders aufwändigen Umbau. Im Übrigen hat die Vor-Ort-Erhebung des RH ergeben, dass das vom MLR erwähnte Vieh nur nachts im Jungviehstall ist.
2.5 Sonstige Fördermaßnahmen
Neben den ausführlich dargestellten Einzelmaßnahmen wurden in der Modellphase rd. 130 weitere Projekte mit Gesamtkosten von rd. 1,4 Mio. € gefördert; dafür wurden insgesamt rd. 660.000 € an Landesmitteln zur Verfügung gestellt. Der jeweilige Zuwendungsanteil lag - von Ausnahmen abgesehen - zwischen 20 % und 80 % der Gesamtkosten. Einzelne Projekte wurden als PLENUM-Eigenprojekte bezeichnet und voll finanziert. Fast alle diese Projekte sind inhaltlich und finanziell als kritisch zu bewerten. Die Einzelheiten wurden dem MLR in der Prüfungsmitteilung dargelegt.
2.6 Entwicklung nach der Modellphase
Das MLR hat die Förderung und Weiterführung des Projekts für den Zeitraum vom 01.10.2000 bis 31.12.2006 zugesagt. Als Landeszuschuss hat das MLR dem Landratsamt A jährlich maximal 435.000 € in Aussicht gestellt.
Das erweiterte Projektgebiet deckt fast den gesamten Landkreis A ab. Es weicht von der von der LfU nach naturschutzfachlichen Gesichtspunkten festgelegten Gebietskulisse ab. Die bisherigen zehn Projektziele wurden auf zwölf erweitert. Als neue Ziele sind „Erhaltung und Pflege der regionalen Kultur und des Brauchtums“ sowie „Entwicklung eines regionalen Umweltbewusstseins und Handelns“ hinzugekommen. Maßnahmen, die diesen Zielen dienen, sind somit schon nach der Landschaftspflegerichtlinie - und damit mit Naturschutzmitteln - förderfähig.
Insgesamt wurden die bisherigen Zielsetzungen leicht modifiziert. Die Maßnahmen wurden Handlungsfeldern zugeordnet und mit einer Prioritätsstufe versehen. Maßnahmen, die der Landwirtschaft, der Vermarktung, dem sanften Tourismus, der Öffentlichkeitsarbeit oder der Umwelterziehung dienen, wurden der Priorität I zugeordnet. Maßnahmen, die unmittelbar dem Naturschutz dienen, wurden unter Priorität II eingeordnet.
2.7 Bewertung des PLENUM-Projekts
Das Projekt-Team hat durch seine Arbeit im Modellgebiet aktive Moderations-, Beratungs- und Öffentlichkeitsarbeit betrieben. Dadurch ist zwischen Landwirtschaft und Naturschutz ein Dialog in Gang gekommen, das gegenseitige Verständnis gewachsen, und im Rahmen des Projekts hat sich eine Zusammenarbeit entwickelt.
Bei den Einzelprojekten war ein deutlicher Schwerpunkt im Bereich „Vermarktung und Verarbeitung von nach PLENUM-Kriterien erzeugten landwirtschaftlichen Produkten“ festzustellen. Allein für die drei größten Vermarktungsprojekte wurden Zuwendungen im Umfang von über 750.000 € gewährt. Keines dieser Projekte hat zu einem durchschlagenden Erfolg geführt.
Der mangelnde Erfolg dieser Projekte beruht vor allem auf unrealistischen Vorstellungen über Marktzusammenhänge und die Möglichkeiten, durch regionale Vermarktung höhere Preise und Einkommen zu erzielen.
Die Verfügbarkeit von großen Summen führte zu einer „Politik des leichten Geldes“, d. h. zu einer Bewilligungspraxis, bei der die Fördersätze sehr hoch waren und bei der gleichzeitig die Voraussetzungen und die Eignung der Einzelprojekte nicht sehr intensiv geprüft wurden.
Bei künftigen PLENUM-Projekten besteht die Gefahr, dass ähnliche Fehlentwicklungen eintreten. Dem muss durch eine Reduzierung der zur Verfügung stehenden Mittel und durch eine sorgfältigere Auswahl der geförderten Maßnahmen vorgebeugt werden.
2.8 Stellungnahme des Ministeriums
Das MLR weist den Vorwurf der „Politik des leichten Geldes“ entschieden zurück, da bei der Vielzahl der geförderten Projekte durchaus unterschiedliche Fördersätze angewandt worden seien. Im Übrigen sei ein Modellprojekt dazu da, vielfältige Erfahrungen zu sammeln, um in der Regelförderphase effizienter und zielorientiert vorgehen zu können. Die Konsequenzen für die derzeitigen Fördermaßnahmen habe das MLR gezogen.
Die negative Gesamtbewertung des RH könne auch deshalb nicht geteilt werden, da eine der unabhängigen Evaluationen ergeben habe, dass durch das PLENUM-Modellprojekt insgesamt 18 Arbeitsplätze neu geschaffen oder gesichert worden seien.
3 Das Modellprojekt Landkreis B
3.1 Entstehung und Entwicklung
Im November 1990 wurde das Projekt unter dem Titel „Biotopvernetzung und Extensivierung landwirtschaftlich genutzter Flächen im Landkreis B“ ins Leben gerufen. Projektträger war das damalige Landwirtschaftsministerium. Das Projekt-Team war und ist bis heute im Gebäude des Amtes für Landwirtschaft, Landschafts- und Bodenkultur (Landwirtschaftsamt) untergebracht. Von Anfang an gab es nach den Aussagen der Beteiligten eine gute Zusammenarbeit zwischen dem Projekt-Team und dem Landwirtschaftsamt. Dadurch wurde dem Team der Zugang zu den Landwirten wesentlich erleichtert.
In der Anfangsphase wurde das Projekt von einem Arbeitskreis getragen, ohne dass es eine fest angestellte Geschäftsführung gab. Im Frühjahr 1992 setzte die Finanzierung durch die Stiftung Naturschutzfonds ein, danach wurde eine hauptamtliche Projektleitung vor Ort installiert.
3.2 Projektziele
Mit dem Projekt sollte die Zusammenarbeit zwischen Landwirtschaft und Umwelt verbessert werden. Als Ziele des Modellprojektes B wurden genannt: Umweltverträgliche Landbewirtschaftung, Vermeidung von Stoffeinträgen aus der Landwirtschaft in das Grund- und Oberflächenwasser, Bewirtschaftung von extensivem Grünland sowie Vernetzung von Biotopen. Das Projekt sollte die Aktivitäten von einzelnen Kommunen im Landkreis sowie von verschiedenen Organisationen des Naturschutzes zusammenfassen und auf einen größeren Raum ausdehnen.
Das Arbeitsprogramm des Teams orientierte sich an folgenden fünf Teilzielen:
- Umsetzung einer standortangepassten und umweltverträglichen Landbewirtschaftung,
- Existenzsicherung der bäuerlichen Landwirtschaft,
- Erhalt der abwechslungsreichen Kultur- und Erholungslandschaft,
- Erhalt und Entwicklung von Lebensräumen für wild wachsende Pflanzen und frei lebende Tiere und
- Schaffung von Solidargemeinschaften zwischen Erzeugern, Verarbeitern, Handel und Verbrauchern zu Gunsten eines intakten Naturhaushalts in der Modellregion.
3.3 Finanzierung
Die Finanzierung des Projekts erfolgte von 1992 bis März 1994 ausschließlich durch die Stiftung Naturschutzfonds. Die Stiftung übernahm die Personalkosten des Projektleiters und förderte auch Einzelprojekte. Das MLR stellte in diesem Zeitraum keine besonderen Projektmittel bereit.
Der finanzielle Rahmen des Projekts konnte ab 1994 durch eine Mitfinanzierung über ein europäisches Förderprogramm (LIFE) wesentlich erweitert werden. Ab 01.04.1994 erfolgte die Finanzierung zu 50 % über das LIFE-Projekt, die Stiftung Naturschutzfonds und das MLR beteiligten sich nun zu je 25 % an der Finanzierung.
Von 1994 bis 2000 wurden für dieses LIFE-Projekt 1,41 Mio. € ausgegeben. Die EU finanzierte 50 % des bewilligten Förderhöchstbetrags, also 703.625 €. Der Rest wurde vom MLR und von der Stiftung Naturschutzfonds je zur Hälfte übernommen. Zu den Ausgaben in Höhe von 1,41 Mio. € kommen die Kosten für die Gesamtprojektleitung und die Mittelverwaltung bei der Landesanstalt für die Entwicklung der Landwirtschaft in Schwäbisch Gmünd (LEL) hinzu. Diese belaufen sich während der 10jährigen Modellphase auf insgesamt rd. 970.000 €.
Die Gesamtkosten des Projektes summieren sich auf 2,38 Mio. € für die 10jährige Modellphase; das entspricht jährlichen Kosten von 238.000 €. Davon entfällt der größte Einzelposten auf Gesamtprojektleitung und Mittelverwaltung bei der LEL (970.000 €). Den zweitgrößten Einzelposten stellt das Personal vor Ort mit rd. 665.000 € dar, und an dritter Stelle kommen die Kosten für Begleituntersuchungen mit insgesamt 477.000 €. Bei den übrigen Kostenpunkten handelt es sich um verhältnismäßig kleine Positionen.
3.4 Durchgeführte Projekte und Maßnahmen
Die in der Projektlaufzeit von zehn Jahren durchgeführten Projekte und Maßnahmen lassen sich fünf Themenkreisen zuordnen:
- Biotopvernetzung und Extensiverung der Landwirtschaft,
- Umweltverträgliche Landwirtschaft,
- Vermarktung regionaler, umweltschonend erzeugter Produkte,
- Kooperation Landwirtschaft und Tourismus,
- Projektbegleitende Forschung.
Neben diesen fünf Themenkreisen hatte die Öffentlichkeitsarbeit einen hohen Stellenwert bei den Aktivitäten des Projekt-Teams.
Eine Auswertung der Einzelprojekte ergab, dass die meisten Projekte entweder dem Ziel „Schaffung von Solidargemeinschaften“ oder dem Ziel „Existenzsicherung der Landwirtschaft“ zuzuordnen sind. Ziele, die unmittelbar dem Naturschutz dienen, sind dagegen stark unterrepräsentiert.
3.4.1 Begleituntersuchungen
Die Studie „Integriertes Grünlandkonzept“ basierte auf mehrjährigen Feldversuchen der Universität Hohenheim und war mit Kosten von 227.525 € das teuerste Einzelprojekt dieses Modellprojekts. Kostenintensiv war aber auch die Studie „Bürger/Landwirtschaft/Landschaft“, die in einer Gemeinde des Projektgebiets durchgeführt wurde und (zusammen mit einer Vorstudie) Kosten von nahezu 150.000 € verursachte. Eine Evaluierung, die an Hand von klar definierten Kriterien den Grad der Zielerreichung überprüft, wurde für keine der beiden Studien durchgeführt.
3.4.2 Bauernmärkte
Im Landkreis B werden inzwischen drei Bauernmärkte erfolgreich betrieben, die mit Unterstützung des Modellprojektes ins Leben gerufen worden sind. Die Märkte dienen der Vermarktung von Produkten und damit der Sicherung von 26 teilnehmenden landwirtschaftlichen Betrieben.
Bemerkenswert ist, dass dem Modellprojekt B für diese Projekte keine speziellen Mittel zur Verfügung standen. Das Projekt-Team beschränkte sich auf die Rolle des Ideengebers und Moderators, wirkte allerdings auch an der Erstellung der Marketingstudien erheblich mit. Deshalb waren die Aufwendungen für die Marketingstudie mit weniger als 13.000 € vergleichsweise niedrig. Das Ergebnis sind drei lebensfähige Bauernmärkte.
Der Mangel an finanziellen Ressourcen erfordert ein starkes Engagement der Beteiligten, insbesondere der späteren Marktnutzer. Nach den Beobachtungen in der Prüfung wirkt sich dies auf die Nachhaltigkeit der Projekte eher positiv aus.
3.4.3 Landschaftspflegeverträge
Nach einer Zusammenstellung der Unteren Naturschutzbehörde haben sich die Pflegevertragsflächen im Landkreis B wie folgt entwickelt:
Mit dem Beginn der Arbeit des Projekt-Teams vor Ort im Jahr 1992 wurde bei den Landwirten für den Abschluss von Landschaftspflegeverträgen mit der Unteren Naturschutzbehörde geworben. Die Zahlen zeigen, dass die Informationsveranstaltungen und Beratungen schnell zum Erfolg führten. Ab dem Jahr 1994 stagnierte jedoch der Abschluss von neuen Landschaftspflegeverträgen, in den Folgejahren war sogar ein Rückgang zu verzeichnen. Die Untere Naturschutzbehörde weist darauf hin, dass daraus nicht auf die Tätigkeit des Modellprojektes geschlossen werden kann, da zum Einen die Mittel limitiert waren, zum Anderen sich die ökologischen Bewertungsmaßstäbe geändert hatten.
Die Zahlen zeigen, dass die Informations- und Beratungsaktivitäten zu Beginn des Projektes Wirkung erzielt haben.
3.5 Bewertung des Modellprojektes B
Eine Evaluierung des Modellprojektes mit Messung der Zielerreichung hat während der gesamten Projektzeit und auch vor der Überführung in die reguläre PLENUM-Förderung nicht stattgefunden.
Positiv ist festzuhalten:
Das Modellprojekt hat entscheidend dazu beigetragen, dass zwischen Naturschutz, Landwirtschaft und Verbrauchern ein konstruktiver Dialog im Projektgebiet eingesetzt hat. Vor allem das Verhältnis von Landwirtschaft und Naturschutz entspannte sich. Dies war Voraussetzung dafür, dass in den Jahren 1993 und 1994 viele Landwirte für den Abschluss von Landschaftspflegeverträgen gewonnen werden konnten.
Ein Schwerpunkt der Arbeit des Projekt-Teams war, neue Vermarktungsstrukturen für landwirtschaftliche Produkte aufzubauen. Für diesen Zweck standen keine speziellen Projektmittel zur Verfügung. Die Rolle des Projekt-Teams beschränkte sich darauf, Ideen zu geben, zu moderieren und evtl. generelle Fördermöglichkeiten für solche Projekte ausfindig zu machen. Dennoch - oder gerade deswegen - wurden während der Modellphase u. a. drei erfolgreiche Bauernmärkte ins Leben gerufen.
Kritisch zu betrachten ist Folgendes:
Nach den Personalkosten sind Leistungen Dritter als zweitgrößter Ausgabenposten ausgewiesen. Es handelt sich hier hauptsächlich um wissenschaftliche Studien, deren Qualität nicht bezweifelt werden soll, wohl aber deren Nutzen für die Projektziele. Für die Einzelprojekte gilt - ähnlich wie im Modellgebiet A -, dass meist kein direkter Bezug zu Naturschutzzielen besteht. Die Möglichkeit, viel Geld für teure Studien auszugeben, wurde genutzt.
3.6 Stellungnahme des Ministeriums
Das MLR macht geltend, dass zum Zeitpunkt des Projektstarts die für eine systematische Evaluierung notwendigen Erkenntnisse noch nicht vorlagen, sodass - auch aus finanziellen Gründen - auf eine Evaluierung verzichtet wurde. Eine spätere Nachbesserung sei aus finanziellen und fachlichen Gründen nicht möglich gewesen.
Das Modellprojekt B habe viel Positives bewirkt. Der relativ hohe Aufwand für wissenschaftliche Begleituntersuchungen sei für ein Modellprojekt typisch und notwendig.
Im Übrigen lege der RH in seiner Stellungnahme den Begriff „Naturschutz“ zu eng aus. Das Projekt B sei im Gegensatz zu PLENUM nicht ausschließlich am Naturschutz ausgerichtet gewesen.
4 Landschaftserhaltungsverbände und Naturparke
Die LEV wurden in Gegenden mit einem hohen Anteil an Pflegeflächen gegründet. Ihr Ziel ist in erster Linie, Landeigentümer von der Notwendigkeit der Landschaftspflege zu überzeugen und sie bei der Durchführung der Pflegemaßnahmen mit Informationen und Beratung zu unterstützen. Die Personalkosten der LEV (eine Stelle) werden zu 70 % vom Land getragen.
Das Ziel der Naturparke bestand ursprünglich vor allem darin, innerhalb der Naturparkgebiete die Infrastruktur für einen naturnahen Tourismus zu fördern. Inzwischen ist bei einigen Naturparken - wie bei den PLENUM-Projekten - ein starkes Bestreben festzustellen, Vermarktungsprojekte für landwirtschaftliche Produkte ins Leben zu rufen. Das Personal der Naturparke wird zu 100 % vom Land finanziert (ein Bediensteter der Forstverwaltung).
Da PLENUM-Projekte zunehmend auch im Bereich des Tourismus aktiv sind, ist die Abgrenzung zu Naturparken nicht mehr so klar wie früher. Ein besonderes Problem ist jedoch, dass es zwischen Naturparken, ausgewiesenen PLENUM-Gebieten und LEV keine eindeutige Gebietsabgrenzung gibt. Ein Gesamtkonzept für den Naturschutz mit inhaltlich wie räumlich klaren Definitionen ist deshalb erforderlich.
5 Empfehlungen des Rechnungshofs und Stellungnahme des Ministeriums
5.1 Empfehlungen
Der RH anerkennt die Leistung der PLENUM-Projekt-Teams als Ideengeber und Moderatoren vor Ort.
Aus den Erfahrungen der geprüften Modellprojekte ergeben sich jedoch die folgenden Empfehlungen für laufende und künftige PLENUM-Projekte:
1. Vor Beginn eines Projekts muss die Ausgangssituation im jeweiligen Gebiet verlässlich analysiert und dokumentiert werden. Die Projektverantwortlichen müssen klare und messbare Ziele für das Projekt formulieren. Die Erreichung dieser Ziele muss nach Abschluss bzw. vor Verlängerung des Projekts von einer neutralen Stelle methodisch einwandfrei evaluiert werden.
2. Die finanzielle Ausstattung der PLENUM-Projekte ist deutlich zu reduzieren. Der vorgesehene Betrag von 435.000 € jährlich überfordert nach den Erfahrungen der Modellprojekte die konzeptionelle Leistungsfähigkeit der Projektverantwortlichen und führt zu überteuerten, unwirtschaftlichen und in vielen Fällen nicht zielführenden Einzelmaßnahmen. In Zukunft sollten nur noch die für das PLENUM-Team anfallenden Personalkosten mit einem Festbetrag finanziert werden, während die Einzelmaßnahmen nur noch nach Maßgabe der ohnehin bestehenden Richtlinien gefördert werden sollten. Eine materielle Privilegierung von Einzelmaßnahmen im Rahmen eines PLENUM-Projekts gegenüber anderen Maßnahmen des Naturschutzes sollte nicht mehr stattfinden.
3. Künftige PLENUM-Projekte sollten zeitlich begrenzt werden.
4. Für die Anfertigung aufwändiger Studien sollten in Zukunft keine PLENUM-Mittel zur Verfügung gestellt werden. Studien, die in der Konzeptionsphase erstellt werden müssen, sind von den Gebietskörperschaften zu bezahlen, denen die konzipierten Maßnahmen im Ergebnis zugute kommen.
5. Auf die Förderung von Vermarktungseinrichtungen und -maßnahmen aus Naturschutzmitteln ist generell zu verzichten. Die Fördertatbestände D2 (Investitionen zur Verbesserung der Verarbeitung und Vermarktung landwirtschaftlicher Erzeugnisse) und E2 (Dienstleistung und Organisation zur Vermarktung ökologischer oder regionaler Qualitätsprodukte) sind aus der Landschaftspflegerichtlinie ersatzlos zu streichen. Die verbleibenden allgemeinen Richtlinien „Förderung von regional erzeugten Produkten“ und „Förderung von ökologisch erzeugten Produkten“, wie sie auch außerhalb von PLENUM-Gebieten gelten, reichen aus.
6. Soweit im Rahmen des PLENUM-Modellprojekts landwirtschaftliche Investitionen gefördert wurden, standen Aufwand und naturschutzrelevante Wirkung regelmäßig außer Verhältnis. Der RH empfiehlt deshalb, künftig im Rahmen von PLENUM-Projekten auf die Förderung landwirtschaftlicher Investitionen aus Naturschutzmitteln zu verzichten. Der Fördertatbestand D1 (Investitionen in die Landwirtschaft) ist aus der Landschaftspflegerichtlinie zu streichen.
7. Das MLR sollte ein landesweites Gesamtkonzept für großflächigen Naturschutz entwickeln, das die Aufgaben von PLENUM, Landschaftserhaltungsverbänden und Naturparken klar definiert und aufeinander abstimmt. Hierbei ist insbesondere auf klare Zieldefinitionen, transparente Kriterien für die Gebietsausweisung, Vermeidung von Gebietsüberschneidungen und einheitliche Förderkonditionen für vergleichbare Tatbestände zu achten.
5.2 Stellungnahme des Ministeriums
Das MLR erklärt, dass es viele der Anregungen des RH bereits seit längerem in die laufenden PLENUM-Projekte übernommen habe, wie z. B. die zeitliche Begrenzung der Projekte, die Absenkung der Projektfinanzierung während der Anlaufphase und eine genauere Vorprüfung beantragter Projekte. Auch die vom RH geforderte Analyse der Ausgangssituation, die klare Definition der Projektziele und die Evaluation durch eine neutrale Einrichtung seien in der PLENUM-Konzeption vorgesehen und würden für die neuen Projekte „Kaiserstuhl“ und „Heckengäu“ bereits realisiert.
Der RH verkenne die auf Langzeitwirkungen und Umstrukturierungen angelegte PLENUM-Philosophie. Mit Anschubfinanzierungen sollten wirtschaftlich tragfähige Entwicklungen angestoßen werden, die Dauerförderungen etwa von Pflegemaßnahmen u. a. überflüssig machen könnten.
Die Finanzierung von Marketingkonzeptionen, Investitionen in Vermarktungseinrichtungen und in landwirtschaftliche Betriebe sei in die Landschaftspflegerichtlinie aufgenommen worden, um das politische Ziel „Schutz durch Nutzung“ sachgerecht finanziell darzustellen. Die entsprechenden landwirtschaftlichen Förderprogramme beinhalteten andere Vorgaben und Schwerpunkte; Naturschutzbelange spielten dort eine untergeordnete Rolle. Deshalb könnten die Ziele der PLENUM-Förderung mit den derzeitigen land- und forstwirtschaftlichen Förderprogrammen nicht erreicht werden.
Eine „materielle Privilegierung“ der Schwerpunktgebiete des Naturschutzes in Baden-Württemberg durch PLENUM sei beabsichtigt und sei auch in anderen Bundesländern üblich.
Das PLENUM-Projekt sei ein innovatives und zukunftsorientiertes Konzept des Landes für eine naturverträgliche und nachhaltige Entwicklung von Regionen, die für den Naturschutz besonders wichtig seien. Die Modellprojekte hätten der Erprobung und Weiterentwicklung dieses Konzepts gedient und hätten zu wesentlichen Erfolgen geführt. Damit habe sich das Konzept bewährt und habe als Grundlage für die Einrichtung von derzeit fünf PLENUM-Regionen dienen können.
Die Forderungen des RH, in einem Gesamtkonzept auf klare Zieldefinitionen, transparente Kriterien für die Gebietsausweisung, die Vermeidung von Gebietsüberschneidungen und einheitliche Förderkonditionen zu achten, seien bei PLENUM aus Sicht des MLR weitgehend erfüllt.
5.3 Schlussbemerkung
Der RH bleibt bei seiner kritischen Bewertung des untersuchten PLENUM-Projekts. Die hoch subventionierten Einzelmaßnahmen haben in keinem der untersuchten Fälle nennenswert zur Erreichung der PLENUM-Ziele beigetragen. Es gibt im Modellgebiet keine Hinweise darauf, dass es auch nur in einem Fall gelungen wäre, durch Anschubfinanzierungen Dauerförderungen überflüssig zu machen.
Stattdessen ergab sich das Bild eines finanziell üppig ausgestatteten Projekts, in dessen Verlauf Maßnahmen mit unklarer Zielrichtung unverhältnismäßig hoch subventioniert worden sind. Eine dauerhaft geringere Finanzausstattung würde die Projektverantwortlichen zwingen, ihre Maßnahmen zielgenauer auszurichten.
Der RH begrüßt die vom MLR mittlerweile vorgenommenen Korrekturen. Sie reichen jedoch nicht aus, um die skizzierten Fehlentwicklungen in Zukunft zu vermeiden.
Anhänge
Die Stiftung Naturschutzfonds erhält alljährlich Zuwendungen des Landes. In den letzten Jahren wurden jeweils rd. 1,15 Mio. € gewährt. Da der Naturschutzfonds über stattliche und seit Jahren steigende Rücklagen verfügt, schlägt der Rechnungshof vor, die jährlichen Zuschüsse des Landes so zu bemessen und auszuzahlen, dass bei der Stiftung keine unnötige Liquidität vorgehalten wird.
1 Ausgangslage
Die Stiftung Naturschutzfonds (Stiftung) beim MLR wurde im Jahr 1978 als rechtsfähige Stiftung des öffentlichen Rechts mit Sitz in Stuttgart errichtet. Sie wird durch einen Stiftungsrat verwaltet. Den Vorsitz im Stiftungsrat führt der Minister oder ein von ihm bestimmter Vertreter.
Zum Geschäftsführer der Stiftung ist der Leiter des Referates Landschaftspflege im MLR bestellt. Er nimmt im Rahmen seines Hauptamtes bis zu 25 % Aufgaben der Geschäftsführung wahr. Ein weiterer Bediensteter des gehobenen Dienstes nimmt im Umfang von 10 % seiner Arbeitszeit Aufgaben der Geschäftsführung wahr. Auf eine Kostenerstattung für die im Rahmen der Geschäftsführung entstehenden Aufwendungen verzichtet das Land.
Weitere Verwaltungsangestellte (2,5 Stellen des höheren Dienstes und 2,0 Stellen des gehobenen Dienstes) werden von der Stiftung selbst vergütet.
Die Aufgaben der Stiftung sind in ihrer Satzung bestimmt. Danach fördert die Stiftung Bestrebungen für die Erhaltung der natürlichen Umwelt und der natürlichen Lebensgrundlagen und trägt zur Aufbringung der benötigten Mittel bei. Sie hat insbesondere die Aufgabe,
- die Forschung und modellhafte Untersuchungen auf dem Gebiet der natürlichen Umwelt anzuregen und zu fördern,
- das Ministerium bei der Planung und Verwendung der verfügbaren Forschungsmittel zu beraten,
- Maßnahmen zur Aufklärung, Aus- und Fortbildung zu unterstützen und zu fördern,
- richtungsweisende Leistungen auf dem Gebiet der Erhaltung der natürlichen Umwelt auszuzeichnen,
- den Erwerb von Grundstücken für Zwecke des Naturschutzes oder der Erholungsvorsorge zu finanzieren und
- Maßnahmen zum Schutz der Natur und zur Pflege der Landschaft zu fördern.
2 Einnahmen und Ausgaben der Stiftung
2.1 Einnahmen
Die Einnahmen der Stiftung setzen sich zusammen aus
- Ausgleichsabgaben,
- einem Landeszuschuss,
- Mitteln der Lotterie „Glücksspirale“,
- Erträgen aus Wertpapieranlagen sowie
- sonstigen Einnahmen (z. B. Überschüsse aus Vorjahren, Spenden).
In den letzten Jahren waren neben den Landeszuweisungen die Einnahmen aus der Glücksspirale die größte Einnahmequelle.

Durch die Zuweisung von Mitteln aus der Lotterie „Glücksspirale“ wurde der Stiftung ab dem Jahr 2000 eine neue, bedeutende Einnahmequelle eröffnet. Im letzten Jahresabschluss von 2001 hat die Stiftung insgesamt rd. 4,38 Mio. € als Einnahmen nachgewiesen.
2.2 Ausgaben
Die Ausgaben der Stiftung lagen in den Jahren 2000 und 2001 deutlich unter den Einnahmen. Struktur und Entwicklung der Ausgaben sind in Übersicht 2 dargestellt.

Den größten Ausgabeposten bildeten die Mittelzuweisungen an Gemeinden und an Verbände für Investitionen. Dabei handelte es sich in der Regel um Maßnahmen des Grunderwerbs für Naturschutzzwecke, gelegentlich aber auch um Baumaßnahmen, wie Schafställe oder Amphibienleitsysteme.
Ähnliche Größenordnungen erreichte der Sachaufwand für Biotopschutz (meist Maßnahmen der staatlichen Naturschutzverwaltung) und die Zuweisungen an Gemeinden und Verbände für Naturschutzprojekte.
2.3 Zuschüsse des Landes
Die Stiftung erhält vom Land jährlich Zuschüsse, deren Entwicklung Schaubild 1 zu entnehmen ist.

Auch für das Jahr 2003 ist der Landeszuschuss mit 1.150.400 € in derselben Höhe wie in den Vorjahren veranschlagt worden.
3 Finanzielle Situation der Stiftung
Die Stiftung ist nach dem Naturschutzgesetz und ihrer Satzung gehalten, ihr Geldvermögen bis zur Verwendung ertragbringend anzulegen. Neben kurzfristigen Tages- und Festgeldanlagen werden, soweit kein aktueller Geldbedarf besteht, alljährlich mehrere Millionen € in Wertpapieren angelegt. Diese langfristigen Geldanlagen haben zu einer stetigen Volumenzunahme der Wertpapierdepots geführt (s. Schaubild 2).

Diese Geldanlagen der Stiftung haben mittlerweile mehr als das Siebenfache des jährlichen Landeszuschusses erreicht.
Die Bilanz zum 31.12.2001 wies das in Übersicht 3 dargestellte Gesamtvermögen aus:

Die Auswertung der Jahresbilanzen ergibt, dass die Ausgabereste mit der Zeit erheblich angestiegen sind. In den letzten Jahren ist dies insbesondere dadurch verursacht worden, dass hohe Einnahmen aus der Ausgleichsabgabe für die Erweiterung des Flughafens Stuttgart noch nicht für entsprechende Ausgleichsmaßnahmen verausgabt werden konnten.
Die hohen jährlichen Ausgabereste und daraus resultierend die erheblichen Geldbestände der Stiftung hat der RH bereits in einer Prüfungsmitteilung im Jahr 1991 beanstandet. Daraufhin sagte das damals zuständige Umweltministerium zu, sich gemeinsam mit der Stiftung zu bemühen, die Zuwendungspraxis so zu regeln, dass die Entstehung von namhaften Haushaltsresten künftig ausgeschlossen sei.
Bereits damals hatte der RH festgestellt, dass die Stiftung auf Grund ihrer finanziellen Lage für drei bis fünf Jahre keiner Landeszuschüsse bedürfe. Daraufhin hatte das Umweltministerium von den für das Jahr 1991 bereits bewilligten rd. 2,5 Mio. € lediglich rd. 1,0 Mio. € an die Stiftung ausbezahlt. Erst anlässlich der vorliegenden Prüfung hat der RH erfahren, dass s.Z. weitere 1,5 Mio. € als Rest ins folgende Hj. 1992 übertragen wurden. Aus Mitteln dieses Haushaltsrests wurden dann im Jahr 1992 rd. 1,0 Mio. € zuzüglich zu dem für 1992 ohnehin veranschlagten Landeszuschuss in Höhe von rd. 2,5 Mio. € an die Stiftung überwiesen - somit insgesamt rd. 3,5 Mio. € im Jahr 1992.
Die Ergebnisse der neueren Zeit belegen die Überfinanzierung der Stiftung. Zudem ist durch die Mittel der „Glücksspirale“ seit dem Jahr 2000 ein erheblicher zusätzlicher Mittelzufluss gegeben.
Angesichts der Tatsache, dass sich das Land im Jahr 2003 zur Deckung des Landeshaushalts massiv verschulden muss, ist es nicht verständlich, dass bei der Stiftung mit Hilfe hoher und frühzeitig ausgezahlter Landeszuschüsse ein Geldvermögen geschaffen wird, das offenkundig nicht zeitnah benötigt wird.
Der RH schlägt daher erneut vor, die Landeszuschüsse an die Stiftung so zu bemessen und zeitlich so zu strecken, dass bei der Stiftung keine unnötige Liquidität vorgehalten wird.
4 Stellungnahme des Ministeriums
Das MLR weist darauf hin, dass es sich bei den Rücklagen überwiegend um Mittel handele, die aus Ausgleichsabgaben oder aus Erträgen der Glücksspirale stammten und durch Bewilligungsbescheide oder Landtagsbeschluss für bestimmte Projekte gebunden oder mindestens vorgesehen seien. Da die Realisierung dieser Projekte in der Regel zwei oder mehr Jahre in Anspruch nehme, werde das dafür vorgesehene Geld satzungsgemäß ertragbringend angelegt.
Die Gewährung und Auszahlung von jährlichen Landeszuschüssen sei im Übrigen schon deshalb notwendig, weil zur Deckung der Personalkosten und der sächlichen Verwaltungskosten der Stiftung die streng zweckgebundenen Mittel der Glücksspirale und der Ausgleichsabgaben nicht verwendet werden dürften.
Auch die Finanzierung mehrjähriger Projekte könne ohne die Zuweisungen des Landes nicht abgesichert werden. Dies gelte umso mehr, als angesichts der Haushaltslage des Landes mit rückläufigen Zuweisungen aus den Erträgen der Glücksspirale zu rechnen sei.
Das MLR wendet sich vor diesem Hintergrund gegen die Auffassung des RH, von Zuschüssen des Landes vorübergehend abzusehen.
5 Schlussbemerkung
Der RH anerkennt, dass die Mittel der Ausgleichsabgabe und der Glücksspirale nicht zur Deckung der personellen und sächlichen Verwaltungskosten der Stiftung verwendet werden dürfen. Dies betrifft einen Betrag von höchstens 330.000 € jährlich und damit etwa 30 % des Volumens, welches in den letzten Jahren durch Zuweisungen aus dem Landeshaushalt gedeckt wird.
Für alle anderen Ausgaben der Stiftung stehen ausreichend liquide Mittel zur Verfügung, sodass es eines weitergehenden Zuschusses des Landes jedenfalls in den nächsten Jahren nicht bedarf. Sollte durch die in der Vergangenheit bewilligten langfristigen Projekte mittelfristig wieder Liquiditätsbedarf bei der Stiftung entstehen, so könnte dann wieder ein Landeszuschuss (über den Betrag von 330.000 € hinaus) gewährt werden.
Die Bewilligungspraxis der Stiftung ist so zu gestalten, dass die Zuschüsse aus dem Landeshaushalt auf ein vertretbares Mindestmaß reduziert und die vorhandenen Rücklagen deutlich abgebaut werden können. Die vom MLR zur Verteidigung der hohen Liquidität herangezogenen künftigen Ausgabeverpflichtungen können statt durch liquide Mittel auch durch die verbindliche Zusage künftiger Zuweisungen des Landes (auf der Grundlage entsprechender Verpflichtungsermächtigungen) gedeckt werden.
Es ist unwirtschaftlich, wenn das Land einerseits Kredite aufnimmt und andererseits bei seinen rechtlich selbstständigen Einrichtungen Geldanlagen aufbaut, deren Ertrag hinter den vom Land zu leistenden Kreditzinsen zurückbleibt.
Anhänge
Einzelplan 09: Ministerium für Arbeit und Soziales
Die vorschulische Sprachhilfe ist bisher die einzige staatlich unterstützte Sprachförderung für Kinder im Vorschulalter. Weniger als 3 % der Landesmittel für die Sprachförderung werden dafür eingesetzt. Mit der bisherigen Zuwendungsgewährung auf Antrag kann eine gleichmäßige Bedarfsdeckung nicht erreicht werden. Sie setzt eine enge Abstimmung mit den Kommunen voraus.
1 Vorbemerkung
Das Land förderte im Jahr 2000 Maßnahmen der Hausaufgaben-, Sprach- und Lernhilfen (HSL) für ausländische Kinder und Aussiedlerkinder mit 3,1 Mio. €. Förderzweck ist es, Kindern im Vorschulalter durch die Vermittlung deutscher Sprachkenntnisse und Schülern durch außerschulische HSL das Einüben sozialen Verhaltens, das Zurechtfinden in ihrer Umgebung, den Übergang in das deutsche Schul- und Bildungssystem und die erfolgreiche Teilnahme am Unterricht zu ermöglichen bzw. zu erleichtern.
Der RH hatte die Fördermaßnahme erstmals 1986 geprüft (Denkschrift 1987, Nr. 24). Die s.Z. festgestellten Abrechnungs-Missstände führten zur Umstellung des Fördersystems. In den letzten Jahren werden neue Strategien zur Behebung von Sprachdefiziten auf Bundes- und Landesebene diskutiert. Einigkeit besteht dabei insoweit, dass Sprachförderung möglichst früh einsetzen sollte. Der RH hat die Struktur der bisherigen Förderung und das Förderverfahren erneut geprüft.
Der RH und die StRPÄ Stuttgart und Tübingen haben die Verwendungsnachweise der in den Kreisen Stuttgart und Mannheim durchgeführten Fördermaßnahmen vollständig und die Verwendungsnachweise der in den Kreisen Böblingen, Esslingen und Ludwigsburg durchgeführten Maßnahmen zum größten Teil geprüft. Insgesamt wurden rd. 160 Verwendungsnachweise mit einem Fördervolumen von rd. 1 Mio. € und damit rd. ein Drittel des landesweiten HSL-Fördervolumens in die Auswertung einbezogen. Darüber hinaus wurde das Zahlenmaterial der Landeskreditbank Baden-Württemberg - Förderbank - ausgewertet, das über die HSL-Förderung landesweit vorliegt.
Zugleich hat der RH in den selben Stadt- und Landkreisen die Förderung von jungen Aussiedlern aus dem Garantiefonds des Bundes geprüft. Von den im Land im Jahr 2000 hierfür eingesetzten 7,7 Mio. € wurden rd. 22 % in die Prüfung einbezogen.
2 Sprachförderung in Baden-Württemberg
Das Land trägt außer den Kosten für HSL im Wesentlichen die Kosten für Fördermaßnahmen in den Schulen für ausländische und spätausgesiedelte Schüler. Der Bund fördert aus dem Garantiefonds junge Aussiedler. Der finanzielle Umfang dieser drei staatlichen Fördermaßnahmen im Land ist für das Jahr 2000 in Übersicht 1 dargestellt.

Die Förderung für ausländische und spätausgesiedelte Schüler in den Schulen wird dadurch gewährt, dass zusätzliche Lehrerdeputate zur Verfügung gestellt werden. Im Schuljahr 2000/2001 waren dies 660 Deputate. Davon entfielen 569 auf Vorbereitungs- und Förderklassen, die von 6.959 Schülern besucht wurden. 40 Deputate waren für die Sprachförderung an Grund- und Hauptschulen bestimmt und die übrigen für Vorbereitungs- und Förderkurse und für zusätzliche Maßnahmen in Regelklassen an Schulen mit hohem Migrantenanteil.
Mit den Garantiefonds-Mitteln des Bundes werden schulpflichtige Aussiedler ab der 5. Klasse durch Nachhilfeunterricht und nicht mehr schulpflichtige junge Aussiedler bis längstens zur Vollendung des 27. Lebensjahres hauptsächlich mit Sprachkursen gefördert.
Mit den HSL werden Kinder im vorschulischen Alter und schulpflichtige Kinder gefördert. Soweit Schüler teilnehmen, sind dies ganz überwiegend Grundschüler. Jede Förderstunde je Kind - die sog. Kind/Stunde - wird vom Land mit einem Festbetrag von 0,87 € gefördert. Von den drei dargestellten staatlichen Fördermaßnahmen ist HSL die einzige Maßnahme, mit der auch Kinder im vorschulischen Alter gefördert werden.
Die Landesstiftung Baden-Württemberg gGmbH (Landesstiftung) hat zur Sprachförderung im Vorschulalter - insbesondere für Migrantenkinder - im Wirtschaftsplan 2003 5 Mio. € bereit gestellt. Erwogen wird, damit rd. 25 % aller Kinder eines Jahrgangs zu fördern.
3 Steuerung der Fördermaßnahme Hausaufgaben-, Sprach- und Lernhilfen
3.1 Zielgruppen der Fördermaßnahme
Die Förderung der HSL-Maßnahmen erfolgt als Zuwendung auf Antrag. Antragsteller sind regelmäßig Kommunen und freie Träger. Vom Fördervolumen im Jahr 2000 von 3,1 Mio. € entfielen 0,9 Mio. € (30 %) auf Maßnahmen für Kinder im vorschulischen Alter und 2,2 Mio. € (70 %) auf solche für Schüler.
Aussagen zur Bedarfsdeckung durch die Förderung sind nur sehr begrenzt möglich. Im Zusammenhang mit HSL finden Sprachtests nicht statt, die Deutsch-Note teilnehmender Schüler wird nicht erfasst. Die vorhandenen Daten lassen Aussagen zur regionalen Verteilung der Fördermaßnahme zu, allerdings nur für ausländische Kinder. Entsprechende Daten über Aussiedlerkinder fehlen. Der RH hat die regionale Bedarfsdeckung für ausländische Kinder untersucht und dazu die Ausländerzahlen des Statistischen Landesamts zu den an HSL-Maßnahmen teilnehmenden Kindern ausländischer Herkunft in Beziehung gesetzt. Das Ergebnis ist in Übersicht 2 dargestellt.

31 % der ausländischen Kinder der entsprechenden Jahrgänge wurden von HSL-Maßnahmen erreicht. Zwischen dem württembergischen und dem badischen Landesteil besteht ein deutliches Gefälle. Der Unterschied ist im vorschulischen Bereich besonders groß: im württembergischen Landesteil wurden 45 % der ausländischen Kinder erreicht, im badischen Landesteil nur 17 %. Auch zwischen den Regierungsbezirken und den Kreisen bestehen z. T. deutliche Unterschiede.
Bei einer Förderung durch Zuwendungen auf Antrag ist ein Einfluss des Zuwendungsgebers auf die regionale Verteilung der Mittel und die Bedarfsdeckung kaum möglich. Dies wird aus dem selben Grund auch für die von der Landesstiftung geplante Förderung gelten, falls sie ebenfalls Antragstellern Zuschüsse gewährt. Wie sich die beabsichtigte Förderung der Landesstiftung auswirken wird, wird vom RH nicht ermittelt werden können, da ihm insoweit ein Prüfungsrecht nicht eingeräumt ist.
3.2 Inhalte der Fördermaßnahme
Bei Maßnahmen für Kinder im Vorschulalter steht die altersentsprechende Sprachförderung im Mittelpunkt. Bei Schülern umfasst die Fördermaßnahme Hausaufgaben-, Sprach- und Lernhilfen und regelmäßig eine soziale Betreuung. Die Förderrichtlinien legen keine Gewichtung der einzelnen Komponenten fest. Nach den Feststellungen des RH steht bei Fördermaßnahmen für Schüler die Hausaufgaben- und Lernhilfe im Vordergrund, Sprachhilfe wird regelmäßig nur mittelbar über die Hausaufgaben- und Lernhilfe geleistet. Etwas anderes gilt nur beim sog. Denkendorfer Modell, bei dem auch bei Schülern die Sprachförderung im Vordergrund steht. Das Denkendorfer Modell bietet auch Unterstützung für die betreuenden Kräfte an, die sehr gefragt ist. Die betreuenden Kräfte werden in Kursen für ihre Aufgabe aus- und fortgebildet, und die Gruppen werden vor Ort in pädagogischen Fragen von einer Fachkraft laufend beraten. Die regionale Verbreitung des Denkendorfer Modells zeigt Übersicht 3.

Die gezielte und durch Fortbildungsangebote intensivierte Sprachförderung des Denkendorfer Modells beschränkt sich praktisch auf den württembergischen Landesteil.
4 Förderung durch Kommunen und durch freie Träger
Die vom Land geförderten HSL-Maßnahmen erhalten regelmäßig auch Gelder von den Kommunen, sei es, dass sie von den Kommunen selbst getragen werden, sei es, dass freie Träger eine zusätzliche kommunale Förderung erhalten. Das Verhältnis von Landesförderung zu kommunaler Förderung in den geprüften Fällen ist in Übersicht 4 dargestellt.

Die Stadt Stuttgart nahm für Kinder im vorschulischen Alter an der Fördermaßnahme HSL bis einschließlich 2001 nicht teil. Sie stellte den städtischen Einrichtungen und freien Trägern nach einem Gemeinderatsbeschluss aus dem Jahr 1999 jährlich 250.000 € im Wesentlichen für zusätzliches Personal zur „Sprachförderung im Rahmen der Qualitätsoffensive“ zur Verfügung. Nach den Stuttgarter Leitlinien zur Sprachentwicklung und Sprachförderung vom Oktober 2002 ist das Ziel eine ganzheitliche Sprachförderung, die u. a. auch eine stärkere Zusammenarbeit mit den Eltern der Kinder vorsieht.
Empfänger der Zuschüsse sind Kommunen und freie Träger. Im Jahr 2000 wurden die Zuschüsse des Landes in den geprüften Fällen zu 43 % an kommunale Träger und zu 57 % an freie Träger vergeben. Eine stichprobenweise Auswertung hat ergeben, dass die Kosten der freien Träger zu 87 % durch die Zuschüsse des Landes und der Kommunen gedeckt wurden, sodass die freien Träger bei den von ihnen durchgeführten Maßnahmen im Durchschnitt nur 13 % der Kosten selbst getragen haben. Die Kommunen leisten einen erheblichen Förderbeitrag, der im vorschulischen Bereich mehr als doppelt so hoch wie das Fördervolumen des Landes ist (s. Übersicht 4).
Die Träger setzen im vorschulischen Bereich stärker als im schulischen Bereich Fachkräfte ein. Soweit Informationen dazu vorlagen, hat der RH die Höhe der Stundensätze der Betreuungspersonen ausgewertet, das Ergebnis ist in Übersicht 5 dargestellt.

In Anbetracht des starken finanziellen Engagements der Kommunen im vorschulischen Bereich und der teilweise unterschiedlichen Förderansätze sollte ein Ausbau der Sprachförderung im vorschulischen Bereich nur in enger Abstimmung mit den Kommunen geplant und vorgenommen werden.
5 Kostenvergleich zwischen den staatlichen Fördermaßnahmen
Der RH hat für die staatlichen Fördermaßnahmen den Förderaufwand je Teilnehmer und je Förderstunde erhoben. Er ist in Übersicht 6 dargestellt.

Bei der HSL-Förderung entfallen derzeit auf Kinder im vorschulischen Alter durchschnittlich 50 € je Jahr. Im Vergleich zu anderen Förderungen ist dies nach heutigem Stand der geringste Betrag. Ein Betrag von 50 € je Jahr und Kind entspricht bei 35 Förderwochen je Jahr einem wöchentlichen Förderumfang von rd. 1,6 Stunden. Fachkräfte von Trägern, bei denen relativ gute Förderbedingungen bestehen (überdurchschnittlich hohe Quote erreichter ausländischer Kinder, überdurchschnittlich hohe Zahl der Förderstunden je Kind, ausschließlicher Einsatz von Fachkräften), haben auf Befragen die Meinung geäußert, dass die wöchentlichen Förderstunden je Kind erhöht werden sollten.
6 Förderverfahren
Bei der gegenwärtigen HSL-Förderung ist eine Reduzierung des Verwaltungsaufwands dadurch möglich, dass die Förderung von ausländischen und Aussiedlerkindern zusammen gefasst wird. Bisher bestehen separate identische Förderrichtlinien, aber getrennte Haushaltsansätze. Das SM weist darauf hin, eine Zusammenfassung sei bisher aus politischen Gründen nicht möglich gewesen.
Nach den Bestimmungen im Bewilligungsbescheid ist bei Rückforderungen die Zuwendung nur zurückzuzahlen, soweit der Rückforderungsbetrag 5 % der Zuwendung oder 256 € überschreitet. Diese Regelung wirkt wie ein Freibetrag. Er sollte durch eine Freigrenze ersetzt werden, bei deren Überschreitung der volle Rückforderungsbetrag zurückzuzahlen ist. Der RH hatte dies dem SM bereits 1999 vorgeschlagen. Die Summe der Rückforderungen wäre bei einer Freigrenze an Stelle eines Freibetrages im Jahr 2000 um rd. 102.000 € höher gewesen. Das SM beabsichtigt, den Vorschlag des RH im Rahmen der vorgesehenen Neuregelung des Förderverfahrens umzusetzen.
7 Bewertung der vorschulischen Sprachförderung
Von den drei staatlichen Fördermaßnahmen erstreckt sich nur die HSL-Förderung auch auf den vorschulischen Bereich. Im Jahr 2000 entfielen nur 0,9 Mio. € von insgesamt 42 Mio. € staatlicher Fördermittel auf dessen Förderung. Hinzu treten kommunale Mittel von hochgerechnet rd. 2 Mio. €. Gefördert wurden damit 18.777 Kinder aus 3 Altersjahrgängen. Je Jahrgang wurden 6.259 Kinder oder - bezogen auf den gesamten Jahrgang mit rd. 115.000 Personen - 5,4 % aller deutschen und ausländischen Kinder erreicht. Die kommunale und staatliche Förderung je Altersjahrgang betrug zusammen rd. 1 Mio. €. Eine Ausdehnung der bisherigen Förderung auf rd. 25 % aller Kinder eines Jahrgangs würde eine Steigerung der Fördermittel um 3,6 Mio. € je Jahrgang bedeuten. Bei der Entwicklung der Sprachförderung im Vorschulalter ist eine enge Abstimmung mit den Kommunen erforderlich. Mit einer Ausdehnung einer Förderung durch Zuwendungen auf Antrag wird eine gleichmäßige Bedarfsdeckung nicht zu erreichen sein. Würde eine Bedarfsdeckung im vorschulischen Bereich erreicht, so müsste eine Entlastung im schulischen Bereich die Folge sein. Mit einer Intensivierung der Förderung im vorschulischen Bereich muss der Förderbedarf wegen Sprachdefiziten im schulischen Bereich zurück gehen. Mit entsprechender zeitlicher Verzögerung können dann dort zusätzliche Lehrerdeputate abgebaut und frei werdende Mittel in den vorschulischen Bereich verlagert werden.
8 Stellungnahme des Ministeriums
Das SM, das seine Stellungnahme mit dem KM abgestimmt hat, weist darauf hin, es sei Aufgabe einer im Juli 2002 unter Leitung des KM eingerichteten interministeriellen Arbeitsgruppe (IMA) „Sprachförderung im vorschulischen Bereich“, ein Sprachförderkonzept zu entwickeln, das flächendeckend umgesetzt werden könne. Dies sei ohne die aktive Mitwirkung der kommunalen Ebene nicht möglich, weshalb die kommunalen Landesverbände auch in der IMA vertreten seien. Die Prüfungsergebnisse des RH könnten dabei berücksichtigt werden. Es sei aber derzeit noch zu früh, Details des neuen vorschulischen Sprachförderkonzepts zu benennen.
Die HSL-Maßnahmen sollen nach Auffassung des SM auch im Rahmen eines künftigen Sprachförderkonzepts im Vorschulbereich eine wichtige Säule für die Förderung der Integration der Kinder von Migranten bleiben. Sie sollen im Rahmen der haushaltsrechtlichen Möglichkeiten ausgebaut werden. Angestrebt sei dabei, der bisher regional ungleichen Versorgung entgegenzuwirken.
Ein möglicher Abbau von Lehrerdeputaten setzt nach Auffassung der beiden Ministerien eine eingehende Analyse voraus, inwieweit die Intensivierung der vorschulischen Sprachförderung zu einem Rückgang an schulischem Förderbedarf führen wird und ob dadurch Lehrerdeputate abgebaut werden können.
Anhänge
Einzelplan 10: Umweltministerium
Die Förderung des Baus von Busbetriebshöfen erfolgte bisher z. T. ohne zeitnahe und kritische Prüfung, mit der Folge, dass vor allem bei kostenintensiven Vorhaben der Förderung zu hohe Kosten zu Grunde gelegt wurden. Eine Anpassung der Förderrichtlinien und die Einführung von Pauschalen und Höchstbeträgen könnten die Zuwendungsverfahren vereinfachen und hätten Zuschussreduzierungen zur Folge. Außerdem sollten die Zuwendungen nur an tatsächlich erbrachten Kilometerleistungen im öffentlichen Buslinienverkehr ausgerichtet werden.
1 Vorbemerkung
Mit der Förderung des Baus von Omnibusbetriebshöfen und Werkstätten will das Land den Verkehrsbetrieben notwendige moderne Strukturen und damit wirtschaftlichere Betriebsformen ermöglichen. Die Attraktivität des öffentlichen Buslinienverkehrs soll dadurch erhöht werden.
Im Rahmen der Förderung des Öffentlichen Personennahverkehrs (ÖPNV) können nach dem Gemeindeverkehrsfinanzierungsgesetz (GVFG) Betriebshöfe und zentrale Werkstätten mit bis zu 85 % der Investitionen bezuschusst werden. Die förderfähigen Ausgaben werden in den Verwaltungsvorschriften zum GVFG (VwV-GVFG) für den ÖPNV und in den ergänzenden Richtlinien des IM (Betriebshofrichtlinien) bestimmt.
Der Busbereich ist heterogen, da er sowohl kleine private Busunternehmen als auch große kommunale Verkehrsbetriebe umfasst. Von daher ergibt sich hinsichtlich der Funktion der Betriebshöfe und der Größenordnung der Zuwendungen eine erhebliche Bandbreite.
So haben kleinere Betriebshöfe der privaten Unternehmen in erster Linie die Aufgabe einer Servicestation für Wartung und Unterhaltung der Fahrzeuge; bei ihnen liegen die zuwendungsfähigen Ausgaben meist zwischen einer und zwei Mio. €. In den Betriebshöfen kommunaler Betriebe hingegen werden in der Regel sämtliche Wartungs- und Reparaturarbeiten für eine umfangreiche Busflotte von oftmals weit über 100 Einheiten erledigt; die zuwendungsfähigen Ausgaben können entsprechend zwischen 30 und 50 Mio. € betragen.
2 Ausgangspunkt und Ziele der Prüfung
Der RH hat gemeinsam mit den StRPÄ 18 Vorhaben zur Förderung des Baus von Omnibusbetriebshöfen mit zuwendungsfähigen Ausgaben von insgesamt rd. 160 Mio. € geprüft. Dabei handelte es sich sowohl um Neu- und Ausbaumaßnahmen von Omnibusbetriebshöfen, kombinierte Wartungsanlagen für Omnibusse und Schienenfahrzeuge als auch um die zugehörigen Abstelleinrichtungen der Fahrzeuge. Für vier finanziell umfangreiche Vorhaben kommunaler Verkehrsunternehmen war das UVM Bewilligungsstelle, für die übrigen waren es die Regierungspräsidien.
Die Untersuchung sollte Aufschluss über die Vorgehensweise der Bewilligungsstellen bei der Antragsprüfung der Vorhaben und der Abwicklung von Zuwendungsanträgen geben. Ziel war es, ein transparentes Zuwendungsverfahren und einen wirtschaftlichen Mitteleinsatz zu erreichen.
3 Feststellungen und Empfehlungen
3.1 Verwaltungsvorschriften zum Gemeindeverkehrsfinanzierungsgesetz und Betriebshofrichtlinien
Die VwV-GVFG und die Betriebshofrichtlinien wurden 1986 eingeführt und werden seither bei der Förderung von Omnibusbetriebshöfen von den Bewilligungsstellen angewandt. Allerdings haben sich die Rahmenbedingungen für die Förderung z. T. erheblich verändert.
- Die Technik in den Bussen hat sich gewandelt und enthält heute mehr Elektronik und computergesteuerte Bestandteile; die Werkstätten sind hierfür auszustatten.
- Die Arbeitsabläufe an den technisch weiter entwickelten Bussen haben sich geändert; die Bauweise der Werkstätten (leichte Zugänglichkeit der Bauteile) muss dem angepasst werden.
- Die Bestimmungen hinsichtlich der Dimensionierung der Sozial- und Büroräume stimmen nicht mehr mit der aktuellen Verordnung über Arbeitsstätten überein.
In Folge der veralteten und nicht mehr zeitgemäßen Betriebshofrichtlinien ergeben sich Verzerrungen und Widersprüchlichkeiten, die dem Förderzweck nicht dienlich sind. Weitere Aspekte stellen die Komplexität der Betriebshofrichtlinie und ihre Verästelungen in manchmal für die Zuwendungsprüfung zeitaufwändige Details (z. B. Wirtschaftlichkeitsberechnung für einen Bremsprüfstand) dar. Hingegen finden sich für die Bewilligungsbehörden kaum Anhaltspunkte zur Beurteilung der Standortwahl des Omnibusbetriebshofes oder dessen Dringlichkeit und Notwendigkeit. Auch konnte der unterschiedlichen Zuordnung von Buseinheiten zum Werkstattbereich (Zentralwerkstatt) und dem eigentlichen Busbetriebshof (der u. U. einer zentralen Werkstatt zugeordnet ist) bisher nicht Rechnung getragen werden.
Vor diesem Hintergrund sieht der RH die Notwendigkeit für eine Überarbeitung der VwV-GVFG und der Betriebshofrichtlinien.
3.2 Durchführung der Antragsprüfung
Der Förderentscheidung einer Bewilligungsstelle muss stets eine Antragsprüfung vorausgehen, die einerseits die Überprüfung der angestrebten Förderziele und andererseits eine Prüfung in fachlicher und wirtschaftlicher Hinsicht umfassen sollte. Eine gründliche Antragsprüfung unterstützt das gesamte weitere Zuwendungsverfahren, zumal sich Mängel und Versäumnisse bei der Antragsprüfung bis hin zum letzten Schritt des Zuwendungsverfahrens, der Schlussverwendungsprüfung, belastend, d. h. mit deutlich höherem Arbeitsaufwand, auswirken können.
Schwerpunkte der Antragsprüfung bilden ferner die Betrachtung des vorgelegten Finanzierungsplans und die Feststellung der zuwendungsfähigen Ausgaben. Hier hat die Bewilligungsbehörde ausreichende Transparenz zu verlangen und auf zu Grunde gelegte abgeschlossene Rechtsverfahren zu achten. Ansätze, die sie nicht nachvollziehen kann, sollten im Hinblick auf eine allseitige Planungs- und Finanzierungssicherheit beim Zuwendungsnehmer hinterfragt werden.
Im Schaubild wird das Verfahren zur Abfolge der einzelnen Schritte des Zuwendungsverfahrens nach der VwV-GVFG ÖPNV dargelegt.

Im Rahmen der Prüfung wurde festgestellt, dass sich insbesondere Maßnahmen, für die das UVM Bewilligungsstelle ist, teilweise 10 Jahre und länger hinzogen und -ziehen. In engem Zusammenhang mit der z. T. extrem langen Verfahrensdauer steht, dass das UVM Probleme bei der Prüfung der Förderanträge hatte. Einerseits wurden die vorgeschriebenen Wirtschaftlichkeitsprüfungen so gut wie nicht durchgeführt, andererseits erfolgte die fachtechnische Prüfung selten vollständig, abschließend und zeitnah.
Die Bewilligungsstelle UVM bediente sich deshalb vor allem der Instrumente der Unbedenklichkeitsbescheinigungen (UB) und vorläufiger Zuwendungsbescheide, um die Abwicklung der Projekte nicht zu gefährden. Bei allen abgeschlossenen Vorhaben wurden auf dieser Grundlage auch Auszahlungen bis zu den jeweils festgesetzten zuwendungsfähigen Ausgaben geleistet.
Folgende Beispiele illustrieren diese Vorgehensweise:
- In einem Fall stellte der Verkehrsbetrieb A am 15.07.1999 einen Förderantrag mit folgenden Basisdaten:
- zuwendungsfähige Ausgaben in Höhe von rd. 52,6 Mio. €,
- Bau eines Betriebshofes und einer Abstellhalle für 72 Straßenbahnfahrzeuge,
- Ausbau von Zulaufstrecken und
- Umbau des bestehenden Straßenbahnbetriebshofes für Omnibuswartung und Abstellung der Omnibusse.
Am 08.03.2000 wurde ein neuer Förderantrag mit zuwendungsfähigen Ausgaben von 57,3 Mio. € eingereicht. Seit März 2000 wird dieser Förderantrag geprüft; ein abschließender Prüfvermerk liegt noch nicht vor.
Der Antragsteller erbat am 19.10.2000 für Teilmaßnahmen, wie Gebäudeabriss usw., eine UB; Arbeitsbeginn sollte Ende November 2000 sein. Nach Vorprüfung wurde die beantragte UB am 16.05.2001 erteilt. Die mit der UB beantragten Teilmaßnahmen waren bis Anfang 2003 jedoch noch nicht ausgeführt.
- In einem anderen Förderverfahren stellte das Verkehrsunternehmen B am 27.07.1994 einen Förderantrag für die zweite Baustufe einer Gesamtkonzeption
- mit zuwendungsfähigen Ausgaben von rd. 32,7 Mio. €,
- für den Bau eines Busbetriebshofes mit Werkstatt für 326 Buseinheiten und
- für den Bau einer offenen Busabstellanlage für 210 Buseinheiten.
In einem ersten Prüfvermerk vom 24.11.1994 für die Teilmaßnahmen Grunderwerb und Abstellhalle wurden vorläufige zuwendungsfähige Ausgaben von rd. 13,6 Mio. € festgesetzt und am 01.12.1994 ein diesbezüglicher Zuwendungsbescheid erteilt. Der Antragsteller beantragte dann am 21.07.1995 eine UB für Teile, die der oben genannte Bescheid nicht abdeckte (Werkstatt). Diese wurde am 10.08.1995 erteilt; die Förderhöhe sollte nach abschließender fachtechnischer Prüfung insgesamt festgesetzt werden.
Zeitnah fand diese Prüfung jedoch nicht statt:
- Das UVM verwies am 10.07.1996 - zwei Jahre nach Antragstellung - auf einen Prüfungsstau und erließ am 19.07.1996 einen Förderbescheid, in dem die förderfähigen Ausgaben ohne abschließende fachtechnische Prüfung auf rd. 22,7 Mio. € (80 % der beantragten zuwendungsfähigen Ausgaben) festgesetzt wurden. Fördermittel in Höhe von rd. 19,3 Mio. € wurden bis 1997 ausbezahlt. Im Jahr 1997 ging die Anlage in Betrieb.
- Mit der Prüfung des Antrags von 1994 wurde erst begonnen, nachdem das Unternehmen am 25.01.1999 die Auszahlung von Fördermitteln über die festgesetzten 80 % hinaus beantragte. Die Antragsprüfung wurde mit Vermerk vom 08.04.2002 abgeschlossen. Für die Maßnahme wurde aber bis heute kein abschließender Bescheid über die zuwendungsfähigen Gesamtausgaben (von rd. 28,4 Mio. €) erteilt.
- In einem weiteren Verfahren stellte das Verkehrsunternehmen C am 28.02.1989 einen Förderantrag
- mit zuwendungsfähigen Gesamtausgaben in Höhe von rd. 19,4 Mio. €,
- für den Bau eines Bus- und Straßenbahnbetriebshofes und Abstellanlagen für 120,5 Buseinheiten sowie
- für den Bau eines Betriebsdienstgebäudes.
In einem ersten Prüfvermerk vom 31.10.1989 wurden zuwendungsfähige Ausgaben in Höhe von rd. 15,6 Mio. € festgestellt; am 17.05.1991 wurde eine UB erteilt, ein Zuwendungsbescheid erfolgte nicht, Auszahlungen der Fördergelder fanden trotzdem statt. Über die Jahre ergaben sich in stetiger Folge immer wieder Neuerungen:
- Das Verkehrsunternehmen stellte am 15.12.1992 einen 1. Änderungsantrag mit zuwendungsfähigen Ausgaben von rd. 23,3 Mio. €; ein weiterer Änderungsantrag mit zuwendungsfähigen Ausgaben von nun rd. 35,1 Mio. € wurde am 15.03.1995 eingereicht.
- Ein vorläufiger Bescheid des UVM wurde am 19.03.1996 mit zuwendungsfähigen Ausgaben von rd. 25,5 Mio. € erlassen; eine abschließende Antragsprüfung erfolgte jedoch nicht.
- Das Unternehmen stellte am 01.09.1998 einen 3. Änderungsantrag mit zuwendungsfähigen Ausgaben, die inzwischen bei rd. 38,7 Mio. € lagen. Dieser wurde von der Bewilligungsstelle überprüft; die zuwendungsfähigen Ausgaben wurden mit Vermerk vom 25.10.2000 auf rd. 31,2 Mio. € festgesetzt.
- Ein abschließender Bescheid wurde nicht erlassen. Auszahlungen erfolgten auf der Basis der vorläufig festgesetzten zuwendungsfähigen Ausgaben von rd. 25,5 Mio. € des Bescheids vom 19.03.1996.
- Die Anlage ging 2002 in Betrieb.
Zusammenfassend lässt sich Folgendes feststellen:
- Wesentliche Teile der Prüfung der Anträge wurden nicht mit der gebotenen Gründlichkeit und Vollständigkeit durchgeführt.
- Wie in den Einzelfällen beschrieben, hat das UVM die Ausnahmemöglichkeit einer UB zur Regel gemacht. Eine Zulassung des Baubeginns vor der Bewilligung der Zuwendung kann die Bewilligungsstelle im Einzelfall jedoch nur dann gestatten, wenn das Vorhaben nicht rechtzeitig vorausschaubar ist und aus sachlichen oder wirtschaftlichen Gründen keinen Aufschub duldet.
- Die zuwendungsfähigen Gesamtausgaben wurden in einigen Fällen nicht festgesetzt, sondern pauschal und ohne Prüfung vorläufig auf 80 % der vom Antragsteller ermittelten förderfähigen Gesamtausgaben festgelegt. Die Förderfähigkeit eines Vorhabens sowie die damit verbundenen zuwendungsfähigen Ausgaben können aber nur im Zuge einer umfassenden Antragsprüfung festgestellt werden, zumal im Nachhinein eingetretene Veränderungen die Wirtschaftlichkeit und damit auch die Förderfähigkeit einer Maßnahme in Frage stellen können. Dies gilt insbesondere dann, wenn im Laufe des Förderverfahrens mehrere Änderungsanträge eingereicht werden. In einem Falle (hier wurde die ursprüngliche Konzeption vollständig geändert) hätte dies z. B. zur Aufhebung des (vorläufigen) Bescheides führen müssen.
- Bewilligungsbescheide wurden z. T. vorläufig und ohne umfassende Prüfung erteilt. Die eigentlichen Antragsprüfungen wurden zeitlich in den letzten Teil des Zuwendungsverfahrens, die Schlussverwendungsnachweisprüfung, verschoben. Diese Vorgehensweise gibt den Zuwendungsempfängern keine Sicherheit über die Höhe der Zuwendungen und wirft Fragen nach der Gesamtfinanzierung sowie der nicht stringent betrachteten Wirtschaftlichkeit eines Vorhabens auf.
Vor diesem Hintergrund empfiehlt der RH im Vorfeld der Förderentscheidungen konsequent die Prüfung
- des Bedarfs und der Dringlichkeit der Maßnahme,
- der Wirtschaftlichkeit der Maßnahme; die Stellungnahme des Verbands öffentlicher Verkehrsbetriebe kann hier Hinweise liefern, ersetzt die Prüfung der Bewilligungsstelle aber nicht,
- der Finanzierung der Gesamtmaßnahme sowie
- der fachtechnischen Belange; diese Prüfung sollte in jedem Fall abgeschlossen und die zuwendungsfähigen Ausgaben festgelegt werden.
Die Bewilligungsstellen sollten nur in begründeten Ausnahmefällen von dem Instrument der UB Gebrauch machen. Weiterhin sollten Änderungsanträge mit der gleichen Sorgfalt geprüft werden wie der Hauptantrag.
3.3 Vereinfachung der Antragsprüfung
Die Prüfung zeigte, dass die Abwicklung von GVFG-Vorhaben für den Bau von Betriebshöfen, Werkstätten und Abstellanlagen aufwändig und langwierig ist. Dies trifft im besonderen Maße auf große Vorhaben zu, die in der Regel durch das UVM bearbeitet werden. Dabei bereitete vor allem die fachtechnische Prüfung der baufachlichen Standards sowie der verkehrstechnischen Gesichtspunkte Schwierigkeiten.
Als problematisch erwiesen sich zudem Überdimensionierungen der Wartungskapazitäten, gemessen in Fläche je Buseinheit bzw. umbauter Raum je Buseinheit, der Wartungs- und Abstellanlage sowie deutliche Abweichungen der Gesamtausgaben je Buseinheit. So zeigt die Übersicht erhebliche Unterschiede zwischen den Vorhaben; hierbei wurden die Angaben zu den Grunderwerbskosten lediglich nachrichtlich aufgenommen, weil die Kosten des Grunderwerbs kaum beeinflussbar sind und je nach Standort stark abweichen können.

Die Streuung gilt sowohl für einzelne Kostenarten als auch für die Gesamtausgaben ohne Grunderwerb je Buseinheit. Auffällig ist, dass beispielsweise das Vorhaben 1 um mehr als 70.000 € je Buseinheit über den Ausgaben des Vorhabens 2 liegt, obgleich es sich in beiden Fällen um Verkehrsunternehmen mit einer größeren Busflotte handelt. Bei den kleineren Vorhaben gibt es ebenfalls erhebliche Abweichungen.
Zusammenhänge zwischen den Ausgaben je Buseinheit und der Anzahl der zu wartenden/abzustellenden Buseinheiten lassen sich aus der Übersicht nicht ableiten. Eine Ausnahme ist das Vorhaben 12, das ein Beispiel für optimierte und gebündelte Werkstattarbeiten in einer gemeinsamen Anlage von drei ansonsten unabhängigen Verkehrsunternehmen darstellt.
Auch bei Vergleichen auf der Basis von m² Fläche und m³ umbauter Raum sind ähnliche Ergebnisse mit Spannbreiten zwischen günstigstem und teuerstem Vorhaben vom bis zum 7,5fachen erkennbar. Bei Abstellhallen wird beispielsweise deutlich, dass Stand-by-Anlagen (Versorgungssysteme, über die Fahrzeuge vorgeheizt im fahrbereiten Zustand gehalten werden) und teiloffene Bauweisen erheblich kostengünstiger erstellt werden können als Anlagen in konventioneller Bauweise. Nach Angaben der betroffenen Verkehrsunternehmen traten durch diese günstigeren Bauweisen keine Qualitätsabstriche bei den Verkehrsangeboten auf.
Insgesamt hat sich gezeigt, dass die Bewilligungsstellen die z. T. aufwändige Errichtung von Wartungsanlagen (Werkstätten und Abstellanlagen) nicht in Frage stellten und ein wirtschaftliches Bauen allenfalls ansatzweise verfolgten.
Die Anforderungen an die Funktionalität in den einzelnen Busbetriebshöfen mögen zwar unterschiedlich sein; dennoch sieht der RH in der Entwicklung von Kennzahlen als Basis für die Prüfung von Zuwendungsanträgen und in der Entwicklung von Pauschalen Instrumente, die notwendigen Entscheidungsprozesse zu beschleunigen und die Bearbeitung der Anträge mit weniger Personal zu ermöglichen. Mit pauschalen Bemessungsgrundlagen könnten die arbeitsintensiven und sich teilweise über Jahre hinziehenden Antragsprüfungen wesentlich vereinfacht werden. Auf entsprechende Erfahrungen im Bereich des Staatlichen Hochbaus wird verwiesen.
Dies sieht im Übrigen auch die Allgemeine Verwaltungsvorschrift zu § 44 LHO vor. Danach sollen zuwendungsfähige Ausgaben nach festen Beträgen bemessen werden, wenn sie nur mit erheblichem Aufwand genau belegt, festgestellt oder geprüft werden können, jedoch eine sachgerechte Pauschalierung möglich ist oder über die voraussichtlichen Ausgaben von der Landesverwaltung anerkannte Richtwerte vorliegen oder solche Richtwerte festgelegt werden können. Eine solche Vorgehensweise würde auch bei den Antragstellern zu Arbeitserleichterungen führen und frühzeitig Klarheit über die Höhe der Zuwendungen schaffen.
In der Einführung pauschaler Bemessungsgrundlagen sieht der RH insbesondere folgende Vorteile:
- Mit deren Fortschreiben können auch aktuelle Ausgabeerhöhungen und notwendige technische Weiterentwicklungen im Förderverfahren berücksichtigt und in die Richtwerte und Höchstbeträge aufgenommen werden.
- Ausgabevergleiche mit anderen Vorhaben oder Teilen von Vorhaben werden möglich („Benchmarking“).
- Die Prüfungen der Maßnahmen werden erleichtert; zudem sind zeitnah Entscheidungen über die Förderfähigkeit der Maßnahmen und die zuwendungsfähigen Ausgaben möglich.
- Die Bewilligungsstelle müsste sich nur dann intensiver mit den Anträgen befassen, wenn Höchst- und Richtwerte überschritten werden. Eine solche Überschreitung sollte als Hinweis gewertet werden, dass der Antragsteller ggf. nicht die wirtschaftlichste Lösung gewählt hat.
3.4 Ermittlung des ÖPNV-Anteils
Die Betriebshofrichtlinien schreiben vor, dass nur Omnibusbetriebshöfe gefördert werden, wenn die dort abzustellenden bzw. instand zu haltenden Fahrzeuge im ÖPNV eingesetzt sind und der Träger des Vorhabens in der Regel selbst ÖPNV betreibt.
Der Anteil der zuwendungsfähigen Ausgaben wird bestimmt nach dem Verhältnis der im Kalenderjahr vor der Antragstellung überwiegend (d. h. über 50 %) im ÖPNV eingesetzten Fahrzeuge zu der Gesamtzahl der Fahrzeuge, für die der Omnibusbetriebshof zur Verfügung stehen soll. Bei der Ermittlung des ÖPNV-Anteils ist die Zulassungszeit der einzelnen Kraftfahrzeuge zu berücksichtigen. Dabei ist für das der Antragstellung vorangegangene Jahr das Verhältnis zwischen der Zahl der Monate, in denen die Fahrzeuge von der Kraftfahrzeugsteuer befreit sind, zu der Gesamtzulassungszeit aller Fahrzeuge zu bilden. Kraftfahrzeugsteuerbefreiung erhält ein Busunternehmen für die Busse, deren Fahrleistungen überwiegend im ÖPNV erbracht werden.
Dies hat zur Folge, dass Unternehmen, die ihre Busse lediglich zu knapp über 50 % im ÖPNV einsetzen, in der Förderung mit solchen Unternehmen gleichgestellt werden, die ihre Busse ausschließlich für den ÖPNV verwenden. Die Förderung beschränkt sich in diesen Fällen nicht ausschließlich auf im ÖPNV erbrachte Leistungen; sie kann daher auch zu erheblichen Wettbewerbsverzerrungen im Busgewerbe führen.
Zuwendungsempfänger können den ÖPNV-Anteil und damit die Förderung des Betriebshofes auch dadurch beeinflussen, dass sie Busse und deren Nutzungsdauer für den ÖPNV selbst in die Kraftfahrzeug-Steuerbefreiungsbescheinigung eintragen. Das Finanzamt bestätigt lediglich die Kraftfahrzeugsteuerbefreiung ohne Zuordnung der Busse zu deren Standort und Betriebshof. In der Folge können u. a. bei parallel verlaufenden Anträgen eines Unternehmens Mehrfachnennungen und dadurch unzureichende Antragsprüfungen auftreten.
So stellte ein StRPA fest, dass Zuwendungsempfänger durch entsprechende Eintragungen für die Kraftfahrzeugsteuerbefreiung einen ÖPNV-Anteil von 100 % erreichen können, obgleich die Unternehmen auch im Reiseverkehr tätig sind. Ein Unternehmen besitzt z. B. 26 Busse, von denen 21,5 im ÖPNV eingesetzt werden. Trotzdem ermittelte die Bewilligungsstelle einen ÖPNV-Anteil von 100 %.
Ein anderes Unternehmen hatte durch Expansion Busbetriebshöfe und Unterstellhallen miterworben, sodass zum Zeitpunkt der Antragstellung ein für die Bewilligungsstelle kaum mehr überschaubares Geflecht von Abstell- und Wartungsanlagen sowie Omnibussen entstand, die sowohl im ÖPNV als auch im Reiseverkehr zum Einsatz kamen.
Um die dargelegten Wettbewerbsverzerrungen zu vermeiden und um einen Mitteleinsatz zu erreichen, der sich an den Vorgaben des GVFG orientiert, schlägt der RH folgende Vorgehensweise vor:
- Der ÖPNV-Anteil ist fahrleistungsbezogen an Hand der Fahrtenbücher zu ermitteln; diese Daten sind bei den Unternehmen bereits vorhanden. Zudem wird dadurch der Bewilligungsstelle die Überwachung der 25jährigen Zweckbindung des Förderobjekts erleichtert.
- Die Busse, für die der Zuwendungsempfänger den förderfähigen Einsatz im ÖPNV nachweist, sind gegenüber der Bewilligungsstelle für Förderzwecke eindeutig Betriebshöfen als feste Standorte zuzuweisen; ggf. sind die Busse auch entsprechend der Buslinienkonzessionen auf Linien zu verteilen.
- Die Bewilligungsstellen müssen in jedem Fall die Zahl der insgesamt bei einem Zuwendungsempfänger verfügbaren Stell- und Wartungsplätze mit der nach ÖPNV-Anteil und Reisebusgeschäft vorhandenen Zahl der Busse vergleichen, um „Überkapazitäten“ zu erkennen.
4 Stellungnahme des Ministeriums
Das UVM teilt die Auffassung des RH, dass sich die technischen Gegebenheiten an den Fahrzeugen und die darauf abgestimmten Instandhaltungsverfahren so durchgreifend geändert haben, dass eine Überarbeitung der Betriebshofrichtlinien geboten ist. Es habe unter Mitwirkung der Regierungspräsidien und der Nahverkehrsgesellschaft Baden-Württemberg mbH (NVBW) bereits Grundzüge einer neuen Betriebshofrichtlinie erarbeitet. Dabei sei vorgesehen, durch pauschale Förderobergrenzen die Verfahren zu vereinfachen. Bei den Grunderwerbskosten könne wegen regionaler Unterschiede keine Pauschalierung eingeführt werden. Die fahrleistungsbezogene Ermittlung des ÖPNV-Anteils wird vom UVM für sachgerecht gehalten und soll ebenfalls in die neuen Richtlinien aufgenommen werden.
Zu den Aufgaben im Bewilligungsverfahren merkt das UVM an, dass durch die VwV des FM vom 09.12.1997 die baufachliche Prüfung des Zuschussantrages durch die OFDen bei Fördermaßnahmen mit Zuwendungswertgrenzen bis zu 1,5 Mio. € mit Wirkung vom 01.01.1998 abgeschafft worden sei. Es sei auch nicht beabsichtigt gewesen, dass Bewilligungsstellen diese Aufgaben übernehmen; im Übrigen würde den Regierungspräsidien das fachlich gebildete Personal fehlen. Die Prüfung seitens des Ministeriums erstrecke sich deshalb lediglich auf die Plausibilität der Angaben im Zuschussantrag. Nach Auffassung des UVM könne eine Prüfung in wirtschaftlicher Hinsicht in der Regel nur eine Prüfung der Angemessenheit der Kosten eines geplanten Betriebshofes beinhalten. Es beabsichtige trotzdem, detaillierte Kriterien zu erarbeiten, um feststellen zu können, ob der Bau eines neuen Omnibusbetriebshofes förderwürdig sei.
Bei Maßnahmen, die das UVM selbst bewilligt, wurde eingeräumt, dass wegen personeller Engpässe bei nachgewiesener Dringlichkeit von Vorhaben zunächst UB erteilt und nach Feststellung der grundsätzlichen Förderfähigkeit die zuwendungsfähigen Ausgaben üblicherweise auf 80 % der geltendgemachten Investitionen festgesetzt und entsprechende Zuschüsse bewilligt worden seien. Die NVBW, habe mit ihren Ingenieuren inzwischen einen beträchtlichen Teil der Altanträge abschließend geprüft.
Eine generelle Einführung von Kennzahlen für die Antragsprüfung lehnt das UVM ab, weil die Ermittlung und die Aufteilung der Kosten eines Bauwerkes auf die einzelnen Gewerke einen erheblichen Aufwand verursachen würden. Es beabsichtige, eine Kennzahlenbildung und -prüfung auf Sonderfälle zu beschränken.
5 Schlussbemerkung
Die vorgeschlagenen Anpassungen der Richtlinien und - entgegen der Bedenken des UVM - die Einführung von Richtwerten und Höchstbeträgen ermöglichen nach Auffassung des RH wesentliche Vereinfachungen im Bewilligungsverfahren. Die Bewilligungsstellen werden dadurch in die Lage versetzt, die notwendigen Prüfungen ohne größeren Verwaltungsaufwand durchzuführen. Verfahrensvereinfachungen tragen auch dazu bei, dass die Antragsteller frühzeitig über die Höhe der Förderung informiert sind, sodass ggf. noch Planänderungen durchgeführt werden können. Der RH verkennt in diesem Zusammenhang nicht, dass der Aufbau eines Kennzahlensystems - zumindest für Bauausgaben nach Hauptgruppen - ein längerfristiger Prozess sein wird. Der Aufbau wird jedoch zu einer sparsameren Verwendung der Fördermittel führen und vor allem im Hinblick auf das nach wie vor fehlende Erfolgscontrolling eine wesentliche Unterstützung bieten.
Außerdem können im Zuge der auch vom UVM für sachgerecht gehaltenen Umstellung bei der Festlegung der förderfähigen ÖPNV-Anteile auf die tatsächlich im ÖPNV erbrachten Fahrleistungen im Buslinienverkehr deutliche Einsparungen erzielt werden.
An Hand der dargelegten Empfehlungen können die finanziell nicht unerheblichen Förderungen im GVFG-ÖPNV somit zielgerichteter und wirtschaftlicher eingesetzt werden. Vor allem aber bieten sie sowohl dem Zuwendungsgeber als auch dem Zuwendungsempfänger verstärkte Planungs- und Finanzierungssicherheit.
Anhänge
Das Land verstärkt die Mittel für den Landesstraßenbau seit 1997 durch kreditfinanzierte Sonderprogramme. Planung und Bau von Rad- und Gehwegen erfolgen häufig nicht nach wirtschaftlichen Gesichtspunkten. Zur Verbesserung des Kostenbewusstseins schlägt der Rechnungshof die Einführung von Richtwerten für Bauausgaben vor. Für eine größere Transparenz und zur besseren Steuerung des Mitteleinsatzes wird außerdem die Entwicklung einer Prioritätenliste der Vorhaben empfohlen.
1 Ausgangslage
1.1 Das Land verstärkt seit 1997 die Mittel für den Landesstraßenbau durch kreditfinanzierte Sonderprogramme. Dabei können Maßnahmen mit Bauausgaben von mehr als 1 Mio. € sowohl im Haushalt des originären Landesstraßenbaus als auch im Sonderprogramm veranschlagt werden.
Mit den im Haushalt 2000/2001 enthaltenen Mitteln des Sonderprogramms von rd. 20 Mio. € bzw. rd. 28 Mio. € war die Durchführung von 38 Straßenbaumaßnahmen vorgesehen. Hiervon waren allein für die Erweiterung des Radwegnetzes um rd. 75 km insgesamt rd. 11,5 Mio. € veranschlagt. Im Haushalt 2002/2003 ist ein weiteres Sonderprogramm enthalten, das mit jährlich rd. 51,0 Mio. € ausgestattet ist. Das Programm enthält 156 Vorhaben, wobei die Ausweitung des Radewegnetzes erneut zu den Programmschwerpunkten gehört.
1.2 Der Radverkehr ist in der Regel kein weiträumiger Verkehr, sodass hauptsächlich ein Netz von lokalen und regionalen Hauptverbindungen geschaffen werden soll, das unter Verkehrssicherheitsgesichtspunkten zügig und möglichst umweg- und störungsfrei von den Radfahrern zu befahren ist. Insofern erstrecken sich die Vorhaben auf den Radwegbau entlang von Landesstraßen oder sog. Lückenschlüsse in einem touristisch ausgerichteten überörtlichen Radwegnetz.
1.3 Ausgehend von Anmeldungen der Gemeinden erstellen die Landkreise Radweg-Netzkonzepte, die sie nach eigenen Dringlichkeitsstufen gliedern. Auf der Grundlage dieser Radweg-Netzkonzepte stellt die Straßenbauverwaltung des Landes für diejenigen Radwege, die zur Baulast des Bundes oder des Landes gehören, Vorhabenslisten auf.
Das Land ist gesetzlicher Baulastträger der Radwege, die mit einer Landesstraße entweder auf einem gemeinsamen Straßenkörper oder mit eigenem Straßenkörper angelegt werden, dann aber im Zusammenhang mit einer Landesstraße stehen und im Wesentlichen gleich mit dieser laufen („unselbstständige“ Radwege). Demgegenüber sind die Gemeinden gesetzlicher Baulastträger der Radwege, die nicht Bestandteil einer Landesstraße oder einer anderen öffentlichen Straße sind („selbstständige“ Radwege). In der Regel handelt es sich hier um Radwege von örtlicher Verkehrsbedeutung, deren Gemeingebrauch auf den Verkehr mit Fahrrädern beschränkt ist.
In der Praxis ist es oft zweckmäßig, einen Radweg und einen Wirtschaftsweg als einen gemeinschaftlichen, kombinierten Rad-/Wirtschaftsweg anzulegen. Für die Fälle, in denen ein solcher kombinierter Weg räumlich und funktional mit einer Landesstraße in der Baulast des Landes gekoppelt ist, enthält das Straßengesetz für Baden-Württemberg (Straßengesetz) keine Bestimmung des Baulastträgers. Das Gesetz sieht auch keine gemeinsame Baulast von Land und Gemeinde vor. Es ist daher unumgänglich, dass Land und Gemeinde eine sachgerechte Vereinbarung über die Baulast einschließlich der Kostenlast treffen, die eindeutig auf die Nutzung als Wirtschaftsweg entfällt.
2 Feststellungen und Empfehlungen
In einer gemeinsamen Prüfung von RH und StRPÄ wurden 28 Vorhaben des Radwegbaus teilweise in Kombination mit Gehwegen untersucht. Hiervon wurden elf Maßnahmen außerhalb des Sonderprogramms 2000/2001 aus den Mitteln des originären Landesstraßenbaus finanziert.
Die Prüfung sollte dazu dienen, Einsparpotenziale bei der Planung und Bauausführung von Vorhaben des Rad- und Gehwegbaus zu erkennen.
2.1 Priorisierung der Vorhaben
2.1.1 Die Entscheidung über den Bau eines Radwegs trifft die Straßenbauverwaltung zum einen auf der Grundlage der Empfehlungen für Radverkehrsanlagen (ERA 95). Diese besagen, dass Radwege insbesondere dort anzulegen sind, wo die Verkehrssicherheit eine Trennung des Verkehrs unabdingbar macht. Zum anderen benennen die Richtlinien für die Anlage von Straßen (RAS-Q 1996) in Abhängigkeit von Kfz-Verkehrsstärken Einsatzgrenzen für die Anlage von Radwegen. Erreicht oder überschreitet die zu erwartende Zahl der Radfahrer diese Werte, so sind Radwege zu bauen. Daneben sind Radwege vorzusehen an Straßen mit hohen Kfz-Geschwindigkeiten, bei besonders zu schützenden Verkehrsteilnehmern (z. B. Kindern) oder zu erwartenden Radfahrern im Freizeit-, Wochenend- und Erholungsverkehr. Eine hohe Dringlichkeit ergibt sich generell dann, wenn Schulwege zu sichern, Lücken in Hauptverbindungen zu schließen oder wiederholt Unfälle mit Radfahrern geschehen sind.
2.1.2 Die Prüfung ergab, dass die Radwegvorhaben - ausgenommen Schulwege und „Lückenschlüsse“ - weitgehend ohne quantitative Ermittlung des Bedarfs und Feststellung der Dringlichkeit in die Sonderprogramme aufgenommen und gebaut wurden. Die Begründungen für den Bau der Vorhaben beschränkten sich meist auf die Darstellung der örtlichen Verhältnisse und der dort vorhandenen Gefahren, ohne dass konkrete Nachweise z. B. der Unfallzahlen erfolgten.
Der RH ist jedoch der Ansicht, dass auch quantitative Angaben erforderlich sind, um eine fundierte Entscheidung für oder gegen einen Radweg, dessen Trassenführung und Ausbauvariante sowie dessen Eignung innerhalb eines Radwegnetzes treffen zu können.
Ferner können die Vorhaben nur an Hand von Daten und Messgrößen entsprechend ihrer Bedeutung sowie Dringlichkeit im Vergleich zu anderen Maßnahmen eingeordnet werden. Erst auf diese Weise sind Abwägungen möglich, welche Vorhaben - vor allem in Zeiten knapper Straßenbaumittel - vorrangig zu bedienen sind.
Hinsichtlich eines transparenteren Einsatzes der Straßenbaumittel empfiehlt der RH, eine Prioritätenliste für die durchzuführenden Vorhaben zu erstellen und hierfür quantitative sowie qualitative Kriterien heranzuziehen, die den Bedarf und den zeitlichen Vorrang einer Maßnahme belegen. Als Kriterien können u. a. gewählt werden (s. ERA 95):
- Aktuelle sowie zukünftige Quellen (u. a. Wohngebiete) und Ziele (u. a. Ausbildungsstätten, Betriebe, Freizeitbereiche) des Radverkehrs,
- Lücken in Radwegenetzen,
- Radverkehrsstärken, u. a. auch je Spitzenstunde,
- Kfz-Verkehrsstärken,
- Unfallanalysen (linienhafte und/oder punktuelle Unfallhäufung).
2.2 Wirtschaftlicher Bau der Rad- und Gehwege
2.2.1 Für die Standards von Rad- und Gehwegen, wie Breite und Aufbau der Wege, werden in bundesweit gültigen Richtlinien Mindestmaße empfohlen. Diese Mindestmaße werden beim Rad- und Gehwegbau im Land z. T. überschritten, ohne dass hierfür zwingende Bedarfsnachweise vorliegen.
So sieht die ERA 95 eine Radweg-Regelbreite von 2,25 m für einseitig geführte und baulich von der Fahrbahn getrennte gemeinsame Geh- und Radwege entlang von Außerortsstraßen vor. Dieses Maß hat sich bewährt und soll künftig auch in die RAS-Q aufgenommen werden. Die Mehrzahl der geprüften Rad- und Gehwege wies jedoch eine Breite von 2,50 m auf, lediglich im RP-Bereich Tübingen wurde nahezu durchgängig das Regelmaß von 2,25 m beachtet. Durch die Mehrbreite ergeben sich überschlägig zusätzliche Ausgaben von rd. 19.000 € je km Rad- und Gehweg. Bei den in den Jahren 2000/2001 gebauten Rad- und Gehwegen wäre überschlägig ein Einsparpotenzial von etwa 1 Mio. € möglich gewesen.
Ebenso erfolgte bei keiner der geprüften Maßnahmen der Aufbau der Rad- und Gehwege entsprechend der Richtlinien für die Standardisierung des Oberbaus von Verkehrsflächen (RStO 86). Die Straßenbauämter (SBÄ) orientieren sich vielmehr an den Ergänzungen zu den Technischen Vertragsbedingungen im Straßenbau Baden-Württemberg von 1997 (ETV-StB-BW 97), die eine aufwändigere Bauweise der Trag- und Deckschicht und auch der ungebundenen Frostschutzschichten auf Grund der in einigen Landesteilen anzutreffenden spezifischen Bodenbeschaffenheiten und Witterungsverhältnisse zulassen. Die Mehraufwendungen für die höhere Deckschicht belaufen sich je km Radweg auf bis zu 12.000 €.
Normalerweise dürften die vorgegebenen Ausbaustandards der RStO 86 ausreichend sein, um einen belastungsorientierten und verkehrssicheren Radweg zu bauen. Im Hinblick auf die erreichbaren Ausgabenreduzierungen sollte weiterhin das Regelmaß von 2,25 m Rad- und Gehwegbreite eingehalten werden.
2.2.2 Die SBÄ erstellen für alle Straßenbaumaßnahmen, also auch für Rad- und Gehwege, einen Vorentwurf, in dem beispielsweise Baupläne und die voraussichtlichen Bauausgaben enthalten sind. Die Vorentwürfe sind den vorgesetzten Dienststellen im RP und ggf. im Ministerium zur Genehmigung vorzulegen. Diese Genehmigung stellt die letzte Möglichkeit dar, vor Baubeginn Einsparungen und/oder Verbesserungen mit der Maßgabe vorzuschlagen, die Planungen ggf. zu überarbeiten. Daher sollten hier Wirtschaftlichkeitsanalysen und Plausibilitätsprüfungen angestellt werden, die Aufschluss über die Höhe der zu erwartenden Investitionen und das mit ihnen zu erzielende Ergebnis geben.
Die Prüfung machte aber deutlich, dass die Straßenbauverwaltung derzeit nicht über nachvollziehbare Bestimmungsfaktoren und Kennzahlen verfügt, um Bauausgaben für Rad- und Gehwege schon im Planungsstadium zu prüfen und später realistisch zu veranschlagen.
Dies zeigte sich einmal darin, dass eine starke Streuung der je km Rad- und Gehweg ausgegebenen Mittel festgestellt wurde. Die Streuung stand aber weder in direktem Zusammenhang mit der gebauten Radweglänge, noch wurden über den eigentlichen Fahrweg hinaus in größerem Umfang erkennbar Kunstbauwerke (Überführungen usw.) errichtet (s. Übersicht 1).

Darüber hinaus wurden bei mehreren Vorhaben die veranschlagten Bauausgaben erheblich überschritten (s. Übersicht 2). Begründet wurden die Erhöhungen vereinzelt mit Ergänzungen und Erweiterungen des zu bauenden Radwegs, für die häufig aber keine ausreichenden Bedarfsnachweise vorlagen.

Bei einer weiteren Maßnahme wurde in einem Bauabschnitt (Länge: 2,95 km) eines Radrundwegs eine Pylon-Brücke in unmittelbarer Nähe einer Gemeinde gebaut, die zu Mehrausgaben für das Land von rd. 429.000 € führte. Vereinbart war ursprünglich eine Kostenteilung der veranschlagten rd. 593.000 € von 70 % Land und 30 % Gemeinde. Nach der Erhöhung der Gesamtausgaben auf rd. 956.000 € wurden dann 87 % oder 844.000 € zu Lasten des Landes und 13 % oder 112.000 € zu Lasten der Gemeinde abgerechnet. Die Gemeinde war infolge fehlender Steuerkraft nicht in der Lage gewesen, den vereinbarten Gemeindeanteil von rd. 287.000 € zu übernehmen. Gerade die Gemeinde war aber die treibende Kraft bei der Auswahl der teuren Trassenführung und des aufwändigen Brückenbaus. So hätte bei einer alternativen Streckenführung gänzlich auf die Brücke verzichtet werden können. Diese Streckenführungen hatte die Gemeinde jedoch wegen mangelnder touristischer Attraktivität abgelehnt.
Landesmittel, die in diesem Maße für überdurchschnittlich aufwändige Vorhaben oder für unangemessene Steigerungen bei Bauausgaben eingesetzt werden, fehlen dann aber beim dringenden Bau weiterer Rad- und Gehwege.
2.2.3 Zur Förderung eines ausgeprägten Kostenbewusstseins wird daher empfohlen, bei vergleichsweise einheitlichen Baumaßnahmen, wie dem Rad- und Gehwegbau - zumindest aber für den reinen Fahrweg ohne evtl. Kunstbauten -, Richtwerte für Bauausgaben/m² einzusetzen. Mittels der Richtwerte können aufwändige gestalterische Elemente oder eine ausgabenintensive Planung und Bauausführung zu Lasten des Landes ausgeschlossen werden. Die Richtwerte sind näher zu definieren, indem weitere Vorhaben ausgewertet und relevante Größenordnungen ermittelt werden.
Weiterhin sollten künftig analog zu den Zuwendungsverfahren Ergänzungen und Änderungen nur ausgeführt werden, wenn hierfür baurechtliche oder sonstige dringende verkehrliche Notwendigkeiten bestehen.
Ebenso dürfen Erweiterungen oder Wünsche der Gebietskörperschaften zur Trassenführung oder zum Ausbaustandard nicht zu Lasten des Landes umgesetzt werden. Fordert eine Gemeinde z. B. eine über das Mindestmaß hinausgehende Abmessung, so hat sie die Mehraufwendungen hierfür zu tragen. Dies gilt auch für den zwar zweckmäßigen gemeinsamen Bau von Rad- und Wirtschaftswegen, der aber nicht zum überwiegenden Teil mit Landesmitteln erfolgen kann. Hier sind entsprechend der gesetzlichen Baulastträgerschaften sachgerechte Kostenteilungen zwischen Land und Gemeinde zu vereinbaren.
3 Stellungnahme des Ministeriums
Bei der Beurteilung der Priorität von Radwegen stützt sich die Straßenbauverwaltung auf die Radwegekonzeptionen der Landkreise, weil auf dieser Ebene die lokalen Vorstellungen zusammengeführt und koordiniert werden. Das UVM vertritt die Auffassung, dass für die Planung und den Bau von Radwegen nicht allein die Verkehrsstärken der Straßen und der Radwege für die Priorität maßgebend seien, da in strukturschwachen Gebieten sonst auf absehbare Zeit keine Radwege gebaut werden könnten. Weiterhin hält das UVM eine umfassende Verkehrszählung nur in seltenen Fällen für erforderlich, da meistens die allgemein formulierten Anforderungen aus der RAS-Q 96 für die Anlage eines Radwegs erfüllt würden. Ergänzend könnten aber Unfallprotokolle und Schätzungen des Radverkehrs als Bedarfsnachweis herangezogen werden.
Das UVM führt aus, dass die Richtlinien und Empfehlungen auf Grund verschiedener Kriterien unterschiedliche Breiten für Rad- und Gehwege zuließen; es hält aber nach wie vor eine Breite von 2,50 m für kombinierte Rad- und Gehwege außerorts durchaus für angemessen. Hiervon solle nur in Ausnahmefällen abgewichen werden, z. B. bei künstlichen oder natürlichen Hindernissen, deren Beseitigung unvertretbar hohe Ausgaben verursache. Das UVM regt an, die Planung von Radverkehrsanlagen flexibel an die jeweiligen straßenräumlichen und verkehrlichen Verhältnisse anzupassen.
Ferner hält es das UVM für äußerst schwierig, ohne die in Baden-Württemberg geltende Regeldicke die erforderliche Tragfähigkeit auf der Oberkante der ungebundenen Tragschicht zu erreichen, da die RStO 86 hier zu optimistisch sei. Eine nicht ausreichende Tragfähigkeit könne zu ungenügender Verdichtung mit entsprechenden Langzeitschäden der darüber liegenden gebundenen Schichten führen (z. B. etwaige Einschränkungen bei der Frostbeständigkeit). Die über die RStO 86 hinausgehenden landesspezifischen Regelungen würden zugunsten einer hohen Lebensdauer des Radweges getroffen.
Die Streuung der Ausgaben/km verschiedener Rad- und Gehwegprojekte führt das UVM auf unterschiedliche Randbedingungen (u. a. Erdbau, Entwässerungseinrichtungen) zurück. Seiner Ansicht nach dürften die Ausgaben für den Oberbau landesweit in ähnlichen Größenordnungen liegen; im Übrigen unterlägen sie dem Wettbewerb im Rahmen der Ausschreibung. Von daher hält es das UVM kaum für möglich, einen einheitlichen Erfahrungswert oder Richtwert zu Grunde zu legen. Den angesprochenen Ausgabeerhöhungen werde durch die Regierungspräsidien nachgegangen. Während der Bauausführung müsse jedoch stets mit unvorhersehbaren Erschwernissen gerechnet werden, die zu Änderungen der Planung und der Baukonzeption führen können.
4 Schlussbemerkung
Im Hinblick darauf, dass derzeit vermehrt Radwege zur Ausführung gelangen, und in Anbetracht knapper Haushaltsmittel erscheint es geboten, das Kostenbewusstsein zu schärfen und der Straßenbauverwaltung für die Planung und Bauausführung Richtwerte für Bauausgaben an die Hand zu geben. Der RH verkennt dabei nicht, dass in Einzelfällen lokale Besonderheiten vorliegen können, die höhere Bauausgaben erforderlich machen. Generell sollte aber ein Richtwert für den Oberbau als Anhaltspunkt für die Bemessung der Bauausgaben eingeführt werden, um die in der Vergangenheit z. T. deutlichen Ausgabenabweichungen zu verringern. Überdies hält das UVM im kommunalen Straßenbau Pauschalen bei Vorhaben des kombinierten Geh- und Radwegbaus außerhalb von Ortsdurchfahrten für machbar (s. DS 13/1596).
Da Planung und Bauausführung sich an diesem Richtwert orientieren müssten, könnten dadurch u. U. auch spätere Ausgabenerhöhungen vermieden werden, zumal diese nicht immer nur durch Unvorhersehbares verursacht werden.
Die bislang praktizierten Ausbaustandards sind nach Ansicht des RH auf den Prüfstand zu stellen, da schon geringfügige Einschränkungen - ohne Auswirkungen auf die Verkehrssicherheit der Radfahrer - zu deutlichen Ausgabereduzierungen führen können. Das UVM sollte daher sowohl bei den Breiten als auch dem Fahrbahnaufbau nicht mehr den maximal möglichen und bundesweit geltende Richtlinien sogar übersteigenden, sondern den wegen straßenräumlicher und verkehrlicher Anforderungen unbedingt notwendigen Ausbaustandard zu Grunde legen.
Angesichts der im gesamten Straßenbau äußerst knappen Mittel sollten zudem ausschließlich dringliche und wichtige Straßenbaumaßnahmen realisiert werden. Von daher hält es der RH für erforderlich, über quantitative und qualitative Kriterien eine Prioritätenliste der auch in den Sonderprogrammen umzusetzenden Vorhaben aufzubauen. In Folge der Heranziehung objektiver und ausgewogener Kriterien wird es auch ausgeschlossen sein, dass dringend erforderliche Vorhaben in ländlichen Gebieten ggf. nicht berücksichtigt werden. Eine in diesem Sinne erstellte Prioritätenliste bedeutet eine Abkehr von dem bisher größtenteils praktizierten „Windhundprinzip“ und gewährt allen Beteiligten ein hohes Maß an Transparenz sowie dem Land einen optimalen Mitteleinsatz.
Anhänge
Die Abwasserbeseitigung im ländlichen Raum wird u. a. mit Mitteln aus dem Aufkommen der Abwasserabgabe gefördert. Dezentrale Kleinkläranlagen als Alternative zum Kanalanschluss wurden dabei kaum in die Wirtschaftlichkeits-betrachtungen einbezogen. Außerdem erfolgte die Förderung regional unterschiedlich. Die Umsetzung der Empfehlungen des Rechnungshofs kann zu einem effizienteren Mitteleinsatz beim Land und zu einem landesweit einheitlichen Zuwendungsverfahren beitragen.
1 Vorbemerkung
Die Kommunen sind verpflichtet, das in ihrem Gebiet anfallende Abwasser so zu beseitigen, dass das Wohl der Allgemeinheit nicht beeinträchtigt wird. Aufgabe der Kommunen ist es daher, durch Bereitstellung und Unterhaltung von Anlagen das Abwasser zu sammeln, den zentralen Kläranlagen zuzuleiten und zu reinigen.
Gegenüber dem Bürger setzen die Kommunen ihre Verpflichtung zur Abwasserbeseitigung durch den Anschluss- und Benutzungszwang für zentrale Abwassereinrichtungen - Kläranlagen - in kommunalen Abwassersatzungen um. Die Investitions- und Betriebskosten der Anlagen werden von den Bürgern über kostendeckende Abwassergebühren und Erschließungsbeiträge aufgebracht.
Kommunen können Abwasser allerdings dann von der zentralen Beseitigung ausschließen, wenn z. B. ein Anschluss aus technischen oder wirtschaftlichen Gründen für ein abgelegenes Anwesen nicht vertretbar ist und wasserrechtliche Gründe dem nicht entgegen stehen. In diesen Fällen geht die Abwasserbeseitigungspflicht auf die Grundstückseigentümer über.
Die Grundstückseigentümer können ihrer Verpflichtung zur Abwasserbeseitigung in Form zweier Entwässerungslösungen nachkommen:
- Das Abwasser wird mittels Pumpen durch Rohrleitungen mit kleinen Querschnitten (sog. Schläuche) in die öffentliche Kanalisation eingeleitet (Pumpe-Schlauch-Systeme); die Schläuche sind in geringer Bodentiefe verlegt und verlaufen häufig über mehrere Kilometer durch freies Gelände. Das Abwasser wird zu zentralen Kläranlagen abgeleitet und dort behandelt (zentrale Abwasserbeseitigung).
- Das Abwasser wird (weiterhin) in privaten Kleinkläranlagen behandelt, die inzwischen eine gute Betriebssicherheit und Reinigungsleistung gewährleisten. In einigen Fällen sind die vorhandenen Anlagen zu modernisieren oder zu ersetzen. Das nach dem Stand der Technik entsprechend gereinigte Abwasser kann dann vor Ort in ein Fließgewässer eingeleitet werden (dezentrale Abwasserbeseitigung).
Bei beiden Entwässerungslösungen müssen die jeweiligen Grundstückseigentümer für die Investitions- und Betriebskosten aufkommen (s. Schaubild). Dabei fallen beim Anschluss an die öffentliche Kanalisation mit Pumpe-Schlauch-Systemen neben den Abwassergebühren in der Regel auch erhebliche Anschlussbeiträge an.

2 Wirtschaftlichkeitsbetrachtungen bei der Verwendung von Zuschüssen
Um eine wasserwirtschaftlich gute und dem Allgemeinwohl verträgliche Abwasserbeseitigung durch die Grundstückseigentümer zu gewährleisten, können diese zur Umsetzung ihrer jeweiligen Entwässerungslösung Zuschüsse aus dem Aufkommen der Abwasserabgabe erhalten. Nach dem Abwasserabgabengesetz sind diese Zuschüsse insbesondere für Maßnahmen zu verwenden, die der Erhaltung oder Verbesserung der Gewässergüte dienen.
Beantragt ein Grundstückseigentümer Zuschüsse aus dem Abwasserabgabeaufkommen, ist die Wirtschaftlichkeit der zu realisierenden Maßnahme/Entwässerungslösung - wie bei allen anderen Landeszuwendungen - an Hand von Wirtschaftlichkeitsuntersuchungen nachzuweisen.
So bewegen sich die Investitionen für Kleinkläranlagen und auch für Abwasserpumpstationen in einer Größenordnung bis zu 18.000 €. Bei Pumpe-Schlauch-Systemen kommen dann noch die Ausgaben für die Druckleitungen (Schläuche) hinzu, die sich in Abhängigkeit von Geländebeschaffenheit und Verlegetechnik auf bis zu 75 €/m belaufen können. Die Wirtschaftlichkeit der einen oder anderen Entwässerungslösung wird daher nicht zuletzt stark durch die Entfernung des Anwesens zum nächstgelegenen möglichen Anschluss an die öffentliche Kanalisation beeinflusst. Darüber hinaus sind die Betriebskosten der verschiedenen Entwässerungslösungen in die Untersuchung einzubeziehen.
Der RH hat festgestellt, dass Wirtschaftlichkeitsuntersuchungen kaum durchgeführt wurden. Vielmehr favorisierte das UVM bei der Förderung die Pumpe-Schlauch-Systeme unter Hinweis auf die wasserwirtschaftlich (angeblich) beste Lösung. Dabei wurde von der besseren Reinigungsleistung und Betriebssicherheit kommunaler Sammelkläranlagen gegenüber Kleinkläranlagen ausgegangen, wenngleich diese inzwischen mindestens genau so viel zur Verbesserung der Gewässergüte beitragen.
Die Wirtschaftlichkeit von Pumpe-Schlauch-Systemen wurde, wenn überhaupt, dadurch belegt, dass z. T. bei Kostengegenüberstellungen von dezentraler und zentraler Abwasserbeseitigung die in Aussicht gestellten Zuwendungen nur für Pumpe-Schlauch-Systeme kostenmindernd eingerechnet wurden. Bei den geprüften Maßnahmen wurde daher in der Regel nicht objektiv mit Hilfe von Variantenvergleichen schlüssig der Vorteil der Pumpe-Schlauch-Systeme gegenüber Kleinkläranlagen nachgewiesen.
Auch fehlte es an einem Vergleich zwischen Investitions- und Betriebskosten und den tatsächlich erreichbaren Einsparungen. So rechneten sich häufig die Pumpe-Schlauch-Systeme für die Grundstückseigentümer erst dann, wenn unzulässigerweise auch die von den Kommunen satzungsgemäß erhobenen Anschlussbeiträge gefördert wurden. Die Bürger, die im Zuge des Anschluss- und Benutzungszwangs an die öffentliche Kanalisation angeschlossen werden, müssen selbst für die einmaligen Beiträge aufkommen.
Die einseitige Ausrichtung der Förderung des UVM auf Pumpe-Schlauch-Systeme entspricht demnach nicht dem Gebot der Wirtschaftlichkeit und erfolgte in vielen Förderfällen zum Nachteil des Landes.
Der RH empfiehlt daher, die Entscheidung über die angemessene Entwässerungslösung bei Anwesen im ländlichen Raum grundsätzlich auf der Basis von Wirtschaftlichkeitsuntersuchungen unter Beachtung der wasserwirtschaftlichen Belange zu treffen. Auf diese Weise können die verfügbaren Fördermittel wirksamer und flächendeckender zum Wohle aller Bürger eingesetzt werden.
3 Verwendung der Mittel aus dem Aufkommen der Abwasserabgabe
Im Sinne der „Pumpe-Schlauch-Philosophie“ des UVM wurde von den unteren Wasserbehörden vordringlich das Ziel verfolgt, möglichst viele Anwesen an kommunale Sammelkläranlagen anzuschließen. In den jeweiligen Regierungsbezirken wurden dabei die vom UVM vorgegebenen Rahmenbedingungen überaus unterschiedlich ausgearbeitet und vollzogen (z. B. Eigenanteil des Zuwendungsempfängers, Fördersatz, Bemessungsgrundlage für die Zuwendungshöhe).
Dies überrascht nicht, da die Förderung von Pumpe-Schlauch-Systemen ursprünglich als Modellvorhaben begann und sich anschließend quasi verselbstständigte, ohne dass Ergebnisse erhoben und ausgewertet wurden. Nicht selten war Grundstückseigentümern die Fördermöglichkeit überhaupt nicht bekannt, teilweise wiederum wurden sie von den Bewilligungsstellen unter Hinweis auf die Förderung geradezu zum Anschluss eines Pumpe-Schlauch-Systems gedrängt.
Der landeseinheitliche Einsatz von Fördermitteln war daher nicht gewährleistet. Ebenso wenig wurden die tatsächlichen Einsatzmöglichkeiten der Pumpe-Schlauch-Systeme sowohl unter finanziellen als auch technischen Gesichtspunkten jemals auf den Prüfstand gestellt.
Vor diesem Hintergrund empfiehlt der RH, die Zuschüsse aus dem Aufkommen der Abwasserabgabe ergebnisoffen für alle anwendbaren Entwässerungslösungen einzusetzen.
4 Regelbedarf beim Anschluss an die zentrale Abwasserbeseitigung
Ist ein Anschluss an die öffentliche Kanalisation auf Grund der Ergebnisse von Wirtschaftlichkeitsuntersuchungen zuwendungsfähig, dann sollten darüber hinaus nachstehende rechts- und zuwendungsrelevante Aspekte beachtet werden:
- Mit der Abwasserbeseitigungspflicht wurden bei der bisherigen Pumpe-Schlauch-Förderung nicht nur die Investition, Unterhaltung, Wartung, Instandsetzung und Erneuerung, sondern auch die entstehenden zusätzlichen und z. T. nicht überschaubaren Risiken auf private Bauherren übertragen. So wurde die Haftung des Anlagenbetreibers für die bis zum Anschluss an die öffentliche Kanalisation z. T. über mehrere Kilometer über öffentliche/nicht öffentliche Grundstücke verlaufenden Abwasserdruckleitungen bislang nicht berücksichtigt.
- Der aktiv propagierte Anschluss von Anwesen an die zentrale Sammelkläranlage durch Pumpe-Schlauch-Systeme belegt, dass die ursprünglichen Gründe für den satzungsgemäßen Ausschluss vom Anschluss- und Benutzungszwang nicht mehr bestehen. Bei Aufhebung dieses Ausschlusses wären für die Anschlussleitungen ab der Grundstücksgrenze der anschließbaren Anwesen bis zum Anschluss an die zentralen Abwasseranlagen nicht die Grundstückseigentümer, sondern die abwasserbeseitigungspflichtigen Kommunen zuständig. Bislang erhalten für diesen Anschluss aber die Grundstückseigentümer Landesmittel aus dem Abwasserabgabeaufkommen (s. Schaubild).
Der RH empfiehlt, die bislang mit Zustimmung der unteren Wasserbehörden vollzogenen satzungsgemäßen Ausschlüsse und Befreiungen vom Anschluss- und Benutzungszwang zu überprüfen. Liegen unter den zuvor genannten Gesichtspunkten keine Ausschlussgründe mehr vor, sollten die Grundstückseigentümer nach wie vor einen Zuschuss für die auf ihrem Anwesen zu erstellenden Anlagen erhalten können. Die Leitungen außerhalb der anzuschließenden Grundstücksflächen sind aber künftig grundsätzlich von den abwasserbeseitigungspflichtigen und damit Kosten tragenden Kommunen zu finanzieren.
5 Stellungnahme des Ministeriums
Das UVM führt aus, dass sich die Auswahl der Abwasserlösung an den wasserwirtschaftlichen Randbedingungen der Vorortsituation und der umweltpolitischen Zielsetzung des Landes orientiere. Die Erfahrungen der letzten Jahre bestätigten dabei zwar in aller Regel, dass die wirtschaftlichere und wasserwirtschaftlich bessere Lösung der Anschluss an die zentrale Kanalisation über das Pumpe-Schlauch-System sei; die Anregung des RH zu einer vereinfachten Wirtschaftlichkeitsuntersuchung sei jedoch bereits aufgenommen worden.
Das UVM ist außerdem der Auffassung, dass beim Anschluss von ehemals dezentralen Lösungen an die zentrale kommunale Abwasserbeseitigung auch die Anschlussbeiträge gefördert werden können, da diese für den Anschließenden quasi Investitionskosten seien. Das UVM habe allerdings eine obere Orientierungsgrenze festgelegt, bis zu welcher Höhe die Beiträge zuwendungsfähig sind.
Um die Zuwendungsverfahren landesweit einheitlich abzuwickeln, seien die Bewilligungsbehörden inzwischen angewiesen worden, nach der neu ausgearbeiteten Handlungsanweisung zu den Förderregeln zu verfahren. Die Anregung des RH sei insoweit schon umgesetzt worden.
Das UVM unterstütze mittlerweile auch die Weiterentwicklung und Erprobung neuer Technologien auf dem Gebiet der dauerhaft dezentralen Abwasserbehandlung und habe einen entsprechenden Untersuchungsauftrag vergeben. Außerdem lasse es die kommunalrechtliche Thematik hinsichtlich der satzungsgemäßen Ausschlüsse und Befreiungen vom Anschluss- und Benutzungszwang in Fällen der Pumpe- und Schlauch-Lösungen überprüfen. Die Anregungen des RH seien also auch hier bereits umgesetzt worden.
6 Schlussbemerkung
Für einen Teil der Bevölkerung im Außenbereich wird auf Grund der Siedlungsverhältnisse, der topographischen Lage und der damit verbundenen Investitionsausgaben auch weiterhin nur eine dezentrale Abwasserbeseitigung in Betracht kommen. Insofern sollten Mittel aus dem Aufkommen der Abwasserabgabe nicht nur für Pumpe-Schlauch-Systeme, sondern auch für die mittlerweile ausgereiften Kleinkläranlagen verwendet werden, zumal die Reinigungsleistung solcher Anlagen durchaus vergleichbar mit der zentraler Anlagen ist.
Eine Umsetzung der Empfehlungen des RH, die das UVM bereits in einigen Teilen aufgegriffen hat, führt zu einer Vereinfachung und einem transparenteren sowie landesweit einheitlichen Zuwendungsverfahren. Vor allem jedoch tragen die entsprechenden Wirtschaftlichkeitsuntersuchungen zu einem effizienteren Mitteleinsatz beim Land sowie bei den Entsorgungspflichtigen und letztendlich auch bei den Nutzern von Abwasseranlagen bei.
Anhänge
Die Prüfung der Haushalts- und Wirtschaftsführung der Landesanstalt für Umweltschutz hat verschiedene Mängel in der Personalwirtschaft ergeben. Durch den Abbau von Aufgaben und eine straffere Aufbauorganisation können in der Summe 30 Vollzeitarbeitskräfte eingespart werden. Auf eines der in Karlsruhe angemieteten Gebäude kann auf Dauer verzichtet werden. Das von der Landesanstalt betriebene Grundwassermessnetz sollte optimiert werden.
1 Ausgangslage und Ziel der Untersuchung
Die Landesanstalt für Umweltschutz Baden-Württemberg (LfU) wurde mit Wirkung vom 01.01.1975 im Geschäftsbereich des damaligen Ministeriums für Ernährung, Landwirtschaft und Umwelt in Karlsruhe errichtet. Die politische Konzeption bei ihrer Gründung war, durch die Zusammenfassung von vier selbstständigen Landeseinrichtungen (Landesstelle für Naturschutz und Landespflege in Ludwigsburg, Landesanstalt für Arbeitsschutz und Arbeitsmedizin, Emissions- und Strahlenschutz in Karlsruhe, Landesstelle für Gewässerkunde und wasserwirtschaftliche Planung in Karlsruhe und Staatliches Institut für Seenforschung und -bewirtschaftung in Langenargen) eine „Beratungs- und Planungsstelle“ für die Landesregierung zu schaffen, die die Zusammenarbeit bei der Lösung der fachübergreifenden Probleme des Umweltschutzes erleichtern sollte.
In den Anfangsjahren war eine Hauptaufgabe der LfU der Aufbau einer landesweiten Umweltbeobachtung und -bewertung. Hierfür wurden verschiedene Messnetze eingerichtet, um den Zustand der Luft, des Wassers und des Bodens in Baden-Württemberg flächendeckend zu erfassen. Ein Radioaktivitätsmessnetz diente der Überwachung der baden-württembergischen und der grenznahen ausländischen Kernkraftwerke.
Zu einer gravierenden Aufgabenänderung kam es 1990, als der weitere Ausbau und der Betrieb des Luftmessnetzes auf die neu geschaffene private Gesellschaft für Umweltmessungen und Umwelterhebungen mbH (UMEG) übertragen wurde. 60 Beschäftigte der LfU wechselten zur UMEG.
Nach ihrem eigenen Verständnis hat sich die LfU in den vergangenen Jahren vom „Messnetzbetreiber“ zu einem modernen Dienstleistungsbetrieb fortentwickelt. Zu ihren Dienstleistungen gehören heute die Erhebung und Bereitstellung von Umweltdaten, die Weitergabe dieser Daten in Form von gedruckten Veröffentlichungen und über die neuen Medien, die Analyse der Wechselbeziehungen zwischen Gesellschaft und Umwelt sowie die gutachterliche Tätigkeit und die Unterstützung von Vollzugsbehörden.
Rechtsstellung, Organisation, Aufgaben und das Verfahren zur Aufstellung des jährlichen Arbeitsprogramms sind im Statut der LfU vom 03.05.2002 geregelt. Danach ist die LfU eine nicht rechtsfähige Anstalt des öffentlichen Rechts im Geschäftsbereich des UVM.
Zum Stichtag 01.06.2002 verfügte die LfU über 447 Beamte, Angestellte und Arbeiter, die als Voll- oder Teilzeitbeschäftigte auf 415 Planstellen und Stellen geführt oder aus Personalmitteln zeitlich befristet beschäftigt werden. Dieser Personaleinsatz entspricht 424,25 Vollzeitäquivalenten (VZÄ).
Die Zahl der Stellen, die der LfU zur Verfügung stehen, verminderte sich im Zeitraum 1991 bis 2002 um 110 (von 525 auf 415). Hiervon wurden 50 Stellen eingespart, 60 wurden durch die Übertragung von Aufgaben und Personal an die UMEG abgebaut.
Insgesamt gab die LfU im Hj. 2001 47 Mio. € aus, davon entfielen 42 % auf Personalausgaben, 31 % auf Zuweisungen und Zuschüsse (u. a. an die UMEG) und 23 % auf sächliche Verwaltungsausgaben. Diesen Ausgaben standen Einnahmen in Höhe von 2,2 Mio. € gegenüber. Die größten Einnahmepositionen waren Gebühren für die Beseitigung radioaktiver Abfälle und für die Umgebungsüberwachung nach dem Atomgesetz.
Ziel der Prüfung des RH war es, Einsparmöglichkeiten durch Verbesserungen der Aufbau- und Ablauforganisation, durch Abbau und Übertragung von Aufgaben und durch andere Maßnahmen zu erschließen. Außerdem galt es, zur zukünftigen Rechtsform und Organisationsstruktur der LfU Stellung zu nehmen.
2 Personal- und Stellenwirtschaft der Landesanstalt für Umweltschutz
Die Prüfung der Personal- und Stellenwirtschaft der LfU durch den RH führte zu einer Reihe von kritischen Feststellungen:
- Die zu Beginn der Prüfung vorgefundene Arbeitszeitregelung an der LfU entsprach teilweise nicht den gesetzlichen Bestimmungen, z. B. bei der Anrechnung von Reisezeiten, und verursachte ein hohes Maß an vermeidbarem Verwaltungsaufwand. Noch während der laufenden Prüfung hat die Leitung der LfU in Abstimmung mit dem Personalrat die Arbeitszeitregelung angepasst und die Mängel der vorgefundenen Regelung beseitigt.
- Entgegen der vom RH bereits im Jahre 1994 ausgesprochenen Empfehlung hat das UVM die Zuständigkeit für Personalentscheidungen lediglich für Beamte bis zur Bes.Gr. A 11 und bei Angestellten nur bis zur Verg.Gr. III BAT auf die LfU delegiert. Dies führt bei der Stellenbewirtschaftung und der Personalsachbearbeitung zu einem vermeidbaren Verwaltungsmehraufwand. Der RH empfiehlt dem UVM, die personalrechtlichen Zuständigkeiten für alle Beamte des gehobenen Dienstes und bei Angestellten bis zur Verg.Gr. IIa/Ib BAT auf die LfU zu delegieren.
- Die LfU beschäftigt zahlreiche Angestellte mit befristeten Arbeitsverträgen. Nicht immer liegen die dafür erforderlichen rechtlichen Voraussetzungen zweifelsfrei vor. Der RH hat die LfU auf die damit verbundenen rechtlichen und wirtschaftlichen Risiken hingewiesen und gebeten, die einschlägigen gesetzlichen und tarifrechtlichen Bestimmungen zu beachten.
- Die vereinzelt festzustellende Praxis, Beschäftigte der LfU im Wege der Abordnung langfristig auf den Stellen anderer Behörden zu führen, widerspricht den einschlägigen haushaltsrechtlichen Vorschriften und verletzt den Grundsatz der Haushaltswahrheit und der -klarheit. Die LfU wurde aufgefordert, diese Praxis zu beenden und die betreffenden Beschäftigten auf eigenen (Plan-Stellen zu führen.
3 Personaleinsparung durch Abbau und Übertragung von Aufgaben
Der RH hat die von der Verwaltungsabteilung und den Fachabteilungen 2, 3 und 4 der LfU wahrgenommenen Aufgaben durch Interviews mit allen Führungskräften und eine schriftliche Befragung aller Beschäftigten erhoben und einer aufgabenkritischen Analyse unterzogen. Dabei wurden Einsparmöglichkeiten im Umfang von 24,4 VZÄ festgestellt:
- Beim Schreibdienst, in der Telefonzentrale und bei der zentralen Fahrbereitschaft können 8,9 Stellen eingespart werden.
- In der Abteilung 2 können durch Reduzierung des Personaleinsatzes für die Lokale Agenda 21 (kommunale Aufgabe) und für das PLENUM-Projekt insgesamt 3 Stellen eingespart werden.
- In der Abteilung 3 können die Aufgaben in den Sachgebieten Arbeitsschutz, Chemikalien und Abfallbehandlung so weit reduziert werden, dass auf 7,5 Stellen verzichtet werden kann.
- In der Abteilung 4 können 5 Stellen eingespart werden, da sich die Aufgaben durch die weitgehende Privatisierung des Messdienstes und die Erledigung zahlreicher großer Altlastenprojekte vermindert haben.
Die Untersuchungen des RH haben weiterhin ergeben, dass eine Reihe von Aufgaben der LfU zweckmäßigerweise von anderen Einrichtungen des Landes wahrgenommen werden sollten. Dadurch könnten sich Personalverlagerungen von der LfU auf andere Behörden ergeben.
4 Reform der Aufbauorganisation
Die LfU gliedert sich heute in fünf Abteilungen mit 22 Referaten. Die heutige Aufbauorganisation ergibt sich aus dem Schaubild.

Durch eine Neugestaltung der Aufbauorganisation sind weitere Einsparungen im Bereich der Funktionsstellen möglich.
Der RH schlägt vor,
- das Referat 23 (Biologische Umweltbeobachtung) aufzulösen, das Sachgebiet 23.1 in das Referat 21 einzugliedern und das biologische Labor (Sachgebiet 23.2) dem Referat 14 (Zentrallabor) als drittes Sachgebiet zuzuordnen;
- das Referat 22 (Bodenschutz) in das Referat 44 (Altlasten, Schadensfälle) einzugliedern;
- die fachlich eng verwandten Referate 24 und 25 zu einem Referat Naturschutz, Artenschutz, Landschaftspflege zusammenzufassen;
- das Referat 31 aufzulösen, das Sachgebiet 31.1 (Luftreinhaltung, Störfallvorsorge, Energie) mit dem bisherigen Referat 33 (Luftqualität, Lärm, Verkehr) zusammenzufassen und das Sachgebiet 31.2 (Industrielle Stoffströme, Industrieabwasser) mit dem bisherigen Referat 35 (Kreislaufwirtschaft, Abfallbehandlung) zusammenzuführen;
- das durch den Aufgabenabbau in seinem Personalbestand stark reduzierte Referat 34 (Arbeitsschutz) als drittes Sachgebiet in das heutige Referat 33 einzugliedern, sodass ein neues, auf die Bedürfnisse der Gewerbeaufsicht zugeschnittenes Referat entsteht.
Durch die Auflösung von 5 Referaten reduziert sich die Zahl der an der LfU vorhandenen Referate auf 17. Dadurch ergibt sich die weitere Möglichkeit, die Zahl der Abteilungen an der LfU ebenfalls von fünf auf vier zu reduzieren. Damit wird eine Abteilungsleiterstelle (A 16/B 2) obsolet und kann eingespart werden.
Weitere organisatorische Veränderungen werden sich in der Folge der Reintegration der UMEG in die LfU ergeben. Durch die Realisierung der Vorschläge des RH kann verhindert werden, dass die Reintegration der UMEG zu einer Erhöhung der Zahl der Abteilungen und Referate gegenüber heute führt.
5 Unterbringung der Landesanstalt für Umweltschutz
Die LfU ist heute in Karlsruhe in vier Gebäuden, in Stuttgart und Langenargen in jeweils einem Gebäude untergebracht. Die Gebäude Hertzstraße 173 in Karlsruhe und Spittlerstraße 8 in Stuttgart sind landeseigene Gebäude, bei dem Gebäude in Langenargen handelt es sich um ein Mietkaufobjekt. Die übrigen Gebäude in Karlsruhe sind angemietet.
Die Übersicht 1 gibt für die einzelnen Gebäude einen Überblick über Gesamtnutzungsfläche, Mietaufwand und Zahl der Beschäftigten in den einzelnen Gebäuden. In der letzten Spalte ist die Fläche genannt, die auf einen Beschäftigten entfällt.

Diese Übersicht verdeutlicht das große Ungleichgewicht der Raumausnutzung an den verschiedenen Standorten.
Besonders großzügig sind die Mitarbeiter der LfU im landeseigenen Gebäude in der Hertzstraße 173 untergebracht. Dabei muss konzediert werden, dass eine wirtschaftliche Raumnutzung im Gebäude Hertzstraße durch eine Vielzahl innen liegender Räume erschwert wird, in denen nach der Arbeitsstättenverordnung keine Dauerarbeitsplätze eingerichtet werden dürfen.
Dennoch hat die Überprüfung der Raumnutzung folgende behebbare Mängel ergeben:
- Eine Vielzahl von Räumen steht leer und wird nicht genutzt.
- Zahlreiche Räume mit über 20 m2 werden als Einzelzimmer genutzt.
- Einige - nicht innen liegende Räume - werden als Materiallager genutzt; das gelagerte Material ist weitgehend entbehrlich.
- Die Zahl der Besprechungsräume übersteigt den Bedarf.
Insgesamt wurden elf leerstehende Büroräume mit einer durchschnittlichen Größe von 18,8 m2 vorgefunden; Räume in dieser Größenordnung können nach den einschlägigen Vorschriften als Doppelzimmer belegt werden. 15 Räume mit über 20 m2 werden entgegen den einschlägigen Vorschriften als Einzelzimmer genutzt. Die nicht innen liegenden Materiallager können ohne weiteres in Büros umgewandelt werden.
Als einen Erfolg versprechenden Weg zur Optimierung der Unterbringung schlägt der RH vor, die im landeseigenen Gebäude Hertzstraße 173 vorhandenen Raumreserven zu nutzen, um das angemietete Gebäude Benzstraße 5 zu räumen und zu entmieten.
Die Verlegung der im Gebäude Benzstraße 5 untergebrachten Hochwasservorhersagezentrale (HVZ) in eines der anderen Gebäude (Bannwaldallee 24) erfordert einmalige Investitionskosten in Höhe von rd. 136.000 €.
Außerdem müsste das landeseigene Gebäude Hertzstraße 173 mit einem Aufwand von rd. 300.000 € für die Aufnahme weiterer Mitarbeiter instandgesetzt werden.
Diese Investitionskosten von insgesamt 436.000 € würden sich durch die Entmietung des Gebäudes Benzstraße 5 (jährliche Miete: 242.600 €) in weniger als zwei Jahren amortisieren.
Voraussetzung für die Entmietung des Gebäudes Benzstraße 5 und für die Optimierung der Raumnutzung im Gebäude Hertzstraße 173 ist einerseits ein Umzugs- und Investitionskonzept, andererseits ein Raumnutzungskonzept. Beide Konzepte sind umgehend zu erarbeiten.
6 Weitere Möglichkeiten zur Verbesserung der Wirtschaftlichkeit der Landesanstalt für Umweltschutz
6.1 Anpassung des Beitrags für das Institut für Seenforschung
Gemäß einer Vereinbarung zwischen den Ländern Bayern und Baden-Württemberg führt der Freistaat keine eigenen limnologischen Untersuchungen am Bodensee durch. Stattdessen stellt das Institut für Seenforschung (ISF) seine Untersuchungsergebnisse den bayerischen Stellen zur Verfügung. Im Gegenzug beteiligt sich Bayern jährlich mit 43.000 € an den Kosten des ISF.
Aus Sicht des RH ist eine solche Vereinbarung grundsätzlich sinnvoll, weil auf diese Weise Doppelarbeit vermieden werden kann. Außerdem ist Baden-Württemberg das Land mit dem längsten Uferstreifen und steht somit in einer besonderen Verantwortung für den Bodensee. Allerdings steht der seit Jahren unveränderte Beitrag Bayerns in keinem angemessenen Verhältnis zu den Gesamtkosten der vom ISF geleisteten Arbeit. Allein die Personalkosten des ISF belaufen sich auf jährlich knapp 2 Mio. €. Davon entfallen nach Schätzung des RH etwa 80 % (mithin 1,6 Mio. €) auf bodenseebezogene Aufgaben.
Der RH schlägt vor, dass die beiden Länder die Kosten für das ISF - ohne den Anteil der nicht den Bodensee betreffenden Aktivitäten des ISF - im Verhältnis ihrer Uferlänge am Bodensee teilen. Danach müsste der Freistaat 11,6 % der Kosten des ISF tragen. Ausgehend von Kosten in einer Größenordnung von 1,6 Mio. € jährlich ergibt sich eine Kostenbeteiligung des Freistaats in Höhe von mindestens 185.600 € jährlich.
Die notwendigen Verhandlungen mit der bayerischen Landesregierung sollten umgehend aufgenommen werden. In die Vereinbarung mit Bayern sollte eine Formel aufgenommen werden, die eine dynamische Anpassung an die Kostenentwicklung beim Institut ermöglicht.
6.2 Reduzierung des Aufwands für Grundwassermessstellen
Die Messung der Grundwasserqualität wird in Baden-Württemberg an annähernd 3.000 Messstellen durchgeführt. In dieser Zahl sind knapp 2.200 landeseigene Messstellen (s. Übersicht 2) enthalten, für deren Beprobung die LfU verantwortlich ist, sowie 781 Rohwassermessstellen der öffentlichen Wasserversorger (Kooperationsmessnetz). Die zum Kooperationsmessnetz zählenden öffentlichen Wasserversorger stellen der LfU ihre Messdaten auf freiwilliger Basis zur Verfügung.
Im Herbst 2000 setzten sich die Grundwasserbeschaffenheitsmessstellen des Landes wie in Übersicht 2 dargestellt zusammen.

Vergleicht man das baden-württembergische Netz mit dem von Nordrhein-Westfalen, so hat Baden-Württemberg mit diesen 2.132 Grundwassermessstellen ein deutlich dichteres Netz als Nordrhein-Westfalen mit 1.450. Da die Landesfläche beider Länder nahezu gleich ist (Baden-Württemberg 35.700 km2, Nordrhein-Westfalen 34.100 km2), Nordrhein-Westfalen aber eine wesentlich höhere Bevölkerungs-, Industrie- und Verkehrsdichte, einen geringeren Waldanteil und eine intensivere Landwirtschaft hat, wäre eher die umgekehrte Größenordnung zu erwarten gewesen.
Im Jahr 2000 wurden nach dem Bericht der LfU zum Grundwasserüberwachungsprogramm fast 2.200 Proben entnommen und analysiert. Die Durchführung des Grundwasserüberwachungsprogramms ist weitestgehend privatisiert. Die LfU beschränkt sich auf die Gesamtkoordination sowie auf Plausibilitätsprüfungen und die Auswertung der Daten. Nicht nur Probenahme und Analytik wurden an private Firmen bzw. Labors vergeben, auch die Messnetzregie ist privatisiert. Der Leistungskatalog, den das beauftragte Ingenieurbüro abzuarbeiten hat, beinhaltet Aufgaben wie Preisanfrage bei Labors, Beauftragung im Namen der LfU, Überprüfung der Probenahme, Datenrücklauf, Qualitätssicherung, Einlesen in die Datenbank und Berichtswesen.
Angesichts der hohen Kosten für das Grundwasserüberwachungsmessnetz stellt sich die Frage, ob eine Beprobung in diesem Umfang notwendig ist.
Eine wesentliche Verbesserung der Wirtschaftlichkeit würde sich ergeben, wenn die Wasserwerke gesetzlich zur regelmäßigen Analyse des Rohwassers und zur Weiterleitung der Daten an die LfU verpflichtet würden. Sie sind derzeit nach der Trinkwasserverordnung nur zur Untersuchung ihres Produktes Wasser, das sie an die Verbraucher abgeben, verpflichtet. Ein Großteil der Wasserversorgungsunternehmen lässt bereits heute im Rahmen des Kooperationsmessnetzes das Rohwasser untersuchen und stellt die Daten der LfU zur Verfügung.
Der RH empfiehlt deshalb, eine gesetzliche Verpflichtung zu schaffen, die es den Wasserversorgern auferlegt, das Rohwasser nach einem normierten Verfahren zu untersuchen und die Ergebnisse der Untersuchungen den Umweltbehörden (insbesondere der LfU) zur Verfügung zu stellen.
Wenn künftig die Rohwasserdaten aller Wasserversorger zur landesweiten Grundwasserüberwachung verwendet werden können, könnte das Land seine eigenen Messungen stark reduzieren und damit erhebliche Kosten sparen.
Anstatt wie bisher im 5-jährigen Turnus sehr umfangreiche Untersuchungen durchzuführen, hält der RH ein Trendmessnetz mit weniger Messstellen, die aber regelmäßig auf alle relevanten Wirkstoffgruppen untersucht werden, für sinnvoller. Dieses Trendmessnetz sollte dann durch zielgerichtete Aktionen, die auf den Untersuchungsergebnissen des Trendmessnetzes beruhen, ergänzt werden.
Konkret könnte ein solches Trendmessnetz für die Grundwasserbeschaffenheit so aussehen, dass in den einzelnen Teilmessnetzen jeweils 30 - 50 Messstellen jährlich beprobt werden. Die Messstellen des Trendmessnetzes sollten so gewählt werden, dass sich die Rohwassermessstellen der Wasserversorger und die Teilmessnetze, bestehend aus
- Basismessnetz (anthropogen unbeeinflusste Gebiete),
- Emittentenmessnetz Landwirtschaft,
- Emittentenmessnetz Industrie,
- Emittentenmessnetz Siedlung sowie
- Quellmessnetz
ergänzen.
Mit einer größeren Zahl der Messstellen, wie sie die LfU heute vorhält, steigt zwar auch die statistische Aussagekraft der erhobenen Stichprobe, allerdings nur unterproportional. Aus diesem Grund und aus Kostengründen ist der RH der Auffassung, dass je Teilmessnetz nicht mehr als 50 repräsentativ ausgewählte Messstellen beprobt werden sollten.
Der Vorteil dieser Messnetzkonzeption wäre, dass durch eine häufige, systematische Messung aller Problemstoffe, differenziert nach emissionsbezogenen Teilmessnetzen, evtl. Probleme frühzeitig erkannt werden können. Aufbauend auf den Ergebnissen des Trendmessnetzes kann dann in einem zweiten Schritt zielgerichtet weiter untersucht werden.
Ein weiterer wichtiger Vorteil dieses Konzeptes sind die deutlich niedrigeren Kosten. Zwar ist davon auszugehen, dass bei diesem System die durchschnittlichen Kosten für Probenahme und Analytik wegen der größeren Anzahl von Parametern steigen werden; diese Mehrkosten werden aber durch die geringere Probenzahl mehr als kompensiert. Konkret sind bei dem hier vorgeschlagenen Trendmessnetz - bei jährlich 50 Trendmessstellen je Teilmessnetz - jährlich 250 Proben mit umfassender Analytik erforderlich.
7 Die Reintegration der Gesellschaft für Umweltmessungen und Umwelterhebungen mbH in die Landesanstalt für Umweltschutz
Der RH hat im Rahmen der Untersuchung nicht im Einzelnen erhoben, unter welchen Rahmenbedingungen eine Reintegration der UMEG in die LfU angezeigt ist. Eine generelle Stellungnahme aus Sicht des RH ist gleichwohl möglich.
1. Eine Wiedereingliederung der UMEG in die LfU wäre rechtlich und organisatorisch möglich. Auch die Tatsache, dass die Mehrzahl der Angestellten der UMEG gegenwärtig noch abweichend vom BAT vergütet wird, steht einer Reintegration juristisch nicht entgegen.
2. Die Vorteile einer Reintegration der UMEG liegen auf der Hand:
- Das Problem ungeklärter Schnittstellen und redundanter Kapazitäten zwischen LfU und UMEG, wie sie sich auch bei der vorliegenden Prüfung gezeigt haben, kann innerhalb einer Institution einfacher gelöst werden als zwischen zwei unabhängig arbeitenden Einrichtung.
- Die UMEG verfügt heute über umfangreiche und leistungsfähige Laboreinrichtungen, parallel dazu unterhält die LfU ebenfalls eigene Laboreinrichtungen. Im Zuge der Reintegration können die Labore unter einem organisatorischen Dach zusammengefasst und Doppelkapazitäten abgebaut werden.
- Im Bereich der Leitung und der Verwaltung ergeben sich durch die Zusammenfassung beider Einrichtungen Synergieeffekte.
- Durch die Fusion der beiden Einrichtungen werden Personaleinsparungen ermöglicht, deren Umfang über die oben aufgezeigten 30 Stellen hinausgeht.
Ein Verschieben der aufgezeigten Einsparmöglichkeiten im Hinblick auf eine spätere Reintegration der UMEG ist nicht angezeigt. Insbesondere verursacht die Reintegration der UMEG keinen zusätzlichen Raumbedarf.
8 Stellungnahme der Verwaltung
Die LfU hat zu den Vorschlägen des RH ausführlich Stellung genommen. Das UVM hat sich dieser Stellungnahme im Wesentlichen angeschlossen.
Die LfU verspricht sich durch die im Zuge der Verwaltungsreform vorgesehene Reintegration der UMEG in die LfU eine Stärkung der Einrichtung. Sie schlägt vor, über Änderungen der Rechtsform, des Aufbaus und der Unterbringung der LfU erst nach erfolgter Fusion zu entscheiden. Das UVM erklärt, die Empfehlungen des RH würden im Rahmen dieses Prozesses angemessen Berücksichtigung finden.
Unabhängig davon wendet sich die LfU gegen die vom RH vorgeschlagenen Stelleneinsparungen. Die vom RH zur Einsparung vorgeschlagenen Personalressourcen im Bereich Telefondienst, Schreibdienst und Fahrbereitschaft werden nach Auffassung der LfU wirtschaftlich eingesetzt; eine Privatisierung oder Verlagerung der Aufgaben in die Fachabteilungen erweise sich als teurer als die heutige Lösung.
Der für die Abteilungen 2, 3 und 4 vorgeschlagene Aufgabenabbau könne nicht realisiert werden, da die Aufgaben unverzichtbar seien. Demzufolge sei auch die Einsparung des dafür eingesetzten Personals nicht möglich.
Weiterhin tritt die LfU Aufgabenverlagerungen auf andere Landesbehörden entgegen. Es handele sich bei den betroffenen Aufgaben um integrale Bestandteile eines ganzheitlich konzipierten Umweltschutzes.
Hinsichtlich der vom RH vorgeschlagenen Abmietung des Gebäudes Benzstraße 5 weist die LfU darauf hin, dass eine abschließende Beurteilung der Unterbringungssituation erst nach erfolgter Reintegration der UMEG möglich sein werde. Im Übrigen habe der RH verkannt, dass bei einer Verlagerung der HVZ für die Dauer des Umzugs eine zweite Anlage eingesetzt werden müsse, um die ständige Einsatzbereitschaft der HVZ zu gewährleisten.
Bei der Berechnung des Zuschusses, den der Freistaat Bayern jährlich zu den Kosten des ISF leiste, muss nach Auffassung der LfU berücksichtigt werden, dass keineswegs alle Arbeiten des ISF, die den Bodensee betreffen, auch dem Freistaat zugute kommen. Vor diesem Hintergrund erweise sich der im Jahr 1998 mit 42.949 € errechnete jährliche Zuschuss als sachgerecht.
Die vom RH angeregte Reduzierung der Grundwassermessstellen wird von der LfU nicht befürwortet. Das Messnetz sei bereits in den Jahren 1991 und 1997 optimiert worden; eine im Jahr 2001 durchgeführte Überprüfung des baden-württembergischen Grundwassermessnetzes habe sogar ergeben, dass die Messnetzdichte in einigen Teilen Baden-Württembergs hinter den Vorgaben der EU-Wasserrahmenrichtlinie zurückbleibe.
9 Schlussbemerkung
Auch der RH befürwortet die geplante Reintegration der UMEG in die LfU.
Die geplante Reintegration der UMEG steht jedoch weder den vom RH vorgeschlagenen Stelleneinsparungen, noch dem Verzicht auf eine Abteilung und auf 5 Referate entgegen. Da die UMEG heute schon vollständig in einem landeseigenen Gebäude untergebracht ist, ergibt sich kein zusätzlicher Raumbedarf, sodass die vorgeschlagene Räumung des Gebäudes Benzstraße 5 sinnvoll und wirtschaftlich bleibt. Möglicherweise ergeben sich durch die Reintegration der UMEG sogar weitergehende räumliche Einsparmöglichkeiten. Die von der LfU geltendgemachten Mehrkosten des Umzugs der HVZ verlängern möglicherweise die Amortisationszeit des Umzugsaufwands, die Räumung des Gebäudes bleibt aber dennoch wirtschaftlich und wird den Landeshaushalt dauerhaft entlasten.
Der vom RH vorgeschlagene Aufgabenabbau und die damit einhergehenden Personaleinsparungen beeinträchtigen die fachliche Leistungsfähigkeit der LfU nicht. Insbesondere darf die interdisziplinäre Ausrichtung der LfU keine Rechtfertigung dafür sein, dass Aufgaben innerhalb der Landesverwaltung doppelt oder mehrfach wahrgenommen werden.
Auch an seinen Vorschlag zur Erhöhung der Beteiligung des Freistaates Bayern an den Kosten des ISF hält der RH fest. Selbst wenn einzelne Aufgaben des ISF dem Freistaat nicht zugute kommen und vor diesem Hintergrund Abschläge von der vom RH errechneten Summe zu machen sein sollten, übersteigt diese den tatsächlich vereinbarten Beitrag bei weitem.
Die Europäische Wasserrahmenrichtlinie steht dem vom RH vorgeschlagenen System eines reduzierten Grundwassermessnetzes nicht entgegen; ihre weitgehend qualitativen Vorgaben lassen dem Land genügend Spielraum, die Dichte der Messstellen und die Frequenz der Messungen auch unter Berücksichtigung wirtschaftlicher Kriterien zu bestimmen.
Was wurde aus dem Beitrag?
Die parlamentarische Behandlung finden Sie hier
Anhänge
Einzelplan 12: Allgemeine Finanzverwaltung
Der Rechnungshof hält eine Optimierung des Festsetzungs- und Erhebungsverfahrens bei der Kraftfahrzeugsteuer für geboten und hat hierzu Vorschläge gemacht. Bei den Kraftfahrzeugsteuerstellen der Finanzämter können so 21,5 Personalstellen entfallen. Würde die Kraftfahrzeugsteuer auf die Mineralölsteuer umgelegt, könnten alle 418 Stellen in diesem Bereich und damit knapp 21 Mio. € pro Jahr eingespart werden. Dies würde aber voraussetzen, dass Fragen des Europarechts beantwortet, die Kompensation für die Bundesländer geklärt sowie ein deutlich höherer Benzin- und Dieselpreis politisch durchsetzbar wären. Außerdem müsste der Gesetzgeber auf derzeit im Kraftfahrzeugsteuergesetz enthaltene ökologische und soziale Subventions- und Lenkungssysteme verzichten, weil Ersatzlösungen mit kostenträchtiger Bürokratie verbunden wären.
1 Prüfungsanlass
Der RH hat die Festsetzung und Erhebung der Kraftfahrzeugsteuer (KraftSt) im Rahmen einer Querschnittsprüfung landesweit untersucht. Anlass dafür war u. a. die aktuelle Vorgabe des Gesetzgebers an die Bundesregierung, die Umlegung der Kraftfahrzeugsteuer auf die Mineralölsteuer (MinöSt) bis zum Ende des Jahres 2002 zu überprüfen.
2 Ausgangslage
2.1 Die Festsetzung der KraftSt und alle damit im Zusammenhang anfallenden Aufgaben sind den Kraftfahrzeugsteuerstellen (KraftSt-Stellen) der Finanzämter übertragen. Die Erhebung der KraftSt wird von den Finanzkassen und in nicht unerheblichem Maße auch von den Vollstreckungsstellen wahrgenommen.
2.2 KraftSt-Stellen sind bei 71 der insgesamt 81 Finanzämter im Land eingerichtet. Aufgabe dieser Stellen ist im Wesentlichen die Festsetzung der KraftSt bei Neuzulassungen, Ummeldungen, Abmeldungen und Stillegungen von Fahrzeugen. Des Weiteren entscheiden die KraftSt-Stellen über die Gewährung von Steuerermäßigungen und Steuerbefreiungen für begünstigte Personengruppen oder Fahrzeuge.
2.3 Die Tätigkeit der KraftSt-Stellen ist entscheidend von der engen Zusammenarbeit mit den Zulassungsbehörden geprägt. Diese erheben die steuerlich relevanten Daten und teilen sie der Finanzverwaltung im Wege des sog. Datenträgeraustauschs mit. Weisen die übermittelten Daten keine Unschlüssigkeiten auf, werden sie automatisch verarbeitet; die Ergebnisse - im Wesentlichen Steuerbescheide - werden automatisch erstellt und zentral versandt. Die KraftSt wird somit im Regelfall vollständig maschinell festgesetzt.
2.4 Dieser hohe Automationsgrad schlägt sich auch in der Entwicklung der Personal- und Fallzahlen nieder, wie Schaubild 1 zeigt.

Infolge der zunehmenden Automation konnten die kontinuierlich steigenden Fallzahlen mit immer weniger Personal bewältigt werden. Im Ergebnis hat sich die von einem Bediensteten zu betreuende Zahl der KraftSt-Fälle seit 1996 um mehr als 27 % - von knapp 29.500 auf rd. 37.500 - erhöht. Zum 01.01.2002 verwalteten demnach 186,25 Arbeitskräfte einen Bestand von knapp 7 Mio. Kraftfahrzeugen.
2.5 Das Aufkommen an KraftSt steht nach Art. 106 Abs. 2 Nr. 3 GG ausschließlich den Ländern zu. Die bundes- und landesweite Entwicklung ist dem Schaubild 2 zu entnehmen.

Der Vergleich zeigt eine nahezu parallele Entwicklung auf. Dem Anstieg des KraftSt-Aufkommens bis 1998 folgte insgesamt ein leichter Rückgang bis zum Jahr 2000. Sowohl für den Anstieg im Jahr 2001 als auch für den Rückgang des Aufkommens im Jahr 2002 dürfte die Erhöhung der Steuersätze zum 01.01.2001 ursächlich sein, die wohl viele Bürger dazu veranlasst hat, ihr hoch besteuertes Altfahrzeug durch ein steuerlich günstigeres Fahrzeug zu ersetzen.
Das Aufkommen betrug im Jahr 2002 rd. 1.091 Mio. €, d. h. 5,1 % der gesamten Steuereinnahmen des Landes (21.303 Mio. €).
2.6 Das materielle Kraftfahrzeugsteuerrecht entwickelte sich im Laufe der Jahre von einer vergleichsweise übersichtlichen und einfachen Steuer zu einem von diversen Begünstigungs- und Befreiungstatbeständen durchsetzten „Ausnahmen-Gesetz“, das in zunehmendem Maße als umwelt- und wirtschaftspolitisches Steuerungsinstrument dient. So beinhaltete das Kraftfahrzeugsteuergesetz (KraftStG) vom 01.02.1979 nur eine Befreiungsnorm und enthielt eine denkbar einfache Regelung zur Steuerberechnung; die Jahressteuer für alle durch Hubkolbenmotor angetriebenen Personenkraftwagen betrug einheitlich 14,40 DM je angefangene 100 ccm Hubraum. Bis 1994 wurden dann zeitweise bis zu sieben zusätzliche, teils sehr umfangreiche Begünstigungsnormen hinzugefügt. Die aktuelle Fassung des KraftStG vom 24.05.1994 (BGBl. I S. 1102) wurde bis zum heutigen Tage durch elf Änderungsgesetze teilweise gravierend umgestaltet. Sie ist durch eine sehr differenzierte Ausgestaltung der Steuersätze geprägt.
3 Prüfungsfeststellungen zur Festsetzung der Kraftfahrzeugsteuer
3.1 Benchmarking und Einsparpotenzial
3.1.1 Der RH hat im Rahmen seiner Untersuchungen festgestellt, dass die auf Basis der Fahrzeugbestandsstatistiken ermittelten Leistungswerte der einzelnen KraftSt-Stellen landesweit erheblich differieren. Die Spitzenwerte liegen bei über 53.000 Fahrzeugen je Arbeitskraft, während das untere Ende der Bandbreite Werte von deutlich unter 30.000 Fahrzeugen aufweist. Als Leistungsmaßstab hat der RH einen Wert von 45.000 Fahrzeugen je Arbeitskraft zu Grunde gelegt, der landesweit von zehn KraftSt-Stellen erreicht oder übertroffen wird.
3.1.2 Bei einem Benchmark von 45.000 Fahrzeugen je Arbeitskraft ergibt sich rechnerisch ein landesweites Einsparpotenzial von rd. 32 Arbeitskräften . Zu berücksichtigen ist jedoch, dass es sich bei den einzelnen KraftSt-Stellen vielfach um sehr kleine Verwaltungseinheiten handelt. Bezogen auf die einzelne KraftSt-Stelle hält der RH daher ein Einsparpotenzial nur dann für realisierbar, wenn mindestens eine halbe Arbeitskraft oder ein Vielfaches davon eingespart werden kann. Auf der Basis dieser Überlegungen beträgt das Einsparvolumen landesweit 21,5 Arbeitskräfte, das sind rd. 11,5 % der bisher eingesetzten 186,25 Bediensteten.
3.1.3 Durch eine teilweise oder vollständige Zentralisierung der KraftSt-Stellen könnten darüber hinaus maximal weitere 10,5 Personalstellen entfallen. Der RH geht jedoch davon aus, dass dieses zusätzliche Einsparpotenzial den mit einer entsprechenden Neuorganisation verbundenen Aufwand nicht rechtfertigt.
3.1.4 Auf eine Berechnung des durch die nachfolgenden Optimierungsvorschläge erzielbaren Einsparpotenzials wurde bewusst verzichtet, da die voraussichtlichen Auswirkungen einzeln nur schwer bezifferbar sind. Der RH geht zudem davon aus, dass der durch Benchmarking ermittelte Wert von 21,5 Arbeitskräften das insoweit mögliche Einsparpotenzial weitgehend mit umfasst. Die Vorschläge sollen die Realisierung dieses Potenzials unterstützen.
3.2 Vergünstigungen für Schwerbehinderte (§ 3a Kraftfahrzeugsteuergesetz)
3.2.1 Der Bürger kann derzeit bereits bei der Fahrzeugzulassung gegenüber der Zulassungsbehörde erklären, dass er eine entsprechende Steuervergünstigung in Anspruch nehmen möchte. In solchen Fällen wird die maschinelle Steuerfestsetzung zunächst zurückgestellt, und die Finanzverwaltung übersendet dem Bürger ein Antragsformular nebst Begleitschreiben, in dem auf die Erforderlichkeit eines separaten Antrags sowie auf die Vorlage der notwendigen Unterlagen hingewiesen wird. Bei der Bearbeitung dieser Anträge durch die Finanzämter werden der Behindertenausweis und ggf. das Beiblatt zum Ausweis rein formal dahingehend überprüft, ob die für die Vergünstigung erforderlichen Eintragungen (z. B. Merkzeichen „H“ für hilflos) vorliegen.
3.2.2 Der RH empfiehlt, diese nur wenig Mehraufwand verursachende Formalprüfung künftig den Zulassungsbehörden zu übertragen. Die Steuerbefreiung oder Steuerermäßigung könnte dann - ohne Arbeitschritte bei den Finanzämtern auszulösen - unmittelbar im maschinellen Festsetzungsverfahren gewährt werden. Zudem würde das Verfahren für die schwerbehinderten Bürger erheblich vereinfacht, da der bisher regelmäßig erforderliche zusätzliche Gang zum Finanzamt entfallen könnte.
3.3 Sonderregelung für Kraftfahrzeuganhänger (§ 10 Kraftfahrzeugsteuergesetz)
3.3.1 Auf Antrag können Anhänger steuerbefreit werden, solange sie hinter Zugmaschinen mitgeführt werden, für die der Fahrzeughalter eine um einen Anhängerzuschlag erhöhte Steuer entrichtet. Die Umsetzung dieser Begünstigungsregelung bereitet den KraftSt-Stellen erhebliche Probleme: Da die Steuerbefreiung an die tatsächliche Verwendung der Anhänger anknüpft, ist eine effektive Überwachung derzeit nahezu unmöglich. Sie erfolgt im Wesentlichen an Hand von Kontrollmitteilungen des Bundesamts für Güterverkehr, der Zollbehörden oder der Polizei über die von diesen stichprobenweise kontrollierten Gespanne. Darüber hinaus führen die KraftSt-Stellen von Zeit zu Zeit Anfrageaktionen bei ausgewählten Fahrzeughaltern durch, welche z. B. steuerbefreite Anhänger, aber keine ausreichend belasteten Zugmaschinen zugelassen haben. Die letzte landesweit durchgeführte Anfrageaktion führte zu Steuernachforderungen von mehr als 1,5 Mio. €.
3.3.2 Der RH hält die bisherige Besteuerungspraxis für unzureichend. Zur Verfahrensoptimierung empfiehlt er folgende Maßnahmen:
- Um die Kontrollen auf der Straße zu erleichtern, sollte auf eine Ausübung der Ermächtigung in § 15 Abs. 1 Nr. 9 KraftStG und damit auf die Einführung eines besonderen Zugmaschinen-Kennzeichens hingewirkt werden, welches idealerweise auch Rückschlüsse auf die Höhe des Anhängerzuschlags zulässt. Dadurch wäre bei Verkehrskontrollen - aber auch bereits im „Vorbeifahren“ - auf einen Blick ersichtlich, ob eine zutreffende Besteuerung erfolgt ist.
- Die Zulassungsbehörden sollten für die Belange der KraftSt besser sensibilisiert werden und bei der Zulassung von Zugmaschinen gezielt erfragen, ob und in welcher Höhe ein Anhängerzuschlag zu erheben ist. Ergänzend hierzu sollten die Bediensteten bei der Wiederzulassung von Zugmaschinen einen programmgesteuerten Hinweis erhalten, falls diese Zugmaschine vormals mit einem Anhängerzuschlag besteuert wurde.
- Die Fahrzeughalter sollten verpflichtet werden, bei der Zulassung eines in der Folge steuerbefreiten Anhängers das Kennzeichen einer ausreichend belasteten Zugmaschine anzugeben. Nach Übernahme dieser Kennzeichen in den Datenbestand der KraftSt-Stellen könnten überprüfungswürdige Fälle DV-gestützt und damit wesentlich einfacher selektiert werden.
- Wird an Hand einer Kontrollmitteilung (s. Pkt. 3.3.1) festgestellt, dass ein steuerbefreiter Anhänger hinter einer nicht ausreichend belasteten Zugmaschine verwendet wurde, so ist die Anhängersteuer für die Dauer der unzulässigen Verwendung, mindestens jedoch für einen Monat nachzuentrichten. Dieser Mindestbesteuerungszeitraum sollte deutlich ausgeweitet werden.
3.4 Abgrenzung zwischen PKW und LKW
3.4.1 Einen besonderen Stellenwert in der Arbeit der KraftSt-Stellen nimmt die korrekte Einstufung von Fahrzeugen als PKW (Hubraumbesteuerung) oder als LKW (Besteuerung nach dem zulässigen Gesamtgewicht) ein. Die Abgrenzungsproblematik führt häufig zu Prüf- oder Abbruchhinweisen bei der maschinellen Verarbeitung, zu aufwändigen Nachermittlungen und Nachfragen bei den Zulassungsbehörden sowie nicht selten auch zu Rechtbehelfs- und Klageverfahren.
3.4.2 Durch eine Harmonisierung des KraftSt- und des Zulassungsrechts könnte diese Problematik weitgehend entschärft werden. Der RH hält daher die Schaffung einheitlicher Abgrenzungskriterien für wünschenswert. Sollte eine entsprechende Harmonisierung nicht erreichbar sein, regt der RH an, den KraftSt-Stellen einen beschränkten Zugriff auf die Daten der Zulassungsbehörden einzuräumen. Dieser Zugriff könnte in Abgrenzungsfällen sowohl die KraftSt-Stellen als auch die Zulassungsbehörden nicht unwesentlich entlasten.
3.5 Ermittlungen
3.5.1 Sind Bescheide oder sonstige Schreiben der Finanzämter mangels korrekter Adressdaten unzustellbar, muss die aktuelle Adresse ermittelt werden. Derzeit werden die neuen Adressen telefonisch oder schriftlich bei den zuständigen Meldebehörden erfragt. Auf diese Ermittlungen entfällt bei den KraftSt-Stellen ein Anteil von nahezu 8 % der gesamten Arbeitszeit. Nach Auffassung des RH könnten Adressermittlungen auch für die Meldebehörden wesentlich effizienter abgewickelt werden, wenn den beteiligten Stellen in den Finanzämtern ein beschränkter Online-Zugriff auf die Daten der Meldebehörden eingeräumt würde.
3.5.2 Soweit den Finanzämtern - z. B. wegen fehlender Teilnahme am Einzugsermächtigungsverfahren - keine Bankverbindungsdaten der Bürger bekannt sind, müssen diese in Erstattungsfällen erfragt und im Anschluss im DV-System erfasst werden. Gerade bei der KraftSt steht den geringen Erstattungsbeträgen damit ein relativ hoher Verwaltungsaufwand gegenüber. Erhebliches Rationalisierungspotenzial sieht der RH hier insbesondere darin, den Anteil der Bürger, die am Einzugsermächtigungsverfahren bei der KraftSt teilnehmen (rd. 56 %), weiter zu erhöhen. Die Zulassungsbehörden sollten daher auf eine solche Teilnahme hinwirken und im Hinblick auf einen besseren Bürgerservice auch die erforderlichen Bankverbindungsdaten entgegennehmen. Ein optimales Ergebnis, d. h. eine nahezu ausschließliche Abwicklung des Zahlungsverkehrs im Einzugsermächtigungsverfahren, dürfte nach Auffassung des RH allerdings nur durch die Einführung einer entsprechenden gesetzlichen Verpflichtung (s. Pkt. 4.4.5) erzielbar sein.
3.6 Standortwechsel ohne Halterwechsel
3.6.1 Zieht ein Fahrzeughalter um und verlegt hierdurch den Standort seines Fahrzeugs in den Zuständigkeitsbereich eines anderen Finanzamts, erfolgt das Aktenabgabe- bzw. Übernahmeverfahren teilweise noch manuell. Zu unterscheiden ist dabei zwischen Standortverlegungen innerhalb von Baden-Württemberg und Standortverlegungen über die Landesgrenzen hinweg.
3.6.2 Bei Standortverlegungen innerhalb von Baden-Württemberg hat die abgebende KraftSt-Stelle lediglich die in einem sog. Übernahmeschreiben des neu zuständigen Finanzamtes mitgeteilten Daten in das DV-System einzugeben; hierdurch werden alle Erhebungs- und Festsetzungsdaten automatisch an das neu zuständige Finanzamt überspielt. Eine Überprüfungsmöglichkeit der im Übernahmeschreiben ausgewiesenen Daten besteht dabei nicht. Der RH regt daher an, auf dieses Übernahmeschreiben zu verzichten und den Standortwechsel innerhalb Baden-Württembergs vollständig zu automatisieren.
3.6.3 Wird der Standort eines Fahrzeuges über die Landesgrenzen hinweg verlegt, können insbesondere die Erhebungsdaten, d. h. die KraftSt-Speicherkonten, nicht überspielt werden. Dies erfordert einen zusätzlichen nicht unerheblichen Aufwand bei den Finanzkassen für den manuellen Aufbau dieser Konten. Nach Auffassung des RH sollten bundeslandübergreifende Standortverlegungen als Abmeldung und nachfolgende (Neu-) Anmeldung behandelt werden. Der Arbeitsaufwand ließe sich dadurch auf ein Minimum reduzieren, weil eine vollständige Automatisierung wie bei der normalen Zulassung (s. Pkt. 2.3) möglich wäre. Der RH hat die Landesregierung um Prüfung der technischen Voraussetzungen gebeten. Gegebenenfalls wäre die für einen Übergang zum An- und Abmeldeverfahren erforderliche Gesetzesänderung (§ 12 Abs. 4 KraftStG) zu initiieren.
3.7 Reduzierung von Telefonaten
3.7.1 Insbesondere nach Steuersatzänderungen wächst der ohnehin schon erhebliche Zeitanteil der KraftSt-Stellen für Telefonate um ein Vielfaches an. Ursächlich hierfür sind zum einen der unübersichtliche Aufbau der Steueränderungsbescheide und zum anderen die für viele Bürger unverständliche „rückwirkende“ Steuererhöhung mit Wirkung zum ersten Januar eines Kalenderjahres. Letztere bewirkt, dass die „Nachzahlung“ für die Bürger um so höher ausfällt, je später die normale Fälligkeit im Kalenderjahr eintritt. Hierzu ein Beispiel:
Ein Bürger hat für sein Fahrzeug seit Jahren regelmäßig zum 01.11. KraftSt in Höhe von 379,40 € zu entrichten. Nach der Steuersatzerhöhung zum 01.01.2001 beträgt die jährliche KraftSt 461,20 €. Der Bürger erhält vier Wochen vor Fälligkeit einen Steueränderungsbescheid, wonach zum 01.11.2001 sowohl 461,20 € für den folgenden Erhebungszeitraum als auch 68,17 € (10/12 der Steuererhöhung) für die Zeit vom 01.01. bis 30.10.2001 zu entrichten sind.
Der RH hält diese Problematik für vermeidbar. Da die aktuelle Gesetzesfassung zum 01.01.2005 eine weitere Steuersatzerhöhung vorsieht, bittet er zu prüfen, ob die KraftSt-Bescheide dann soweit wie möglich bereits im Jahr 2004 - vor der entsprechenden Steuersatzerhöhung - geändert werden können. Die Erhöhungsbeträge könnten dadurch zeitnah eingenommen werden, und die für den Bürger schwer verständliche Rückwirkung könnte entfallen. Darüber hinaus empfiehlt der RH, auf eine übersichtlichere Gestaltung der bundeseinheitlichen KraftSt-Änderungsbescheide hinzuwirken.
3.7.2 Viele Bürger erkundigen sich im Vorfeld des Erwerbs eines Kraftfahrzeugs telefonisch nach der voraussichtlichen Höhe der KraftSt. Nach Auffassung des RH könnte die Zahl der Anrufe durch ein internetbasiertes Informationssystem mit entsprechendem KraftSt-Berechnungsprogramm deutlich reduziert werden; ein solches System kommt mit gutem Erfolg im Bereich der OFD Hannover bereits zum Einsatz.
3.8 Weitere Verbesserungsvorschläge
Der RH hat in seinem Bericht an das FM weitere Verbesserungsmöglichkeiten aufgezeigt. Er regt insbesondere an, auf diverse Listen und Hinweise zu verzichten, das Ablagesystem zu vereinfachen sowie die Software der Zulassungsbehörden und der KraftSt-Stellen bei bestimmten Fallgestaltungen mit Plausibilitätsprüfungen zu versehen.
4 Prüfungsfeststellungen zur Erhebung der Kraftfahrzeugsteuer
4.1 Vorbemerkung
Mit der Erhebung der KraftSt sind neben den Finanzkassen in nicht unerheblichem Maße auch die Vollstreckungsstellen der Finanzämter befasst. Die Tätigkeit der Finanzkassen hat der RH bereits im Jahr 1999 untersucht und Rationalisierungsmöglichkeiten aufgezeigt . Die aktuelle Untersuchung konnte daher hinsichtlich des Erhebungsbereichs auf die Beteiligung der Vollstreckungsstellen beschränkt werden.
4.2 Verfahrensablauf
4.2.1 Die jährlich im Voraus zu entrichtende KraftSt wird regelmäßig unbefristet festgesetzt, d. h. der (erstmalige) Steuerbescheid bleibt solange wirksam, bis das Fahrzeug abgemeldet wird oder - z. B. wegen einer Erhöhung der Steuersätze - ein geänderter Steuerbescheid ergeht. Im Jahr der Zulassung - nachfolgend Erstjahr genannt - tritt die Fälligkeit einen Monat nach Bekanntgabe des Steuerbescheids ein. Für die Folgejahre bestimmt sie sich im Regelfall nach dem Fälligkeitsdatum im Erstjahr.
4.2.2 Wird die KraftSt bei Fälligkeit nicht entrichtet, ist hinsichtlich des weiteren Verfahrensablaufs zwischen dem Erstjahr und den Folgejahren zu unterscheiden. Während die Vollstreckungsstellen im Erstjahr in der Regel erst nach etwa drei Monaten mit der Beitreibung beauftragt werden, wird das Vollstreckungsverfahren für die KraftSt der Folgejahre bereits nach etwa einem Monat eingeleitet.
4.2.3 Von Einzelfällen abgesehen, werden die KraftSt-Fälle zunächst den Vollziehungsbeamten - d. h. dem Vollstreckungsaußendienst - zur Bearbeitung zugewiesen. Bleiben deren Beitreibungsversuche ohne Erfolg und können die Rückstände auch durch die nachfolgenden Maßnahmen des Vollstreckungsinnendienstes wie z. B. Lohn- oder Kontenpfändungen nicht beigetrieben werden, wird als letztes Mittel das Zwangsabmeldungsverfahren eingeleitet. Ist die Zwangsabmeldung vollzogen, werden die Rückstände durch den Vollstreckungsinnendienst im Allgemeinen niedergeschlagen.
4.3 Bedeutung der Kraftfahrzeugsteuer für die Tätigkeit der Vollstreckungsstellen
4.3.1 Mehr als 20 % der von den Vollstreckungsstellen zu bearbeitenden Fälle entfallen auf die Beitreibung von KraftSt. In den letzten Jahren ist zwar eine rückläufige Entwicklung zu verzeichnen; gleichwohl war der Zugang von 197.096 KraftSt-Fällen im Jahr 2001 noch immer unverhältnismäßig hoch. Im Gegensatz zum relativ hohen Fallzahlenanteil sind die Steuerbeträge - verglichen mit den übrigen beizutreibenden Steuern - jedoch von eher untergeordneter Bedeutung. So stand dem Zugang an beizutreibenden Veranlagungssteuern in Höhe von 1.687 Mio. € im Jahr 2001 ein Zugang an KraftSt von lediglich 40,11 Mio. € gegenüber.
4.3.2 Der RH hat durch Arbeitsaufzeichnungen der Bediensteten der Vollstreckungsstellen den Zeitaufwand für die Beitreibung der KraftSt erhoben. Die Auswertung ergab, dass auf der Basis des Personalbestands zum 01.01.2002 landesweit rd. 100 der insgesamt 590 Arbeitskräfte (ohne Sachgebietsleiter) ausschließlich mit der Beitreibung der KraftSt befasst sind.
4.3.3 Diesem Personaleinsatz steht ein im Jahresvergleich relativ konstanter Vollstreckungserfolg in Höhe von zuletzt 88 % der insgesamt beizutreibenden KraftSt gegenüber. So konnten im Jahr 2001 von rd. 40,5 Mio. € rückständiger KraftSt 35,8 Mio. € realisiert werden, die übrigen 4,7 Mio. € fielen für den Landeshaushalt aus.
4.3.4 Der Vollstreckungserfolg lässt darauf schließen, dass die vorhandenen Instrumentarien zur Beitreibung der KraftSt grundsätzlich greifen. Als Schwerpunkt seiner Untersuchung hat der RH daher geprüft, ob und ggf. mit welchen Maßnahmen sich die Zahl der Vollstreckungsfälle dauerhaft senken lässt und ob weitere Optimierungsmöglichkeiten der Verfahrensabläufe bestehen.
4.4 Reduzierung der Zahl der Vollstreckungsfälle
4.4.1 Bei den örtlichen Erhebungen fand der RH eine Reihe von Fällen vor, in denen unterschiedliche Halter jeweils über mehrere Jahre hinweg Kraftfahrzeuge zugelassen hatten, ohne die entsprechende KraftSt zu entrichten. Hierzu ein Beispiel:
Ein Steuerbürger ließ zwischen 1997 und 2001 nacheinander insgesamt 8 Kraftfahrzeuge zu. Er nutzte diese jeweils mehrere Monate, ohne die entsprechende KraftSt zu bezahlen. Obwohl die Vollstreckungsstelle regelmäßig versucht hatte, die jeweils rückständigen Beträge beizutreiben, fiel die KraftSt für den Landeshaushalt letztendlich aus. Der zeitliche Ablauf wird in Übersicht 1 dargestellt.

4.4.2 Ausgehend von solchen Fallgestaltungen ist der RH der Frage nachgegangen, in wie vielen Fällen die Steuer bereits im Jahr der Zulassung - nachfolgend vereinfacht als „Erststeuer“ bezeichnet - überhaupt nicht oder nur nach Einschaltung der Vollstreckungsstellen bezahlt wird. Dabei wurde durch die Auswertung von erledigten Vollstreckungsfällen sowie durch verschiedene DV-Auswertungen festgestellt, dass jährlich landesweit mehr als 60.000 Kraftfahrzeuge zugelassen werden, für die die Erststeuer nicht ohne Einschaltung der Vollstreckungsstellen entrichtet wird. In knapp 10.000 Fällen kann bereits die Erststeuer nicht oder jedenfalls nur teilweise beigetrieben werden.
4.4.3 Dass die Zulassung eines Kraftfahrzeugs - abhängig von der Fahrzeugart - eine Kraftfahrzeugsteuerfestsetzung auslöst, darf beim Bürger als bekannt vorausgesetzt werden. Sowohl aus fiskalischen Gründen als auch aus Gründen der Steuergerechtigkeit sollte es daher nicht hingenommen werden, dass in einer Vielzahl von Fällen bereits die Erststeuer nicht ohne Vollstreckungsmaßnahmen erhoben werden kann.
4.4.4 Die bestehende Rechtslage sieht Möglichkeiten vor, die Ersterhebung der KraftSt sicherzustellen. So ermächtigt § 13 KraftStG die Landesregierungen, durch Rechtsverordnung zu bestimmen, dass die Aushändigung des Fahrzeugscheins u. a. davon abhängig gemacht werden kann,
- dass für die KraftSt eine Ermächtigung zum Einzug von einem Konto des Fahrzeughalters bei einem Geldinstitut erteilt worden ist oder eine Bescheinigung vorgelegt wird, wonach das Finanzamt auf die Einzugsermächtigung wegen einer erheblichen Härte für den Fahrzeughalter verzichtet (§ 13 Abs. 1 S. 2 Nr. 1b KraftStG),
- dass keine KraftSt-Rückstände bestehen (§ 13 Abs. 1a KraftStG).
Diese Regelungen wurden mit Wirkung ab 09.08.2002 in das KraftStG aufgenommen . Eine Umsetzung ist in Baden-Württemberg bisher nicht erfolgt.
4.4.5 Eine vermehrte Teilnahme am Einzugsermächtigungsverfahren würde sowohl die Finanzkassen als auch die Vollstreckungsstellen und die KraftSt-Stellen deutlich entlasten. Die Entgegennahme der Einzugsermächtigungen dürfte demgegenüber lediglich zu einer nicht wesentlichen und damit vertretbaren Arbeitsmehrbelastung bei den Zulassungsbehörden führen. Der RH empfiehlt daher, von der Ermächtigung in § 13 Abs. 1 S. 2 Nr. 1b KraftStG Gebrauch zu machen. Eine erhebliche Härte, die zu einem Verzicht auf die Teilnahme am Einzugsermächtigungsverfahren berechtigt, dürfte nur selten vorliegen.
4.4.6 Eine deutliche Reduzierung der Vollstreckungsfälle ließe sich nach Auffassung des RH dadurch erreichen, dass Bürgern beim Vorliegen von KraftSt-Rückständen die Aushändigung des Fahrzeugscheins verweigert wird. Der RH regt deshalb den Erlass einer entsprechenden Rechtsverordnung an. Den Zulassungsbehörden könnte in der Folge ein zentraler Datenbestand zur Verfügung gestellt werden, in dem die persönlichen Daten - Name, Vorname, Geburtsdatum und Anschrift - aller Personen abgelegt sind, bei denen KraftSt-Rückstände bestehen. Im Rahmen der Zulassung eines Kraftfahrzeugs könnte sodann programmgesteuert ein Abgleich der persönlichen Daten erfolgen. Bei Übereinstimmung wäre die Aushändigung des Fahrzeugscheins mit dem Hinweis auf bestehende KraftSt-Rückstände zu verweigern.
4.4.7 Sollte das Zurückbehalten des Fahrzeugscheins sich in der Praxis als nicht ausreichende Maßnahme erweisen, empfiehlt der RH, im Wege einer Gesetzesinitiative die Intention des ursprünglichen Gesetzesantrags aufzugreifen. Damals sollte es den Ländern ermöglicht werden, die Zulassung als solche - nicht nur die Aushändigung des Fahrzeugscheins - von den vorstehend beschriebenen Voraussetzungen abhängig zu machen .
4.5 Weitere Optimierungsmöglichkeiten
Wie unter Pkt. 4.2.2 beschrieben, werden die Vollstreckungsstellen mit der Beitreibung von KraftSt-Rückständen im Jahr der Zulassung erst nach etwa drei Monaten beauftragt, während das Vollstreckungsverfahren in den Folgejahren bereits nach etwa einem Monat eingeleitet wird. Nach Auffassung des RH sollte geprüft werden, ob der Zeitraum bis zur Beitreibung der Erststeuer verkürzt werden kann.
5 Kosten-Nutzen-Analyse
5.1 Gesamtbetrachtung
5.1.1 Nachstehend werden die Kosten für die Festsetzung und Erhebung der KraftSt dem Nutzen, d. h. dem KraftSt-Aufkommen, gegenübergestellt. Berücksichtigt werden dabei sowohl die bei den KraftSt-Stellen als auch die bei den Vollstreckungsstellen sowie bei den Finanzkassen anfallenden Personal- und Sachkosten. Auf eine Schätzung des bei den Zulassungs- und Meldebehörden anfallenden Verwaltungsaufwands wurde mangels geeigneter Parameter verzichtet. Es ist jedoch davon auszugehen, dass auch die dort anfallenden Kosten nicht unerheblich sind.
5.1.2 Die aus den Personalzahlen zum 01.01.2002 abgeleiteten Kosten für die Festsetzung und Erhebung der KraftSt in Baden-Württemberg zeigt die Übersicht 2.

Die Gesamtkosten betragen rd. 20,9 Mio. €. Mit 10,9 Mio. € entfällt davon mehr als die Hälfte auf den Bereich der Steuererhebung. Stellt man den Gesamtkosten das KraftSt-Aufkommen 2002 in Höhe von rd. 1.091 Mio. € (s. Pkt. 2.5) gegenüber, ergibt sich ein Verwaltungskostenanteil von rd. 1,92 % des Steueraufkommens.
5.1.3 Nach einer Untersuchung des Bundesfinanzministeriums betrug der Verwaltungskostenanteil für das Jahr 2001 im Bundesdurchschnitt rd. 2,58 %, während für Baden-Württemberg ein Verwaltungskostenanteil von 2,13 % ermittelt wurde. Diese Ergebnisse basierten allerdings nicht auf den jeweiligen tatsächlichen Kosten aus den einzelnen Ländern, sondern auf einer Schätzung nach bundeseinheitlichen Kriterien. Legt man dieser Schätzung den vom RH tatsächlich festgestellten Personaleinsatz zu Grunde, kommt man für das Vergleichsjahr 2001 zu einem Verwaltungskostenanteil von 1,85 %.
5.1.4 Im Ergebnis bleibt damit festzuhalten, dass das Kosten-Nutzen-Verhältnis in Baden-Württemberg jedenfalls erheblich günstiger als der Bundesdurchschnitt ist. Diese Aussage lässt keine direkten Rückschlüsse auf die Effizienz der Arbeit zu, weil die Ursache nicht nur in einem relativ geringen Personalaufwand liegen kann, sondern auch in einem relativ hohen Steueraufkommen.
5.2 Kosten-Nutzen-Verhältnis bei den Vollstreckungsstellen
5.2.1 Die auf die Beitreibung von KraftSt entfallenden Personal- und Sachkosten betragen rd. 5,53 Mio. €. Diesen Kosten steht ein Vollstreckungserfolg von 35,8 Mio. € im Jahr 2001 gegenüber. Die Kosten für die Vollstreckung belaufen sich also auf mehr als 15 % der tatsächlich beigetriebenen KraftSt.
5.2.2 Die ungünstige Kosten-Nutzen-Relation wird auch durch die zu erhebenden Vollstreckungsgebühren - in der Regel Pfändungsgebühren (§ 339 Abgabenordnung) - nur unwesentlich verbessert. Diese Gebühren entstehen, sobald der Vollziehungsbeamte Schritte zur Ausführung des Vollstreckungsauftrags unternommen hat oder sobald eine Pfändungsverfügung zugestellt wurde. Auf Grund der Höhe der beizutreibenden KraftSt wird im Regelfall die Mindestgebühr von 10 € erhoben.
5.2.3 Bei einem durchschnittlichen KraftSt-Rückstand von rd. 204 € je Fall im Jahr 2001 liegen dem Vollstreckungserfolg von 35,8 Mio. € rechnerisch rd. 175.000 erledigte Verfahren zu Grunde. Da jedoch nicht in jedem Fall Vollstreckungsgebühren anfallen, stehen den Gesamtkosten der Vollstreckung von rd. 5,53 Mio. € Vollstreckungsgebühren von weniger als 1,75 Mio. € gegenüber.
5.2.4 Verglichen mit der normalen Steuererhebung stellt die Vollstreckungstätigkeit einen zusätzlichen Verwaltungsaufwand dar. Sinn und Zweck der Vollstreckungsgebühren ist es, diesen Mehraufwand dem Verursacher, d. h. dem säumigen Bürger, aufzuerlegen. Bei der Vollstreckung rückständiger KraftSt decken die Vollstreckungsgebühren jedoch nur weniger als ein Drittel des tatsächlichen Mehraufwands ab. Der RH empfiehlt daher, auf eine Erhöhung der bundeseinheitlich festgelegten Mindestgebühr hinzuwirken.
6 Die Umlegung der Kraftfahrzeugsteuer auf die Mineralölsteuer
6.1 Finanzielle Auswirkungen
6.1.1 Der RH geht bei den folgenden Betrachtungen von einer aufkommensneutralen Umlegung aus; das bundesweite KraftSt-Aufkommen von zuletzt 8.376 Mio. € wäre damit künftig durch eine Erhöhung der MinöSt auf Kraftstoffe sicherzustellen. Da die MinöSt als Bestandteil des Kraftstoffpreises zur umsatzsteuerlichen Bemessungsgrundlage zu rechnen ist, wird jedoch ein Teil des sicherzustellenden Aufkommens über Umsatzsteuer-Mehreinnahmen erbracht, denen allerdings im unternehmerischen Bereich Vorsteuererstattungsansprüche gegenüberstehen. Mangels geeigneter Daten hat der RH den privaten und unternehmerischen Kraftstoffverbrauch auf je 50 % des Gesamtverbrauchs geschätzt. Auf Basis dieser Überlegungen wäre das MinöSt-Aufkommen damit um rd. 7,8 Mrd. € zu erhöhen, wie die nachfolgende Berechnung zeigt:

6.1.2 Für die Erhöhung der MinöSt-Sätze ist eine Vielzahl unterschiedlicher Varianten denkbar. Nachfolgend wird die Berechnung für eine einheitliche Erhöhung der Steuersätze auf Benzin- und Dieselkraftstoffe dargestellt. Dabei werden die Kraftstoffverbrauchszahlen des Jahres 2001 zu Grunde gelegt .

Bei einer einheitlichen Erhöhung müsste der Steuersatz für Benzine und für Dieselkraftstoffe damit jeweils um rd. 108,1 € je 1.000 Liter erhöht werden. Hinzu kämen für den Endverbraucher noch 16 % Umsatzsteuer in Höhe von 17,3 € je 1.000 Liter Kraftstoff. Für einen Liter Kraftstoff hätte der Endverbraucher infolge der Umlegung also rd. 12,5 Cent mehr aufzuwenden. Nach diesem Modell würden Benzin- und Dieselfahrzeuge weiterhin unterschiedlich behandelt werden; die finanzielle Belastung hinge dann jedoch in beiden Fällen erheblich stärker als bisher von der individuellen Fahrleistung ab. Den Nutzern dieselbetriebener PKW verbliebe ein vergleichsweise günstiger MinöSt-Satz, während gleichzeitig die dieseltypisch ungünstigere KraftSt entfiele. Dies hätte in der überwiegenden Zahl der Fälle finanzielle Entlastungen zur Folge. Bei LKW mit hohen Fahrleistungen würden sich durch die Erhöhung des Kraftstoffpreises dagegen finanzielle Mehrbelastungen ergeben.
6.1.3 Eine Angleichung der bisher unterschiedlichen Steuersätze für Benzine und Dieselkraftstoffe und die gleichzeitige Umlegung der KraftSt auf die MinöSt ergäbe für den Endverbraucher eine Erhöhung der Benzinpreise um lediglich 2,4 Cent je Liter, während für Diesel dann sogar 23,8 Cent je Liter mehr bezahlt werden müssten. Bei diesem Modell entfiele die bisherige mineralölsteuerliche Begünstigung der Dieselkraftstoffe. Der Vorteil des dieseltypisch niedrigeren Verbrauchs, der dem Fahrzeughalter weiterhin verbliebe, bekäme ein noch größeres Gewicht. Für private und gewerbliche Vielfahrer wären die finanziellen Mehrbelastungen im Vergleich zum bisherigen System allerdings erheblich.
6.2 Problemfelder
6.2.1 Ein Vergleich der Kraftstoffpreise zeigt, dass Deutschland aktuell bereits über dem Preisniveau von zwei Drittel der Nachbarländer liegt. Nach der Umlegung der KraftSt würde Deutschland voraussichtlich die Spitzenposition einnehmen. Dies gilt insbesondere für den im gewerblichen Bereich wohl überwiegend eingesetzten Dieselkraftstoff. Wettbewerbsnachteile inländischer Unternehmen wären nicht auszuschließen.
6.2.2 Der Gesetzgeber verfolgt mit dem KraftStG neben dem Zweck der Einnahmenerzielung in zunehmendem Maße auch ökologische Lenkungszwecke. So wurden schadstoffarme Fahrzeuge steuerlich begünstigt und im Gegenzug wurde die Besteuerung umweltschädlicherer Altfahrzeuge in drastischer Weise verschärft. Die Umlegung der KraftSt auf die MinöSt hätte zur Folge, dass dieses derzeit weitgehend schadstofforientierte umweltpolitische Steuerungsinstrument verloren ginge. Wollte man die Entwicklung ökologisch innovativer Technologien weiterhin begünstigen, wäre wohl ein fahrzeugbezogenes Subventionssystem einzurichten.
6.2.3 Das KraftStG enthält eine Vielzahl von personen- sowie fahrzeugeinsatzbezogenen Befreiungs- und Ermäßigungsvorschriften. Hierzu rechnen insbesondere die Vergünstigungen für Schwerbehinderte und die Befreiungen für im Feuerwehrdienst, Linienverkehr, Katastrophenschutz und Rettungsdienst eingesetzte Fahrzeuge. Nach einer Umlegung der KraftSt auf die MinöSt gingen solche vom Gesetzgeber gewollten finanziellen Entlastungen verloren. Sollten vergleichbare Begünstigungen auch weiterhin beabsichtigt sein, wäre ebenfalls ein alternatives Subventionssystem zu schaffen.
6.2.4 Im Gegensatz zum Aufkommen an MinöSt, das ausschließlich dem Bund zusteht, weist Art. 106 Abs. 2 Nr. 3 GG das KraftSt-Aufkommen den Ländern zu. Bei Wegfall der KraftSt müsste der nicht unerhebliche Einnahmeausfall der Länder in geeigneter Weise kompensiert werden.
6.2.5 Es ist fraglich, ob die KraftSt im Bereich des Güterverkehrs dem Grunde nach überhaupt entfallen darf. Sowohl das in Art. 76 des EG-Vertrags normierte Schlechterstellungsverbot ausländischer Verkehrsunternehmer als auch die Richtlinie 1999/62/EWG, wonach die Mitgliedsstaaten bestimmte Mindeststeuersätze auf Nutzfahrzeuge über 12 Tonnen zu erheben haben, würden durch den Wegfall der KraftSt tangiert. Darüber hinaus wäre zu klären, wie sich eine Umlegung auf den Regelungsgehalt diverser Doppelbesteuerungsabkommen auswirkt. Bisher enthalten diese Abkommen regelmäßig eine - auf den vorübergehenden Aufenthalt von Fahrzeugen beschränkte - gegenseitige Steuerbefreiung.
7 Empfehlungen und abschließende Betrachtung
7.1 Durch eine Umlegung der KraftSt auf die MinöSt könnte ein großes Einsparpotenzial im Bereich der Steuerverwaltung realisiert werden. Allein in Baden-Württemberg könnten dadurch rd. 418 Personalstellen eingespart und der Landeshaushalt um mindestens 20,9 Mio. € jährlich entlastet werden.
7.2 Neben den noch zu klärenden rechtlichen Fragen, dem weitgehenden Verlust der ökologischen Lenkungswirkung und der erheblichen Verteuerung der Kraftstoffpreise sieht der RH das eigentliche Problem einer Umlegung im bisherigen Begünstigungssystem. Sollten bestimmte Fahrzeuge oder Personengruppen in gleicher Weise wie bisher begünstigt werden, wäre dazu ein entsprechendes Subventionssystem zu schaffen. Einrichtung und Kontrolle eines solchen Systems dürften jedoch schwierig und zwangsläufig mit hohen Kosten verbunden sein. Unter wirtschaftlichen Gesichtspunkten hält der RH daher eine Umlegung der KraftSt nur dann für sinnvoll, wenn auf alternative Lenkungs- und Begünstigungssysteme verzichtet wird. Falls der Gesetzgeber sich dazu entschließen würde, müssten zusätzlich die beschriebenen europäischen Rechtsfragen gelöst werden.
7.3 Sollte die Umlegung der KraftSt auf die MinöSt nicht verwirklicht werden, hält der RH die Optimierung des bestehenden Festsetzungs- und Erhebungsverfahrens für geboten. Hierdurch könnten allein bei den KraftSt-Stellen 21,5 Personalstellen entfallen. Der RH empfiehlt daher der Landesregierung, die aufgezeigten Verbesserungsmöglichkeiten aufzugreifen und baldmöglichst umzusetzen. Soweit die Vorschläge Rechtsänderungen erforderlich machen, sollten diese alsbald initiiert werden.
8 Stellungnahme des Ministeriums
8.1 Das FM hat gegen die Sachdarstellung und die vom RH vertretene Rechtsauffassung grundsätzlich keine Einwendungen erhoben; es beabsichtigt, die Anregungen des RH weitgehend aufzugreifen. Die Empfehlungen des RH zu den Vergünstigungen für Schwerbehinderte (s. Pkt. 3.2), zur Abgrenzung zwischen PKW und LKW (s. Pkt. 3.4) und zur bundesweiten Standortverlegung eines Fahrzeugs (s. Pkt. 3.6.3) bedürften allerdings - nicht zuletzt wegen der zur Umsetzung erforderlichen Bundesrechtsänderungen - noch einer eingehenden Prüfung. Über den Erlass einer Rechtsverordnung auf der Grundlage des § 13 KraftStG (s. Pkt. 4.4.4 bis 4.4.6) beabsichtigt das FM erst nach dem Vorliegen entsprechender Erfahrungsberichte aus anderen Bundesländern zu entscheiden.
8.2 Gegen die Einführung eines besonderen Zugmaschinenkennzeichens (s. Pkt. 3.3.2) wendet das FM ein, dass hierdurch sowohl der Verwaltungsaufwand als auch der Aufwand bei den Fahrzeughaltern unverhältnismäßig steigen würde. Im Übrigen sei der Vorschlag in den Ländergremien bereits mehrfach diskutiert und aus den dargelegten Gründen mehrheitlich abgelehnt worden. Hinsichtlich des Vorschlags, die Bescheide bereits vor dem Stichtag einer Steuersatzerhöhung zu ändern (s. Pkt. 3.7.1), weist das FM auf die derzeit entgegenstehende Rechtslage hin.
8.3 Zur Standortverlegung innerhalb von Baden-Württemberg (s. Pkt. 3.6.2) teilt das FM mit, dass eine vollständige Automation technisch nicht möglich sei.
9 Schlussbemerkung
9.1 Soweit das FM noch eingehenden Prüfungsbedarf sieht, empfiehlt der RH, die Untersuchungen konsequent voranzutreiben. Zur Sicherung der Erststeuer sowie zur Entlastung der Finanzämter sollte die Landesregierung baldmöglichst eine Rechtsverordnung zu § 13 KraftStG erlassen und - falls erforderlich - zuvor auf eine entsprechende Gesetzesänderung (s. Pkt. 4.4.7) hinwirken.
9.2 Der RH vermag den Verwaltungsaufwand für die Einführung eines besonderen Zugmaschinenkennzeichens nicht abzuschätzen. Er gibt allerdings zu bedenken, dass ein solches Kennzeichen zum Einen eine große Missbrauchsprävention entfalten dürfte und zum Anderen hierdurch erstmals eine wirksame Kontrolle auf der Straße zu erreichen wäre. Der RH hält daher an seinem Vorschlag fest, zumal das FM seinerseits keine alternative Problemlösung aufgezeigt hat. Daneben sollten die weiteren Anregungen zur Sonderregelung für Kraftfahrzeuganhänger vollständig umgesetzt werden.
9.3 Mit Blick auf die Entwicklung des Kraftfahrzeugsteuerrechts (s. Pkt. 2.6) sowie auf die bereits in der aktuellen Gesetzesfassung enthaltenen Steuersatzerhöhungen empfiehlt der RH der Landesregierung eine Gesetzesinitiative mit dem Ziel, Bescheidänderungen bereits vor dem Stichtag der Steuersatzerhöhung zu ermöglichen. Die Erhöhungsbeträge könnten dann - entsprechend dem sonst im Kraftfahrzeugsteuerrecht geltenden Grundsatz - im Voraus eingenommen werden; daneben würde die für den Bürger schwer verständliche Rückwirkung entfallen.
Was wurde aus dem Beitrag?
Die parlamentarische Behandlung finden Sie hier
Anhänge
Mit den Neuregelungen zur Verlustverrechnung hat der Gesetzgeber das Einkommensteuerrecht wesentlich komplizierter gemacht. Die Bestimmungen sind für Verwaltung und Steuerbürger kaum nachzuvollziehen und nur mit Hilfe von DV-Programmen umsetzbar. Die Anwendung der Neuregelungen durch die Steuerverwaltung ist vielfach fehlerhaft. Das Ziel, mit der Einführung der Mindestbesteuerung die Einnahmesituation nachhaltig zu verbessern, wird voraussichtlich nicht erreicht; vielmehr sind künftig Mindereinnahmen zu befürchten.
1 Vorbemerkung
1.1 Rechtslage
Durch das Steuerentlastungsgesetz 1999/2000/2002 vom 24.06.1999 (StEntlG) wurden die steuerlichen Regelungen zur Behandlung von Verlusten grundlegend geändert. Mit der Neufassung der §§ 2 Abs. 3 und 10d Einkommensteuergesetz (EStG) wurde die Möglichkeit der Verlustverrechnung deutlich eingeschränkt, die Neueinführung des § 2b EStG sollte den steuerpolitisch unerwünschten Verlustzuweisungsmodellen entgegenwirken.
Bis einschließlich Veranlagungszeitraum (VZ) 1998 konnten negative Einkünfte sowohl innerhalb der selben Einkunftsart als auch zwischen den verschiedenen Einkunftsarten unbegrenzt mit positiven Einkünften ausgeglichen werden. Ausgenommen hiervon waren lediglich besonders zu behandelnde Verluste wie z. B. negative ausländische Einkünfte, für die besondere, engere Verlustverrechnungsregelungen galten.
Seit dem VZ 1999 ist nach § 2 Abs. 3 EStG der Verlustausgleich nur noch innerhalb der selben Einkunftsart uneingeschränkt zugelassen (sog. horizontaler Verlustausgleich). Die Möglichkeit des Verlustausgleichs zwischen den verschiedenen Einkunftsarten (sog. vertikaler Verlustausgleich) wurde hingegen erheblich eingeschränkt. Die Begrenzung greift in den Fällen, in denen die positiven Einkünfte nach Anwendung des horizontalen Verlustausgleichs den Betrag von 51.500 € übersteigen. In diesen Fällen kann der vertikale Verlustausgleich nur noch bis 51.500 € unbegrenzt erfolgen, darüber hinaus sind höchstens 50 % der verbleibenden positiven Einkünfte ausgleichsfähig. Im Ergebnis verbleibt somit trotz weiterer vorhandener Verluste ein positiver Gesamtbetrag der Einkünfte (sog. Mindestbesteuerung). Bei Zusammenveranlagungen sind die vorstehend beschriebenen Rechenschritte zunächst für jeden Ehegatten getrennt vorzunehmen. Verbleiben danach für einen Ehegatten nicht ausgeglichene Verluste, kann eine Verlustübertragung auf den anderen Ehegatten in Betracht kommen, soweit bei diesem noch ein Ausgleichspotenzial vorhanden ist.
Stammen die nach dem Verlustausgleich verbleibenden positiven Einkünfte oder die nicht ausgeglichenen Verluste aus mehreren Einkunftsarten, so ist die betragsmäßige Aufteilung auf die einzelnen Einkunftsarten im Wege von Verhältnisrechnungen vorzunehmen (Bildung von sog. Einkunftstöpfen).
Die nach der Neuregelung nicht ausgeglichenen Verluste können nach § 10d EStG grundsätzlich zurück- oder vorgetragen werden (sog. Verlustabzug). Dabei wird die Systematik des § 2 Abs. 3 EStG fortgesetzt. So ist der horizontale Verlustabzug mit den positiven Einkünften des Rücktrags- oder Vortragsjahres unbeschränkt möglich, der vertikale Verlustabzug wiederum nur zu 50 % der danach verbleibenden positiven Einkünfte. Von entscheidender Bedeutung ist, dass dabei die durch § 2 Abs. 3 EStG gesteckten Obergrenzen der Verlustverrechnung nicht überschritten werden können, d. h. die Verluste des Rücktrags- oder der Vortragsjahre und die in diese VZ zurück- oder vorgetragenen Verluste dürfen auch zusammengerechnet die vorstehend genannten Grenzen nicht überschreiten. Ist demnach z. B. in einem Rücktragsjahr das vertikale Ausgleichsvolumen durch Verluste dieses Jahres bereits ausgeschöpft, so bleibt für einen weiteren vertikalen Verlustabzug mit zurückzutragenden Verlusten kein Raum mehr.
Im Gegensatz zur bisherigen Regelung, die einen Verlustrücktrag in die beiden vorangegangenen VZ ermöglichte, ist ein Rücktrag nur noch auf das Vorjahr möglich, außerdem wurde der bis VZ 1998 noch 10 Mio. DM (rd. 5,1 Mio. €) betragende Höchstbetrag kontinuierlich herabgesetzt und zuletzt ab 2002 auf 511.500 € begrenzt. Geändert wurde auch die Abzugsposition des Verlustabzugs. War der Verlustabzug bisher nach den Sonderausgaben, außergewöhnlichen Belastungen und den wie Sonderausgaben zu behandelnden Förderbeträgen vom Gesamtbetrag der Einkünfte vorzunehmen, so ist der Abzug nunmehr unmittelbar nach dem Gesamtbetrag der Einkünfte vorzunehmen. Geblieben ist die Bestimmung, dass der Steuerbürger auf den Rücktrag ganz oder teilweise verzichten kann. Hierbei wird ihm die weitere Möglichkeit eröffnet, die Rücktragsbeschränkung für jede Einkunftsart getrennt zu beantragen.
Die Systematik der §§ 2 Abs. 3 und 10d EStG hat auch zur Folge, dass die gesonderte Feststellung von Verlusten nunmehr streng getrennt nach Einkunftsarten durchzuführen ist. Wie bisher können die festgestellten Verluste zeitlich und betragsmäßig unbegrenzt vorgetragen werden. Hierbei wird auch nochmals die Wirkungsweise der Mindestbesteuerung deutlich: Trotz verbleibender positiver Einkünfte gehen die Verluste nicht endgültig verloren, sie werden lediglich zeitlich gestreckt wirksam.
Besondere Regelungen für die Verlustverrechnung z. B. bei negativen ausländischen Einkünften bestehen weiterhin, allerdings in z. T. geänderter Form.
1.2 Übergangsregelung
Verluste, die zum 31.12.1998 gesondert festgestellt wurden (sog. Altverluste), werden weiterhin nach der bis 1998 geltenden Fassung des § 10d EStG behandelt. Hieraus folgt auch, dass die Altverluste bei Verlustfeststellungen ab 31.12.1999 ebenfalls getrennt von den übrigen Verlusten festgestellt werden müssen.
Nicht besonders geregelt wurden die Fälle, bei denen ein Rücktrag vom VZ 1999 in den VZ 1998 vorzunehmen war. Demnach müssen nach herrschender Auffassung für den VZ 1998 zunächst fiktiv die dort angefallenen positiven und negativen Einkünfte nach Maßgabe des § 2 Abs. 3 EStG n. F. ausgeglichen werden. Nur wenn danach die Höchstbeträge noch nicht ausgeschöpft sind, verbleibt noch Raum für einen Verlustrücktrag.
1.3 Zielsetzung des Gesetzgebers
Ziel des StEntlG war es u. a., mehr Steuergerechtigkeit zu schaffen sowie das Steuerrecht zu vereinfachen. Mit Hilfe vieler Einzelmaßnahmen sollten Steuervergünstigungen abgebaut und das Steuerrecht bereinigt werden; daneben erhoffte man sich auch eine Verringerung der Bürokratiekosten. Zur Gegenfinanzierung der Steuerreform war beabsichtigt, die Steuerbemessungsgrundlage zu verbreitern. Die Mehrbelastungen sollten insbesondere diejenigen treffen, die bisher Steuervergünstigungen und „Steuerschlupflöcher“ ausnutzten. Zu diesem Zweck wurde die vorstehend aufgezeigte Begrenzung der Verlustverrechnung zwischen allen Einkunftsarten eingeführt. Flankierend erfolgte der Ausschluss der Verlustverrechnung bei Verlustzuweisungsgesellschaften (§ 2b EStG). Das Instrument des Verlustrücktrags wurde entgegen der ursprünglichen Absicht beibehalten, aber durch die Neufassung des § 10d EStG eingeschränkt.
Auf Grund der Neuregelungen erwartete der Gesetzgeber eine erhebliche Steigerung des Einkommensteueraufkommens, die allein für die Jahre 1999 bis 2002 auf zusammen fast 2 Mrd. € geschätzt wurde.
1.4 Kritik von steuerfachlicher Seite
Die Steuerfachwelt kritisiert die Neuregelungen zumeist heftig ; sie wurden ironisierend schon als „Arbeitsbeschaffung für die steuerberatenden Berufe“ bezeichnet. Angeführt wird insbesondere die Kompliziertheit der Regelungen. Kaum jemand könne die erforderlichen Berechnungen nachvollziehen; dies gelte insbesondere für die betroffenen Steuerbürger. Weiter wird bemängelt und als verfassungsrechtlich bedenklich bezeichnet, dass entgegen der ursprünglichen Intention des Gesetzgebers nunmehr keine Unterscheidung getroffen werde zwischen echten betriebswirtschaftlichen und rein buchmäßigen Verlusten. Der Gesetzgeber verkenne auch, dass die rein buchmäßigen Verluste fast ausschließlich auf gesetzlichen Sonderregelungen basierten und somit von ihm selbst geschaffen worden seien. Diese regelmäßig als Subvention gedachten Vergünstigungen würden somit zumindest teilweise wieder rückgängig gemacht.
Nach Auffassung verschiedener Steuerexperten verstoßen die Neuregelungen zudem gegen das dem Einkommensteuerrecht innewohnende Prinzip der Besteuerung nach der Leistungsfähigkeit; auch hierin sei ein Verfassungsverstoß zu sehen.
1.5 Bisherige Rechtsprechung zu den Neuregelungen
Das Finanzgericht (FG) Münster hat in einem Beschluss vom 07.09.2000 ernstliche Zweifel an der Verfassungsmäßigkeit des neuen § 2 Abs. 3 EStG geäußert, weil diese Vorschrift gegen das Leistungsfähigkeitsprinzip verstoße. Dieser Rechtsauffassung ist der Bundesfinanzhof allerdings nicht gefolgt . Er vertritt die Auffassung, dass ein Verstoß gegen das Leistungsfähigkeitprinzip nicht vorliege, weil dieses stets im Rahmen der Rechts- und Sozialordnung zu interpretieren sei. Daher könne der Gesetzgeber berücksichtigen, dass Verluste häufig planvoll und bewusst zur Verrechnung mit positiven Einkünften herbeigeführt würden.
Dessen ungeachtet hegte in der Folgezeit auch das FG Berlin Zweifel an der Verfassungsmäßigkeit des § 2 Abs. 3 EStG . Es sieht sich dabei nicht im Widerspruch zum Bundesfinanzhof, da in dessen Entscheidung lediglich die Ausgleichsfähigkeit von Buchverlusten zu beurteilen gewesen sei. Die Auffassung der FG Münster und Berlin wurde auch vom FG Düsseldorf geteilt .
2 Anlass, Ziel und Umfang der Erhebungen
Die gravierenden Änderungen und die dadurch komplizierter gewordenen Bestimmungen zur Verlustverrechnung haben den RH bewogen zu untersuchen, wie diese Regelungen von der Steuerverwaltung in der Praxis umgesetzt werden. Ziel der Untersuchung war es, mittels Querschnittserhebungen etwaige Fehlerquellen bei der rechtlichen Umsetzung der Neuregelungen aufzudecken und ggf. Anregungen zur Qualitätsverbesserung zu geben. Des Weiteren sollte untersucht werden, in welchem Umfang dv-technische Unterstützung in diesem Bereich besteht und ob die Bediensteten ausreichend geschult sind. Zusätzlich sollte ein Vergleich zwischen der Alt- und Neuregelung vorgenommen werden, um feststellen zu können, zu welchen steuerlichen Auswirkungen die Neuregelung führt. Nicht in die Untersuchung einbezogen wurde die Neuregelung des § 2b EStG.
Der RH hat bei vier Finanzämtern insgesamt 399 Steuerfälle - davon 35 Mindestbesteuerungsfälle - mit zusammen 970 VZ eingesehen. Daneben wurden weitere 127 Steuerfälle lediglich an Hand der elektronischen Datensätze überprüft. Für einen Vergleich der steuerlichen Auswirkung der Mindestbesteuerung mit der bis 1998 geltenden Rechtslage wurden weitere 30 Mindestbesteuerungsfälle herangezogen. Neben den VZ 1999 bis 2001 wurde auch der VZ 1998 in die Erhebungen einbezogen, um die Übergangsproblematik von der Alt- zur Neuregelung untersuchen zu können.
3 Prüfungsfeststellungen
3.1 Allgemeines
Ein Blick in die Gesetzesformulierungen macht bereits deutlich, dass die Neuregelungen nicht nur sehr umfangreich, sondern auch äußert kompliziert geraten sind. Der Gesetzestext ist selbst nach mehrmaliger genauer Lektüre schon auf Grund des unübersichtlichen Satzbaus kaum zu verstehen. Beispielhaft soll dies der in der Folge zitierte § 2 Abs. 3 veranschaulichen:
„Die Summe der Einkünfte, vermindert um den Altersentlastungsbetrag und den Abzug nach § 13 Abs. 3, ist der Gesamtbetrag der Einkünfte. Bei der Ermittlung der Summe der Einkünfte sind zunächst jeweils die Summen der Einkünfte aus jeder Einkunftsart, dann die Summe der positiven Einkünfte zu ermitteln. Die Summe der positiven Einkünfte ist, soweit sie den Betrag von 51.500 € übersteigt, durch negative Summen der Einkünfte aus anderen Einkunftsarten nur bis zur Hälfte zu mindern. Die Minderung ist in dem Verhältnis vorzunehmen, in dem die positiven Summen der Einkünfte aus verschiedenen Einkunftsarten zur Summe der positiven Einkünfte stehen. Übersteigt die Summe der negativen Einkünfte den nach Satz 3 ausgleichsfähigen Betrag, sind die negativen Summen der Einkünfte aus verschiedenen Einkunftsarten in dem Verhältnis zu berücksichtigen, in dem sie zur Summe der negativen Einkünfte stehen. Bei Ehegatten, die nach den §§ 26, 26b zusammen veranlagt werden, sind nicht nach den Sätzen 2 bis 5 ausgeglichene negative Einkünfte des einen Ehegatten dem anderen Ehegatten zuzurechnen, soweit sie bei diesem nach den Sätzen 2 bis 5 ausgeglichen werden können; können negative Einkünfte des einen Ehegatten bei dem anderen Ehegatten zu weniger als 51.500 € ausgeglichen werden, sind die positiven Einkünfte des einen Ehegatten über die Sätze 2 bis 5 hinaus um den Unterschiedsbetrag bis zu einem Höchstbetrag von 51.500 € durch die noch nicht ausgeglichenen negativen Einkünfte dieses Ehegatten zu mindern, soweit der Betrag der Minderungen bei beiden Ehegatten nach den Sätzen 3 bis 6 den Betrag von 103.000 € zuzüglich der Hälfte des den Betrag von 103.000 € übersteigenden Teils der zusammengefassten Summe der positiven Einkünfte beider Ehegatten nicht übersteigt. Können negative Einkünfte des einen Ehegatten bei ihm nach Satz 3 zu weniger als 51.500 € ausgeglichen werden, sind die positiven Einkünfte des anderen Ehegatten über die Sätze 2 bis 6 hinaus um den Unterschiedsbetrag bis zu einem Höchstbetrag von 51.500 € durch die noch nicht ausgeglichenen negativen Einkünfte des einen Ehegatten zu mindern, soweit der Betrag der Minderungen bei beiden Ehegatten nach den Sätzen 3 bis 7 den Betrag von 103.000 € zuzüglich der Hälfte des den Betrag von 103.000 € übersteigenden Teils der zusammengefassten Summe der positiven Einkünfte beider Ehegatten nicht übersteigt. Die Sätze 4 und 5 gelten entsprechend.“
Beim ähnlich formulierten § 10d Abs. 1 EStG erschweren darüber hinaus die ständigen Querverweise das Verständnis in hohem Maße. So eröffnet z. B. § 10d Abs. 1 S. 4 EStG ein regelrechtes Verweisungslabyrinth: In dieser Vorschrift wird auf § 10d Abs. 2 S. 4 verwiesen; dieser Satz enthält einen weiteren Verweis auf § 2 Abs. 3 S. 6, wo wiederum auf § 2 Abs. 3 S. 2ff verwiesen wird.
Die Steuerverwaltung hat versucht, die Regelungen mit Hilfe von zahlreichen Fallbeispielen transparenter und verständlicher zu machen. Die Fallbeispiele erstrecken sich über nicht weniger als 49 Seiten des aktuellen ESt-Handbuchs, sind sehr komplex und erfordern ein intensives Studium, um überhaupt einigermaßen nachvollzogen werden zu können.
3.2 DV-Unterstützung
Vor dem unter Pkt. 3.1 aufgezeigten Hintergrund war es unerlässlich, der Steuerverwaltung eine DV-Unterstützung an die Hand zu geben, die die Bearbeiter davon befreit, in Verlustfällen eigene Berechnungen durchführen zu müssen. Solche wären nur mit einem enormen Zeitaufwand möglich gewesen, der den weiteren Fortgang der Veranlagungsarbeiten in einem nicht hinnehmbaren Umfang behindert hätte. Allerdings sind die Berechnungen des DV-Programmes zumindest bei den komplexeren Steuerfällen kaum nachvollziehbar. Sie werden in den Bescheiden auch nicht dargestellt, was alleine schon daran scheitert, dass sie sich über mehrere Seiten hinziehen würden und zudem auch kaum verständlich wären. Dies bedeutet aber, dass sich sowohl die Bediensteten der Steuerverwaltung als auch die Steuerbürger oftmals blind auf die maschinell ermittelten Ergebnisse verlassen müssen.
Die dv-technische Umsetzung erwies sich anfänglich als sehr schwierig. So war noch im Mai 2000 weder ein Rücktrag in den VZ 1998 noch die Durchführung der Verlustfeststellungen zum 31.12.1999 möglich. Die Arbeiten mussten daraufhin zurückgestellt werden und gerieten nicht selten anschließend in Vergessenheit.
3.2.1 Erforderliche manuelle Eingriffe
Neben den technischen Anfangsschwierigkeiten ergaben sich bei der Einführung der Gesetzesänderungen auch erhebliche Anwenderprobleme. Zahlreiche Verfahrensabbrüche konnten vielfach nur mit Mühe behoben werden. Diese Experimentierphase erforderte einen erheblichen Zeitaufwand und führte schon alleine deshalb zu Akzeptanzproblemen, die bis in die Gegenwart fortwirken und die Fehleranfälligkeit der Bearbeitung nicht unbedeutend beeinflussen dürften.
Wenngleich die Berechnungsprogramme und Verfahrensabläufe inzwischen weiter verbessert wurden und - von Ausnahmen abgesehen - grundsätzlich fehlerfrei arbeiten, sind dennoch weiterhin manuelle Eingaben in einer nicht unbedeutenden Zahl von Fällen erforderlich, was sich nach Einschätzung des RH auch in Zukunft zumeist nicht vermeiden lassen dürfte. Diese Eingaben sind jedoch ein wesentlicher Auslöser für die oftmals fehlerhafte Fallbearbeitung.
3.2.2 Bearbeitungs- und Prüfhinweise
Mit der Ausgabe von Bearbeitungs- und Prüfhinweisen bei der maschinellen Verarbeitung von Verlustfällen wird den Bearbeitern - wie im übrigen ESt-Bereich auch - ein Instrumentarium zur Kontrolle der Veranlagungsergebnisse zur Verfügung gestellt und Hilfestellung bei der Durchführung weiterer Arbeitsschritte geleistet. Dabei erfordert die Komplexität der neuen Verlustverrechnung eine relativ große Anzahl solcher Hinweise.
Der RH hat vielfach festgestellt, dass den Hinweisen nicht die nötige Aufmerksamkeit gewidmet wurde, was nach seiner Einschätzung nicht zuletzt auf eine gewisse Rechtsunsicherheit zurückzuführen war. Hinzu kommt, dass die Bearbeiter nicht täglich mit Verlustfällen befasst sind und der Zwang zur beschleunigten Durchführung der Veranlagungen auf Grund der hohen Fallzahlenbelastung einen Zeitdruck ausübte, der die Bediensteten davon abhielt, sich intensiver mit den Hinweisen - z. B. durch Einsichtnahme in die Arbeitsanleitung - zu beschäftigen.
Es war aber auch erkennbar, dass den Bearbeitern die Formulierungen der Hinweise nicht immer zweifelsfrei verständlich waren und sie z. T. zu falschen Rückschlüssen verleiteten. Gerade im Hinblick auf die schwierige Rechtsmaterie bestehen in diesem Bereich noch Optimierungsmöglichkeiten. Der RH hat dem FM entsprechende Verbesserungsvorschläge unterbreitet.
3.2.3 Programmfehler bei Verlustrückträgen in den Veranlagungszeitraum 1998
Für die in den VZ 1998 zurückzutragenden Verluste wurde keine Übergangsregelung getroffen (s. Pkt. 1.2). Nach herrschender Meinung ist deshalb für den VZ 1998 nachträglich eine fiktive Berechnung im Sinne des § 2 Abs. 3 EStG n. F. durchzuführen, um beurteilen zu können, ob die Höchstbeträge nach neuem Recht bereits ausgeschöpft sind oder ob und ggf. in welcher Höhe ein Verlustrücktrag aus 1999 in den VZ 1998 noch durchführbar ist.
Die Erstellung eines entsprechenden DV-Programms stieß offenbar auf erhebliche Schwierigkeiten, die nicht vollumfassend gelöst werden konnten. Bei bestimmten Fallgestaltungen ergeben sich daher unzutreffende Ergebnisse. Dies ist der Steuerverwaltung auch bekannt, wird aber hingenommen. Der RH hat einen Steuerfall aufgegriffen, bei dem ein Rücktrag in den VZ 1998 in Höhe von 182.700 DM vorgenommen wurde, obwohl in diesem VZ das zur Verfügung stehende Verlustverrechnungsvolumen bereits ausgeschöpft war. Diese fehlerhafte Steuerberechnung macht deutlich, dass selbst mit den Mitteln einer modernen DV-Unterstützung ein solch kompliziertes Gesetz nicht vollumfänglich umsetzbar ist.
3.2.4 Arbeitsanleitung für die maschinelle Festsetzung der ESt und für die Feststellung des verbleibenden Verlustabzugs
In der Arbeitsanleitung wird beschrieben, welche Einträge im Dialogverfahren notwendig sind, bei welchen Fallkonstellationen bestimmte Werte programmgesteuert zur Verfügung gestellt werden und unter welchen Voraussetzungen bestimmte Verfahrensschritte vollautomatisiert ablaufen. Die Komplexität der neuen Verlustverrechnungsbestimmungen führte jedoch dazu, dass die Ausführungen in der Arbeitsanleitung nicht nur sehr umfangreich, sondern - programmbedingt - über mehrere Abschnitte verteilt und deshalb recht unübersichtlich sind.
Nach den Feststellungen des RH hatten viele Bearbeiter aber auch deshalb Probleme mit der Systematik der Arbeitsanleitung, weil es sich bei Verlustfeststellungen um keine allzu häufig vorkommenden Fallgestaltungen handelt. Hinzu kamen oftmals mangelnde Rechtskenntnisse, die dazu führten, dass manche Erläuterungen in der Arbeitsanleitung offenbar nicht verstanden wurden. Die Bearbeiter versuchten gelegentlich, mit selbst erstellten Übersichtslisten die einschlägigen Kennziffern zusammenzufassen. Hierbei besteht jedoch die Gefahr, dass diese Listen unvollständig oder gar fehlerhaft sind.
3.2.5 DV-Unterstützung zur Nachvollziehbarkeit der Verlustverrechnung
Da den Bearbeitern keine DV-Hilfsprogramme zur nachvollziehbaren Berechnung zur Verfügung stehen, behalfen sie sich bei Rückfragen damit, dass sie verschiedene umfangreiche manuelle Berechnungsbogen ausfüllten, die für den Erlass von ESt-Bescheiden zur Verfügung gestellt werden, welche nicht im maschinellen Verfahren gerechnet werden können. Nach Aussagen von Bediensteten war hiermit ein Aufwand von jeweils mehreren Stunden verbunden. Wenngleich sich die Zahl solcher Rückfragen von Seiten der Steuerpflichtigen bisher noch in relativ engen Grenzen hielt, kann nicht ausgeschlossen werden, dass sich in Zukunft ein größerer Erklärungsbedarf ergeben wird. Die Auswirkungen auf den Arbeitsaufwand bei den Teilbezirken wären völlig unverhältnismäßig.
3.3 Zusammenfassung der Einzelfeststellungen
In 173 der 399 geprüften Steuerfälle mit zusammen 970 VZ ergaben sich Prüfungsfeststellungen. Dies entspricht einer Beanstandungsquote von 43,3 % bezogen auf die Zahl der Steuerfälle. Das finanzielle Ergebnis der Feststellungen betrug insgesamt mehr als 1,8 Mio. €, teilweise auch zu Gunsten der Steuerpflichtigen. In diesem Betrag sind die Mehr- oder Mindersteuern, die voraussichtlich aus der Erhöhung oder Minderung der Verlustvortragsvolumen resultieren werden, lediglich mit geschätzten 25 % der Bemessungsgrundlage enthalten.
Daneben hat der RH an Hand der Daten aus dem Festsetzungsspeicher weitere 127 Steuerfälle herausgefiltert, bei denen die Verlustrückträge und/oder Verlustfeststellungen nicht durchgeführt worden waren. Diese Steuerfälle wurden nicht eingesehen, jedoch in Listen festgehalten und den Ämtern zur Verfügung gestellt, um die erforderlichen Arbeiten noch durchzuführen. Bezieht man diese Fälle mit ein, so erhöht sich die Beanstandungsquote auf 57,0 %.
Die 173 beanstandeten Fälle umfassen zusammen 318 Einzelfeststellungen, die zu den in Übersicht 1 dargestellten Themenbereichen ergingen.

Bei der Mehrzahl der fehlerhaften Veranlagungen und Feststellungen haben die Unsicherheit im Umgang mit den maschinellen Verfahren und die Rechtsunsicherheit, zuweilen auch Rechtsunkenntnis, zusammengewirkt.
3.4 Steuerliche Auswirkungen der Neuregelungen zur Verlustverrechnung
3.4.1 Steuerfälle, in denen die Mindestbesteuerung nicht greift
Die Mindestbesteuerung greift erst dann, wenn nach der Durchführung des horizontalen Verlustausgleichs positive Einkünfte von mehr als 51.500 € (bei Zusammenveranlagung 103.000 €) verbleiben (s. Pkt. 1.1). Liegen die positiven Einkünfte unter diesen Beträgen, so sind die restlichen Verluste aus den anderen Einkunftsarten bis zu einem Gesamtbetrag der Einkünfte von 0 € voll ausgleichsfähig; verbleiben danach weitere Verluste, können diese im Wege des Verlustrück- oder Verlustvortrags berücksichtigt werden.
Nach den Feststellungen des RH dürfte der Anteil der Steuerfälle, bei denen die Verluste im Verlustentstehungsjahr nicht ausgeglichen werden und bei denen auch im Rücktragsjahr und in den Vortragsjahren die Mindestbesteuerung nicht greift, mindestens 90 % aller Fälle mit nicht ausgeglichenen Verlusten ausmachen. In den vom RH geprüften Fällen, in denen die Mindestbesteuerung nicht greift, ergaben sich gegenüber den bisherigen Regelungen z. T. nicht unerhebliche Mehrsteuern. Sie resultierten ausschließlich aus der geänderten Abzugsposition des Verlustrücktrags bzw. -vortrags.
3.4.2 Mindestbesteuerungsfälle
Der RH hat für 35 Mindestbesteuerungsfälle untersucht, welche steuerlichen Mehrbelastungen für die Steuerpflichtigen aus der Mindestbesteuerung erwuchsen. Die Berechnung erfolgte durch einen Vergleich der Ergebnisse der tatsächlichen Steuerfestsetzung mit einer fiktiven Berechnung der ESt nach den bis 1998 geltenden Bestimmungen der Verlustverrechnung. Dabei wurde Folgendes festgestellt:
- In 11 Fällen ergab sich auf Grund der neuen Rechtslage einerseits eine höhere ESt von zusammen 495.000 DM, andererseits jedoch ein erhöhtes Verlustvortragsvolumen von 1.481.000 DM.
- In 9 Fällen blieb die ESt unverändert, das Verlustvortragsvolumen erhöhte sich jedoch um 1.658.000 DM.
- Für die restlichen 15 Fälle verringerte sich die ESt-Belastung insgesamt um 327.000 DM, wobei das Verlustvortragsvolumen in 12 Fällen unverändert blieb und sich in 3 Fällen um zusammen 130.000 DM erhöhte.
In weiteren 30 Mindestbesteuerungsfällen, die ausschließlich an Hand der Daten aus dem Festsetzungsspeicher untersucht wurden, verblieb nach der Verlustbeschränkung lediglich ein Gesamtbetrag der Einkünfte von jeweils weniger als 50.000 DM, sodass nach Abzug der Sonderausgaben, außergewöhnlichen Belastungen und sonstiger Abzugsbeträge sowie unter Berücksichtigung des Grundfreibetrags keine oder nur noch eine sehr geringe ESt festgesetzt wurde. Andererseits erbrachte in diesen Fällen die Verlustbeschränkung ein gegenüber der bisherigen Rechtslage höheres rück- und/oder vortragsfähiges Verlustvolumen von insgesamt 627.000 DM.
Zusammengefasst führte die Mindestbesteuerung in den vorstehenden Fällen zwar zu einer Mehreinnahme für den Fiskus von 168.000 DM, andererseits jedoch zu einer Vermehrung der Verlustvortragsvolumen um 3.896.000 DM (1.992.000 €). Bereits bei einem angenommenen Steuersatz von nur 25 % bedeutet dies für künftige VZ voraussichtliche Steuermindereinnahmen von annähernd 500.000 €. Vermutlich werden die Mindersteuern jedoch auf Grund der vorgefundenen Fallkonstellationen bedeutend höher liegen. Zusätzlich ist darauf hinzuweisen, dass die Mehreinnahmen z. T. auch aus der geänderten Abzugsposition der Verlustvorträge resultieren und somit nicht der Auswirkung der eigentlichen Mindestbesteuerung zuzuschreiben sind.
4 Bewertung der Prüfungsfeststellungen und Vorschläge
4.1 Verständlichkeit und Nachvollziehbarkeit der Gesetzesnormen
Das Vorhaben des Gesetzgebers, mit Hilfe neuer Vorschriften zur Verlustverrechnung bei größeren Steuerfällen eine Mindestbesteuerung einzuführen und somit unerwünschte Steuergestaltungen zu verhindern, hat zu einem Regelwerk geführt, das für den Steuerbürger nicht mehr verständlich ist und auch für Steuerfachleute selbst bei intensiver Beschäftigung mit dieser Materie eine nur schwer zu bewältigende Herausforderung darstellt. Soweit es ein weiteres Ziel des StEntlG war, das Steuerrecht zu vereinfachen, wäre es jedenfalls bei den Neuregelungen zur Verlustverrechnung verfehlt.
Erschwerend kommt hinzu, dass selbst in den Fällen, in denen die Mindestbesteuerung nicht greift, die errechneten Ergebnisse in den ESt-Bescheiden oft nur schwer oder - für den steuerlichen Laien und damit für fast alle Steuerbürger - gar nicht nachvollziehbar sind. Andererseits kann aber die Aufnahme der Berechnungsschritte in die Bescheide oder in einer Anlage hierzu kaum empfohlen werden. Je nach Fallgestaltung würden sie einen Umfang von mehreren Seiten erfordern und auf Grund der Kompliziertheit der Rechenschritte das Verständnis nicht fördern, sondern eher weitere Verwirrung stiften. Dem Steuerbürger verbleibt somit vielfach nur die Möglichkeit, fachlichen Rat einzuholen. Ob ihm dann immer geholfen werden kann, ist nach den Untersuchungsergebnissen des RH durchaus fraglich. Die von Steuerfachseite häufig geäußerten Zweifel an der Verfassungsmäßigkeit dieser Rechtsnormen wegen ihrer unzureichenden Bestimmtheit sind vor diesem Hintergrund durchaus nachvollziehbar.
4.2 Umsetzung der Gesetzesnormen durch die Steuerverwaltung
4.2.1 Standardfälle
Bereits im Gesetzgebungsverfahren war die Erwartung geäußert worden, dass die Neuregelungen zur Verlustverrechnung durch den Einsatz von DV-Programmen umgesetzt werden können. Nach anfänglichen Schwierigkeiten sind diese Programme inzwischen im Wesentlichen ausgereift und in der Lage, die Bearbeiter in Standardfällen weitgehend von manuellen Eingaben im Dialogverfahren zu entlasten. Die Erhebungen des RH haben aber vielfach Defizite in der Rechtsanwendung und erhebliche Unkenntnis über den Ablauf der maschinellen Programme erkennen lassen. Dies führte dazu, dass die noch notwendigen Eingaben entweder falsch oder gar nicht durchgeführt wurden. Darüber hinaus erfolgten vielfach überflüssige Eingaben, die wiederum in erheblichem Maße unzutreffend waren. Die Unrichtigkeit der hierdurch entstandenen Veranlagungs- und Feststellungsergebnisse wurde im Anschluss ebenso wenig erkannt wie das Fehlen entsprechender Bescheide. Auffällig war, dass die Bearbeitungsdefizite auch Elemente der Neuregelung betrafen, die in gleicher oder zumindest ähnlicher Form bereits in den bisherigen Vorschriften enthalten waren.
4.2.2 Sonderfälle
In einer Reihe von Fällen müssen zusätzliche Dateneingaben erfolgen, weil die benötigten Werte nicht im Festsetzungsspeicher abgelegt sind (z. B. Wechsel von Zusammenveranlagung zu getrennter Veranlagung, Berücksichtigung vererbter Verluste, Steuerfälle von anderen Bundesländern, Änderungen und Berichtigungen). Bereiteten schon die Standardfälle den Bearbeitern erhebliche Schwierigkeiten, so war bei diesen Sonderfällen eine noch wesentlich höhere Fehlerquote festzustellen.
4.2.3 Verlustrückträge in den Veranlagungszeitraum 1998
Die Schnittstelle zwischen der Alt- und Neuregelung verkomplizierte die maschinellen Verfahrensabläufe zusätzlich. Hinsichtlich des Rücktrags in den VZ 1998 ist es nicht gelungen, sämtliche Fallgestaltungen fehlerfrei umzusetzen. Die Steuerverwaltung hat dies - wohl resignierend - hingenommen. Im Hinblick darauf, dass die Mehrzahl dieser Fälle bereits veranlagt sein dürfte, verzichtet der RH darauf, die Verwaltung zu einer Richtigstellung des DV-Programms aufzufordern. Dieser Sachverhalt macht jedoch nochmals ganz deutlich, dass die Komplexität des Einkommensteuerrechts die Grenze dessen, was dem Steuerbürger und auch der Steuerverwaltung zugemutet werden kann, bereits überschritten hat. Die Frage der Verfassungsmäßigkeit solcher Regelungen wurde bereits angesprochen.
4.2.4 Verwaltungsaufwand
Der Verwaltungsaufwand für die Finanzämter bei der Veranlagung von Standardfällen ist gegenüber den bisherigen Regelungen nur wenig größer geworden. Dies gilt aber nur dann, wenn - ausgehend vom Verlustentstehungsjahr - alle erforderlichen weiteren Arbeiten umgehend und konsequent durchgeführt werden. Nur unter dieser Voraussetzung ist das DV-Programm in der Lage, den Bearbeitern die größtmögliche Unterstützung zu bieten. Die Bearbeitung der Sonderfälle ist wesentlich aufwändiger, weil die erforderlichen, nunmehr einkunftsbezogenen Dateneingaben neben der Erlangung der Rechtskenntnisse die exakte Umsetzung der entsprechenden Anweisungen in den verschiedenen Abschnitten der Arbeitsanleitung notwendig machen.
Bisher haben die Steuerbürger erstaunlicherweise nur vereinzelt mit Rückfragen oder Einsprüchen reagiert. Sollte sich dieses Verhalten in Zukunft ändern, würde allein der Erklärungsbedarf einen erheblichen Zeitaufwand zur Folge haben.
4.3 Fortbildung
Die neuen Vorschriften zur Verlustverrechnung überfordern nach den Erkenntnissen des RH viele Bedienstete der Steuerverwaltung. Die selbst bei einfacheren Fällen erkennbaren Bearbeitungsmängel lassen den Schluss zu, dass die Behandlung dieser Thematik im Rahmen von allgemeinen Schulungen nicht geeignet war, einem Großteil der Bediensteten wenigstens gewisse Grundregeln zu vermitteln. Somit fehlen oftmals selbst einfachere Rechtskenntnisse, die auch bei einem noch so guten DV-Programm Voraussetzung für eine fehlerfreie Umsetzung sind.
Der RH schlägt daher vor, Fortbildungsmaßnahmen z. B. in Form von Workshops zu ergreifen. Nach Einschätzung des RH könnte der beste Schulungseffekt dadurch erreicht werden, dass zumindest die grundlegenden Rechtskenntnisse, die es erlauben, die Wirkungsweise und die Möglichkeiten der DV-Programme zu erkennen, nochmals vermittelt werden. Im Rahmen dieser Workshops sollte auch das Dialogverfahren eingeübt werden.
Mit Hilfe der Fortbildungsmaßnahmen könnten die Bediensteten zudem besser für die steuerliche Bedeutung einer zutreffenden Bearbeitung der Verlustfälle sensibilisiert werden. Der während der Erhebungen des RH teilweise angetroffenen Betrachtungsweise, dass Verlustfälle „steuerlich nichts bringen“ und nur von geringer Bedeutung sind, könnte somit entgegengewirkt werden. Gerade diese Betrachtung war nach dem Eindruck des RH häufig der Ausgangspunkt für eine unzutreffende Behandlung der Verlustfälle.
4.4 Verbesserungen bei der DV-Unterstützung
Flankierend zu den angeregten Fortbildungsmaßnahmen wäre nach Auffassung des RH eine bessere Verständlichkeit und eine Ergänzung der bei der Verarbeitung der Veranlagungen und Verlustfeststellungen ergehenden Hinweise angezeigt.
Nach Einschätzung des RH könnte es für eine bessere Bearbeitung der Verlustfälle weiter hilfreich sein, den Finanzämtern eine Zusammenfassung der verschiedenen Anweisungen in der Arbeitsanleitung an die Hand zu geben, in der in komprimierter Form nochmals auf die Abgrenzung zwischen rein programmgesteuerten Abläufen und notwendigen Eingaben sowie auf die zu beachtenden Arbeitsschritte und Kennziffern hingewiesen wird. Ein wichtiges Ziel sollte dabei auch sein, unnötige manuelle Eingaben zu vermeiden.
Zusätzlich sollte den Finanzämtern ein separates DV-Hilfsprogramm zur Verfügung gestellt werden, das die Rechenschritte der Verlustverrechnung für die Bediensteten transparent und nachvollziehbar macht. Mit Hilfe eines solchen Programms könnten auch Anfragen von Steuerbürgern mit wesentlich geringerem Aufwand beantwortet werden. DV-Hilfsprogramme sind bereits seit längerem auf dem Markt.
4.5 Steuerliche Auswirkung der Gesetzesnormen und rechtspolitische Überlegungen
Die Untersuchung des RH hat ergeben, dass die größte Steuerwirksamkeit und damit eine spürbare Verbesserung der Einnahmesituation des Fiskus im Wesentlichen aus der geänderten Abzugsposition der Verlustvorträge resultieren dürfte. Demgegenüber dürfte der vom Gesetzgeber erhoffte steuerliche Effekt der Mindestbesteuerung fraglich sein. Wenngleich die Steuereinnahmen in einigen Mindestbesteuerungsfällen geringfügig anstiegen, so darf doch keinesfalls außer Acht gelassen werden, dass die in den meisten Fällen eingetretene erhebliche Erhöhung der Verlustvortragsvolumen zu nicht unbedeutenden Mindereinnahmen in den künftigen Jahren führt. Insoweit bestätigen sich die gelegentlich von Steuerfachleuten geäußerten Vermutungen .
Die aufgezeigten steuerlichen Folgen der Mindestbesteuerung werden im Wesentlichen dadurch verursacht, dass die nach dem Gesamtbetrag der Einkünfte abzuziehenden Sonderausgaben, außergewöhnlichen Belastungen und sonstigen Abzugsbeträge auf Grund der Verlustkappung vielfach ihre volle Steuerwirksamkeit entfalten und zudem der Grundfreibetrag nicht ins Leere läuft. Hinzu kommt, dass die zeitliche Streckung des Verlustabzugs für die Steuerpflichtigen wegen des progressiven Tarifs sogar günstiger sein kann. Diese Vorteile werden gerade die Steuerbürger, die bisher Steuervergünstigungen und -schlupflöcher ausnutzten und somit wohl Hauptadressaten der Mindestbesteuerung sein sollten, nach allen Erfahrungen der zurückliegenden Jahre in Zukunft verstärkt in ihre steuerlichen Überlegungen einbeziehen. Die Steuerpflichtigen trifft allenfalls noch ein Liquiditäts- und Zinsnachteil.
Die Kompliziertheit der Neuregelungen zur Mindestbesteuerung, die mangelnde Verständlichkeit und Nachvollziehbarkeit, die hohe Fehlerträchtigkeit, der entstandene und künftig wohl noch zunehmende Verwaltungsaufwand sowie die in Zukunft absehbaren Mindereinnahmen stehen in krassem Widerspruch zur steuerlichen Wirksamkeit. Nach Auffassung des RH würde ein Verzicht auf die Mindestbesteuerung unter Beibehaltung der eingeschränkten Rücktragsmöglichkeiten und der geänderten Abzugsposition der Verlustvorträge und -rückträge im Wesentlichen den fiskalischen Vorstellungen des Gesetzgebers genügen.
Soweit der Gesetzgeber beabsichtigt hat, mit der Mindestbesteuerung unerwünschte Steuergestaltungen zu begrenzen und Steuerschlupflöcher zu schließen, sollte nach anderen Lösungswegen gesucht werden, zumal der Gesetzgeber selbst solche Steuergestaltungen durch entsprechende Bestimmungen des Ertragssteuerrechts erst eröffnet hat.
5 Ausblick
Der RH warnt vor dem Hintergrund seiner Prüfungsfeststellungen davor, die in jüngster Zeit angestellten und noch wesentlich weiter reichenden Überlegungen zur Ausweitung der Verlustverrechnungsvorschriften umzusetzen. Nach Einschätzung des RH wäre es sinnvoller, den umgekehrten Weg einzuschlagen, und das EStG durch einen Verzicht auf die Mindestbesteuerung sowie eine Reduzierung von Bestimmungen mit Subventionscharakter und mit außersteuerlichen Lenkungsintentionen zu vereinfachen. Der RH hat bereits 1997 bei seiner Untersuchung zur effektiven Steuerbelastung von Beziehern hoher Einkünfte (Denkschrift 1997, Nr. 4) die entsprechende Zielrichtung aufgezeigt.
6 Stellungnahme des Ministeriums
Das FM erhebt keine grundsätzlichen Einwendungen gegen den Beitrag. Es hält in Übereinstimmung mit dem RH weitere Verbesserungen bei der DV-Unterstützung für wünschenswert und wird auch prüfen, ob und inwieweit die Übernahme von DV-Hilfsprogrammen zur Berechnung der Verlustverrechnung möglich ist. Skeptisch äußert sich das FM hinsichtlich der vom RH vorgeschlagenen Fortbildungsmaßnahmen, da es sich bei der Verlustverrechnung um eine außerordentlich schwer zugängliche Materie handele.
7 Schlussbemerkung
Die vom RH vorgeschlagenen Fortbildungsmaßnahmen wären sicherlich entbehrlich, wenn es gelänge, die weitere Verkomplizierung der Verlustverrechnung nicht nur zu verhindern, sondern die Regelungen zu vereinfachen. Wird die Verlustverrechnung jedoch beibehalten oder noch verschärft, sollte von Fortbildungsmaßnahmen nicht abgesehen werden. Zu erwägen wäre die Ausbildung von wenigen Multiplikatoren. Zu bedenken ist hierbei auch, dass es den Bearbeitern in den Ämtern vielfach bereits an den einfacheren DV-Verfahrens- und Rechtskenntnissen mangelt. Vordringlich dürfte daher die Verbesserung der Grundlagenkenntnisse sein, um die hier aufgezeigten Bearbeitungsmängel bei den schon einfacheren Fallgestaltungen abzustellen. Das Abhandeln schwieriger Fallgestaltungen bis in die letzten, kaum nachvollziehbaren Verästelungen der Verlustverrechnung erscheint hierbei nachrangig.
Anhänge
Ein Erlass des Bundesfinanzministeriums zur einkommensteuerlichen Behandlung erstatteter Sonderausgaben wurde in Baden-Württemberg nicht zeitnah umgesetzt. Erst durch eine von der Finanzkontrolle kurzfristig eingeleitete Untersuchung konnten bedeutsame Fälle noch vor Eintritt der Verjährung korrigiert werden. Dadurch wurden Mehrsteuern in Höhe von 3,73 Mio. € festgesetzt.
1 Ausgangslage
1.1 Bei der Ermittlung des zu versteuernden Einkommens können bestimmte - im Einkommensteuergesetz abschließend aufgezählte - Aufwendungen unbeschränkt als Sonderausgaben abgezogen werden. Hierzu zählt u. a. die im jeweiligen Veranlagungszeitraum gezahlte Kirchensteuer.
1.2 Nach ständiger Rechtsprechung des Bundesfinanzhofs (BFH) dürfen Sonderausgaben allerdings nur in der Höhe zum Abzug gebracht werden, in der die Steuerbürger mit den entsprechenden Ausgaben tatsächlich und endgültig wirtschaftlich belastet sind. Die endgültige Höhe steht aber gerade bei der Kirchensteuer häufig noch nicht fest, weil sie von der Einkommensteuer abhängt und diese erst nachträglich durch das Finanzamt festgesetzt wird. Die Problematik wird durch das folgende typisierende Beispiel deutlich:
Im Rahmen des Lohnsteuerabzugs wurden für die Jahre 2001 und 2002 jeweils 10.000 € Lohnsteuer und 800 € Kirchensteuer einbehalten. Bei der im Jahr 2002 durchgeführten Einkommensteuerveranlagung 2001 wurde die Kirchensteuer in Höhe von 800 € als Sonderausgabe berücksichtigt. Durch den Ansatz höherer Werbungskosten ergab sich jedoch eine endgültige Einkommensteuer von nur 9.000 € und in der Folge eine endgültige Kirchensteuer von lediglich 720 €. Dem Bürger wurden die überzahlten Beträge (1.000 € Einkommensteuer und 80 € Kirchensteuer) im Jahr 2002 erstattet.
Im Ergebnis ist der Bürger für das Jahr 2001 damit nur in Höhe von 720 € endgültig mit Kirchensteuer belastet; bisher wurden jedoch 800 € steuermindernd berücksichtigt.
Bei konsequenter Anwendung des vom BFH entwickelten Grundsatzes wäre im Beispielsfall der Einkommensteuerbescheid 2001 zu ändern und die Kirchensteuer nur noch in Höhe von 720 € anzusetzen. Wegen der Vielzahl der betroffenen Steuerfälle lassen es Rechtsprechung und Verwaltungspraxis aus Vereinfachungsgründen jedoch zu, die erstattete Kirchensteuer mit der im Jahr der Erstattung gezahlten Kirchensteuer zu verrechnen; damit kommt im Erstattungsjahr nur noch der Saldo zum Abzug. Im Beispielsfall werden bei der Einkommensteuerveranlagung 2002 daher nur 720 € als Sonderausgaben berücksichtigt. Hierdurch wird der überhöhte Kirchensteuer-Abzug im Zahlungsjahr (2001) durch einen entsprechend niedrigeren Ansatz im Erstattungsjahr (2002) - abgesehen von möglichen Auswirkungen unterschiedlicher Steuersätze - ausgeglichen.
1.3 Ist im Jahr der Erstattung ein Ausgleich mit den im selben Jahr geleisteten Kirchensteuerzahlungen jedoch nicht oder nicht in voller Höhe möglich, steht dem überhöhten Abzug in den Vorjahren kein entsprechend niedrigerer Ansatz im Erstattungsjahr gegenüber. Um ein wirtschaftlich zutreffendes Besteuerungsergebnis herbeizuführen, ist in diesen Fällen daher der Sonderausgabenabzug für das Jahr der Kirchensteuerzahlung um die nachträgliche Erstattung zu mindern; ein bereits bestandskräftiger Steuerbescheid ist zu ändern.
Auf diese Folgen der Erstattung von Sonderausgaben in einem späteren Veranlagungszeitraum und auf die verfahrensrechtliche Änderungsmöglichkeit hat das Bundesfinanzministerium (BMF) durch Erlass vom 11.07.2002 hingewiesen.
2 Prüfungsanlass und Prüfungsdurchführung
2.1 Im Rahmen einer in der zweiten Jahreshälfte 2002 durchgeführten Prüfung bei einem Finanzamt hatte das StRPA Stuttgart festgestellt, dass der BMF-Erlass bis zu diesem Zeitpunkt noch in keinem entsprechenden Steuerfall angewandt worden war. Erstattungsüberschüsse bei der Kirchensteuer waren nicht zum Anlass genommen worden, die Steuerbescheide der Vorjahre zu ändern. Im Auftrag des RH hat das StRPA Stuttgart daraufhin die Behandlung entsprechender Fälle bei allen Finanzämtern des Landes geprüft.
2.2 Die Untersuchung wurde auf Erstattungsüberschüsse, die im Kalenderjahr 1998 angefallen waren, beschränkt, weil insoweit regelmäßig mit Ablauf des Jahres 2002 Festsetzungsverjährung eintrat. Ziel der Erhebungen war es daher auch, eine Änderung der unzutreffenden Steuerfestsetzungen noch im Jahr 2002 zu bewirken, um endgültige Steuerausfälle zu verhindern.
2.3 Der RH bat die Verwaltung, durch eine DV-Auswertung für sämtliche Finanzämter des Landes Listen über alle verjährungsbedrohten Steuerfälle zu erstellen, bei denen sich ein Kirchensteuererstattungsüberschuss von mindestens 5.112,92 € (10.000 DM) ergab. Diese Listen enthielten 676 Fälle mit Erstattungsüberschüssen von insgesamt 11,38 Mio. €. Sie wurden in der ersten Dezemberwoche an alle Finanzämter verteilt. Gleichzeitig erhielten die Finanzämter per Fax ein Schreiben des StRPA Stuttgart, in dem sie auf die drohende Verjährung der Fälle hingewiesen und um Änderung entsprechend der Vorgaben im oben genannten BMF-Erlass gebeten wurden.
3 Prüfungsergebnis
3.1 Fälle mit steuerlicher Auswirkung
3.1.1 In 535 der in die Untersuchung einbezogenen 676 Fälle wurden die Sonderausgaben um insgesamt rd. 7,70 Mio. € gekürzt. Dazu mussten 849 Steuerbescheide für Veranlagungszeiträume vor 1998 geändert werden. Die hierdurch festgesetzten Mehrsteuern betrugen rd. 3,73 Mio. €.
3.1.2 Die Erstattungsüberschüsse in den untersuchten Fällen lagen zwischen 5.112,92 € (Aufgriffsgrenze 10.000 DM) und rd. 393.000 €. Angesichts dieser erheblichen Bandbreite hat der RH die Fälle sechs Größenklassen zugeordnet. In der Übersicht wird die Zahl der Fälle auf die einzelnen Größenklassen verteilt. Daneben werden die Zahl der erlassenen Änderungsbescheide, die Höhe der gekürzten Sonderausgaben und die festgesetzten Mehrsteuern ausgewiesen.

Mit zunehmender Höhe der Erstattungsüberschüsse steigen auch die festgesetzten Mehrsteuern je Fall deutlich an und betragen bei Fällen mit Erstattungsüberschüssen von mehr als 25.000 € durchschnittlich 26.268 €. Zu beachten ist jedoch, dass auch in der untersten Größenklasse die Kürzung der Sonderausgaben bereits ein durchschnittliches steuerliches Ergebnis von über 45 % bewirkte. Aus wirtschaftlichen Überlegungen dürfte daher selbst bei Erstattungsüberschüssen von deutlich unter 5.000 € eine Korrektur der entsprechenden Steuerbescheide geboten sein. Nach Auffassung des RH muss dieser Gesichtspunkt bei der Aufarbeitung der Jahre 1999 bis 2001 hinreichend berücksichtigt werden (s. Pkt. 4.2).
3.1.3 In 27 Fällen mit Erstattungsüberschüssen von mehr als 25.000 € wurden Steuern von jeweils mehr als 20.000 € nachgefordert, in fünf dieser Fälle betrug die Nachforderung jeweils mehr als 100.000 €. Hierzu ein Beispiel:
Die Eheleute A leisteten im Kalenderjahr 1998 Kirchensteuerzahlungen in Höhe von rd. 16.000 €. Diesen Zahlungen stand im selben Kalenderjahr eine Kirchensteuererstattung für das Jahr 1996 in Höhe von 189.000 € gegenüber. Hiervon entfielen rd. 26.500 € auf zu viel geleistete Kirchensteuervorauszahlungen und rd. 162.500 € auf einen von der Kirche gewährten Steuererlass. Durch die vom StRPA Stuttgart veranlasste Änderung des Einkommensteuerbescheids wurden die Sonderausgaben 1996 um den Erstattungsüberschuss von 173.000 € gekürzt. Die Mehrsteuern aus diesem Fall beliefen sich auf rd. 90.000 €.
3.2 Verjährte Fälle
3.2.1 Obwohl das StRPA Stuttgart in seinem Fax vom 06.12.2002 auf die zum Jahresende drohende Festsetzungsverjährung und die dadurch bedingte besondere Eilbedürftigkeit der Bearbeitung ausdrücklich hingewiesen hatte, sind 32 Fälle verjährt. Dem Fiskus entstand dadurch ein Steuerausfall von insgesamt 162.805 €. Während bei drei Finanzämtern die rechtzeitige Bearbeitung lediglich in wenigen Einzelfällen unterblieb, haben zwei Finanzämter keinen einzigen der in Betracht kommenden Fälle vor Ablauf des Jahres 2002 bearbeitet.
3.2.2 Ein Finanzamt begründete dies damit, dass ihm weder die DV-Liste noch das Fax des StRPA Stuttgart zugegangen seien. Der Steuerausfall betrug allein in diesem Finanzamt 51.891 €. Einem anderen Finanzamt war die DV-Liste auf dem üblichen Weg zugegangen. Weil man die Bedeutung dieser Liste offensichtlich nicht erkannt hatte, wurde sie jedoch erst im Januar 2003 - nach Eintritt der Festsetzungsverjährung - an den zuständigen Hauptsachgebietsleiter weitergeleitet. Steuern in Höhe von 68.530 € konnten daher nicht mehr festgesetzt werden.
3.3 Fälle ohne unmittelbare steuerliche Auswirkung
In 104 Fällen konnten die Erstattungsüberschüsse nicht im Jahr der ursprünglichen Kirchensteuerzahlung verrechnet werden oder die Verrechnung führte zu keiner steuerlichen Auswirkung. Bei weiteren fünf Fällen ergaben sich lediglich Auswirkungen auf die verbleibenden Verlustvorträge. Diese wurden um insgesamt 33.718 € vermindert.
4 Bewertung und Vorschläge
4.1 Das FM und die OFDen hätten die Bedeutung des BMF-Erlasses erkennen und dessen Umsetzung rechtzeitig veranlassen müssen. Das Prüfungsergebnis zeigt, dass ohne die Erhebungen der Finanzkontrolle bereits hohe Steuerausfälle eingetreten wären. Wegen des entstandenen Zeitdrucks konnten nur noch Steuerfälle mit Erstattungsüberschüssen von mindestens 5.112,92 € (10.000 DM) aufgegriffen werden; die aus kleineren Fällen resultierenden, in der Summe auch erheblichen Steuerbeträge verfielen endgültig.
4.2 Für die Jahre 1999 bis 2001 ist die Verwaltung aufgefordert, alle bereits veranlagten Steuerfälle mit erheblichen Kirchensteuererstattungsüberschüssen zu überprüfen und die erforderlichen Änderungsbescheide zu erlassen. Nach Auffassung des RH sollte die Aufgriffsgrenze dabei deutlich unter den im Rahmen der Untersuchung gewählten 5.112,92 € (10.000 DM) liegen; sie sollte sich vielmehr am voraussichtlichen Aufwand für den Erlass der Änderungsbescheide orientieren.
4.3 Ab dem Veranlagungszeitraum 2002 hat die Verwaltung inzwischen bei Erstattungsüberschüssen von mehr als 1.000 € einen programmgesteuerten Bearbeitungshinweis für die Veranlagungsstellen eingeführt. Der RH hält einen solchen Hinweis für sinnvoll. Darüber hinaus sollte jedoch sichergestellt werden, dass der BMF-Erlass auch bei der erstmaligen Veranlagung von Steuerfällen für Zeiträume vor 2002 Beachtung findet, die nach der flächendeckenden Überprüfung der bereits veranlagten Steuerfälle durchgeführt werden (s. Pkt. 4.2) und bei denen sich Kirchensteuererstattungsüberschüsse ergeben.
5 Stellungnahme des Ministeriums
5.1 Das FM teilt mit, man habe die Bedeutung des BMF-Schreibens durchaus erkannt, jedoch auf den Erlass einer entsprechenden Anwendungsregelung bewusst verzichtet. Diese Verfahrensweise sei zwischen Bund und Ländern abgestimmt und diene dazu, das Dickicht bestehender Steuerregelungen nicht noch durch zusätzliche Länderanweisungen anzureichern. Gleichwohl habe man die Problemlage und die Auswirkungen erstmals im Juli 2002 mit den OFDen diskutiert, die Lösung habe wegen der komplexen Materie jedoch einen längeren Zeitraum - bis Ende November 2002 - in Anspruch genommen. Eine flächendeckende Überprüfung verjährungsbedrohter Fälle sei danach auf Grund der Arbeitsbelastung der Finanzämter nicht mehr möglich gewesen.
5.2 Hinsichtlich der fiskalischen Auswirkungen weist es darauf hin, dass in vielen Fällen gegen die geänderten Steuerbescheide Rechtsmittel eingelegt worden seien und daher die prognostizierten Mehrsteuern noch nicht als endgültig gesichert angesehen werden könnten.
5.3 Die ursprünglich auf 5.112,92 € (10.000 DM) festgelegte Aufgriffsgrenze für die Erstattungsüberschüsse der Jahre 1999 bis 2001 beabsichtigt das FM auf Grund neuerer Erkenntnisse nunmehr auf 2.000 € herabzusetzen.
6 Schlussbemerkung
6.1 Die Argumentation des FM unter Pkt. 5.1 überzeugt nicht. Die Erhebungen des RH vom Dezember 2002 haben gezeigt, dass auch in sehr kurzer Zeit noch eine erhebliche Anzahl unzutreffender Steuerfestsetzungen korrigiert werden können. Ein früherer Abschluss der Abstimmungen mit den OFDen und damit auch eine flächendeckende Überprüfung verjährungsbedrohter Fälle wäre möglich gewesen.
6.2 Der RH verkennt nicht, dass die geänderten Steuerbescheide in vielen Fällen angefochten werden. Er schließt auch nicht aus, dass es deswegen zu einem geringeren fiskalischen Ergebnis kommt, als dem RH bisher von den Finanzämtern mitgeteilt. Gleichwohl lässt die bestehende Rechtslage eine andere als die vom RH angeregte Verfahrensweise nicht zu.
6.3 Gegen die beabsichtigte Aufgriffsgrenze von 2.000 € für Erstattungsüberschüsse der Jahre 1999 bis 2001 hat der RH keine Bedenken.
Anhänge
Die Anfang der 90er Jahre errichteten Behelfsbauten zur Unterbringung von Spätaussiedlern stellen einen wirtschaftlichen Wert dar und können - auch im Hinblick auf die aktuelle Unterbringungsproblematik - immer noch genutzt werden. Der vielfach von Kommunen betriebene Rückbau der Behelfsbauten sollte möglichst vermieden werden. Land und Kommunen sind aufgefordert, im Einzelfall Lösungen zu finden, mit denen die Vernichtung wirtschaftlicher Werte und die Entstehung zusätzlicher Kosten vermieden werden.
1 Ausgangslage
1.1 Die Bundesländer sind verpflichtet, die in das Bundesgebiet aufgenommenen Aus- und Übersiedler vorläufig unterzubringen.
Im Jahr 1989 nahm das Land nach Angaben des IM 114.571 Aus- und Übersiedler auf. Nach damaligen Prognosen des Bundesinnenministeriums wurde für das Jahr 1990 mit weiteren 500.000 Aus- und Übersiedlern gerechnet. Bei einer Aufnahmequote von 16,9 % bedeutete dies für Baden-Württemberg einen Zugang von nochmals rd. 80.000 Personen.
Der zusätzliche Zugang an Übersiedlern aus der früheren DDR konnte s.Z. kaum eingeschätzt werden; man ging für das Land von weiteren rd. 30.000 Personen aus.
1.2 Die Unterbringung war nur Dank einer gewaltigen Kraftanstrengung der Landkreise und Kommunen möglich. Die Aufnahmekapazitäten waren jedoch - zumindest in den Ballungsräumen - bald restlos erschöpft. Problematisch wurde die Lage, als staatliche Stellen und private Vermieter damit drohten, Unterbringungsmöglichkeiten in ehemaligen Kasernen bzw. in Firmenwohnheimen u. dgl. zu kündigen. Weil eine Unterbringung auf dem freien Wohnungsmarkt oft aussichtslos war, wurden für die Aus- und Übersiedler in nicht unerheblichem Umfang auch Räume in Hotels, Gaststätten und Pensionen angemietet.
1.3 Nachdem der Zustrom von Aussiedlern weiter anhielt, war es für das Land schon bald dringend erforderlich, zusätzliche Unterbringungsmöglichkeiten kurzfristig selbst zu schaffen. Wegen der längeren Bauzeit und der höheren Kosten verzichtete man dabei auf eine Erstellung von Gebäuden in konventioneller Bauweise; statt dessen wurden einfach gestaltete Behelfsbauten in Holztafelbauweise, zumeist ohne Unterkellerung, erstellt. Im Außenbereich der Wohnanlagen wurden Kinderspielplätze und KFZ-Stellplätze geschaffen.
1.4 Mit einem Aufwand von rd. 133 Mio. € wurden in den Jahren 1989/1990 insgesamt 276 Gebäude (mit 13.500 Plätzen) errichtet, deren Baukosten je nach Ausstattung und Bauweise zwischen rd. 300.000 € und 450.000 € betrugen. Die Landesregierung ging davon aus, dass die Unterbringung der Aus- und Übersiedler in Behelfsbauten schon nach 3 - 4 Jahren wesentlich wirtschaftlicher sein würde als die Anmietung von Unterkünften im Hotel- und Gaststättenbereich.
1.5 Da das Land nicht über eine ausreichende Anzahl geeigneter Grundstücke verfügte, wurden zur Errichtung der Behelfsbauten überwiegend gemeindeeigene Grundstücke für einen befristeten Zeitraum gepachtet. Nach Ablauf der vereinbarten Nutzungszeit sollten die Gebäude anderweitig verwendet werden. Die Anschlussnutzung droht indes in der Mehrzahl der Fälle zu scheitern, weil Kommunen zunehmend den ihnen vertraglich optional zugesicherten Rückbau der Gebäude fordern.
2 Grundeigentumsverhältnisse und rechtliche Verpflichtungen des Landes
Die Problematik der weiteren Verwendung von Behelfsbauten wird im Wesentlichen von den in den Jahren 1989 und 1990 zwischen dem Land und einzelnen Kommunen geschlossenen Verträgen geprägt.
Der RH verkennt nicht, dass diese Rechtsbeziehungen in einer äußerst schwierigen Situation entstanden, die nur mit einer gewaltigen Kraftanstrengung aller Beteiligten gemeistert werden konnte. Die Aufnahmekapazitäten waren restlos erschöpft; die Menschen mussten teilweise in Turnhallen, Hotels und Gaststätten untergebracht werden; selbst eine Unterbringung in Zelten wurde diskutiert. Gleichwohl sind die damals geschlossenen Verträge für die Beurteilung und Lösung der heutigen Problematik von wesentlicher Bedeutung. So bilden die Vereinbarungen, die damals zur Behebung der Unterbringungsproblematik beitrugen, heute die maßgebliche Rechtsgrundlage für die Forderungen der Kommunen, Behelfsbauten abzubrechen oder zu entfernen.
Vertragliche Regelungen zwischen Land und Kommunen waren schon deshalb erforderlich, weil landeseigene (oder auch bundeseigene) Grundstücke in der Fläche nicht im notwendigen Umfang zur Verfügung standen. Da das Land gleichwohl über die zu errichtenden Gebäude verfügen wollte, wurden die erforderlichen Grundstücke vom Land - teils gegen Entgelt, teils gegen Überlassung der Gebäude nach Ende der vereinbarten Nutzungszeit - gepachtet; die Behelfsbauten wurden in diesen Fällen auf fremdem Grund und Boden errichtet. Da man von einer zeitlichen Begrenzung der Unterbringungsproblematik ausging, betrachtete man eine Nutzungsdauer der Grundstücke von voraussichtlich zehn Jahren als ausreichend.
In Abhängigkeit von den örtlichen Eigentumsverhältnissen an den verwendeten Grundstücken und vom Inhalt der jeweiligen Pachtverträge ergeben sich in der Praxis unterschiedliche Folgen für die weitere Verwendung der Behelfsbauten.
2.1 Behelfsbauten des Landes auf landeseigenen Grundstücken
Von den Rückbauforderungen der Kommunen am wenigsten betroffen sind Gebäude, die auf landeseigenen Grundstücken errichtet wurden. Sie können größtenteils auch heute noch für die Unterbringung von Aussiedlern genutzt werden. Das Land befindet sich auf Grund seiner Position als Grundeigentümer in diesen Fällen hinsichtlich der weiteren Duldung der Behelfsbauten in einer deutlich besseren Position gegenüber den Standortgemeinden. Nach Ablauf der ursprünglich geplanten Nutzungszeit wird lediglich die Verlängerung der befristeten Baugenehmigung notwendig.
2.2 Behelfsbauten des Landes auf gepachteten Grundstücken
Ungleich schwieriger als bei landeseigenen Grundstücken ist die Position des Landes dort, wo die Behelfsbauten auf gepachteten gemeindeeigenen Grundstücken errichtet wurden.
Angesichts des anhaltenden Unterbringungsdrucks stimmte die Mehrzahl der Kommunen zwar Verlängerungen dieser Verträge ebenso wie der Verlängerung der zeitlich befristeten Baugenehmigungen zu. In den meisten Fällen laufen jedoch auch die auf diesem Wege erreichten Vertragsverlängerungen in naher Zukunft aus.
Nochmalige Verlängerungen der Nutzungsfristen lehnen viele Kommunen ab und fordern statt dessen die Einhaltung der bestehenden Verträge. Nach den einschlägigen Regelungen sind die Grundstückseigentümer zumeist berechtigt, die Gebäude nach Beendigung des Pachtverhältnisses wahlweise gegen Zahlung des entsprechenden Zeitwertes zu erwerben oder vom Land den Abbruch zu verlangen.
Der Grund für diese Haltung vieler Kommunen ist nach den Erkenntnissen des RH weniger die Ablehnung der Behelfsbauten, weil diese sich z. B. nicht in die Umgebung einfügten und deshalb als störend empfunden würden. Die eigentliche Ursache dürfte vielmehr darin zu sehen sein, dass die Integration der Aussiedler in den letzten Jahren zunehmend schwieriger geworden ist. Nach 10- bis 12-jähriger Duldung der Behelfsbauten und ihrer Bewohner sehen viele Kommunen zudem ihre gesamtgesellschaftliche Pflicht als erfüllt an.
2.3 Gemeindeeigene Behelfsbauten
Sofern Kommunen selbst Behelfsbauten errichteten, wurden dafür Zuschüsse bis zur Höhe von rd. 9.000 € je Platz zur Verfügung gestellt.
Die Zuschüsse wurden davon abhängig gemacht, dass die Behelfsbauten dem Land zur vorläufigen Unterbringung von Aussiedlern für die Dauer von fünf Jahren und mit der Option zur Verlängerung auf weitere fünf Jahre mietfrei überlassen werden.
Rückgebaut wurden gemeindeeigene Gebäude nur dann, wenn übergeordnete Interessen (z. B. Ansiedlung von Gewerbebetrieben usw.) die Freimachung des Grundstücks erforderlich machten.
Während Gemeinden gegenüber dem Land verstärkt einen Rückbau fordern, ist der Rückbau bei gemeindeeigenen Gebäuden eher die Ausnahme.
3 Aktuelle Unterbringungssituation
Bei Betrachtung der aktuellen Unterbringungssituation darf nach Ansicht des RH nicht außer Acht gelassen werden, dass die unteren Eingliederungsbehörden nicht nur für die vorübergehende Unterbringung von Aussiedlern, sondern auch für die Unterbringung von Kontingentflüchtlingen und Asylbewerbern zuständig sind und sich die Behelfsbauten auf Grund ihrer Planung als Wohnheime grundsätzlich auch für die Aufnahme dieser oder auch anderer Personengruppen eignen.

Diese Zugänge waren damit deutlich geringer als im Jahr 1990, sie bewegten sich jedoch noch immer in einer Größenordnung, dass die zur Aufnahme vorgehaltenen Gebäude weiterhin gut ausgelastet sind.
Die aktuellen, unbestritten vorhandenen Unterbringungsprobleme werden durch die zunehmend geltend gemachte Forderung der Gemeinden, Behelfsbauten aufzugeben, deutlich verschärft, weil jeder Rückbau die Zahl der ursprünglich 13.500 zur Verfügung stehenden Wohnheimplätze weiter reduziert. Von den ehemals errichteten 276 Behelfsbauten wurden inzwischen mindestens 28 Gebäude zurückgebaut, bei etwa 30 weiteren Gebäuden ist der Abriss geplant. Ein Großteil der Pachtverträge läuft in den Jahren 2003 bis 2007 aus. Nur wenige Pachtverträge erlauben eine Nutzung der Grundstücke über diesen Zeitraum hinaus.
4 Weitere Verwendungsmöglichkeiten der Behelfsbauten
Im Rahmen seiner Erhebungen hat der RH zahlreiche Gebäude besichtigt. Dabei stellte sich heraus, dass die Gebäude auch nach inzwischen rd. 12-jähriger Nutzungszeit keine Mängel aufweisen, die eine weitere Nutzung unmöglich machen würden.
Nach den damaligen Plänen der Landesregierung waren die Gebäude auch nicht für die sich jetzt abzeichnende kurze Standzeit konzipiert. So wies der damalige Amtschef des FM bereits vor der Bauphase geäußerte Kritik von Landtagsabgeordneten hinsichtlich der Qualität der Gebäude als irreführend zurück. Der erweckte Eindruck, bei den Unterkünften handle es sich um „Wegwerf-Baracken“ sowie die Behauptung, „die Landesregierung gehe offenbar davon aus, dass die einfachen, im Wesentlichen nicht unterkellerten Häuser nur zehn Jahre lang haltbar seien“, sei falsch. Die auf zehn Jahre befristeten Baugenehmigungen waren allein deshalb beantragt worden, weil man davon ausging, dass dieser Zeitraum für den Zweck der Unterbringung von Aus- und Übersiedlern ausreicht. Danach sollten die Gebäude für andere Zwecke Verwendung finden.
Unabhängig von den geschilderten Rechtsbeziehungen bestehen aus Sicht des RH weitere Verwendungsmöglichkeiten für die Behelfsbauten, die nachfolgend dargestellt werden.
4.1 Ausdehnung der Standzeit bei Fortsetzung der bisherigen Nutzung
Eine Ausdehnung der Standzeit der Gebäude würde den derzeit noch immer vorhandenen Unterbringungsdruck mildern und insgesamt zu einer wirtschaftlicheren Nutzung führen. Nach Auffassung des RH sollte deshalb in erster Linie eine möglichst lange Nutzungsdauer angestrebt werden; aus rein baulicher Sicht steht dem nichts entgegen.
Diesen Weg hat die Vermögens- und Hochbauverwaltung (VBV) in Einzelfällen beschritten. Wegen des nach wie vor anhaltenden Unterbringungsdrucks beantragte beispielsweise ein Amt, die ausgelaufenen Baugenehmigungen für mehrere Behelfsbauten um weitere zehn Jahre bis zum Jahr 2012 zu verlängern. Das zuständige Landratsamt hat diesem Antrag stattgegeben. Die Gebäude können jetzt bis zum 16.02.2012 genutzt werden.
4.2 Anderweitige Nutzung am gleichen Standort
Sollte für einzelne Gebäude tatsächlich kein weiterer Bedarf mehr bestehen, könnten sie entsprechend der ursprünglichen Planung der Landesregierung auch für andere Zwecke genutzt bzw. nutzbar gemacht werden. Auf Grund der Holzständerbauweise sind selbst notwendige Umbaumaßnahmen (z. B. Herausnehmen von Wänden usw.) mit vertretbarem Aufwand durchaus möglich.
So nutzt beispielsweise eine Stadt inzwischen zwei Behelfsbauten als Schulräume. Durch Herausnehmen der Zwischenwände konnten insgesamt vier Klassenzimmer geschaffen werden. Eine andere Gemeinde nutzt ein Gebäude als Kindergarten.
4.3 Abbau und Wiederaufbau der Gebäude zur gleichen Nutzung an anderer Stelle
Die Holztafelbauweise lässt nicht nur Umbauten im Inneren der Gebäude zu. Vielmehr ist selbst ein Abbau und Wiederaufbau kompletter Gebäude möglich.
Von dieser Möglichkeit wurde z. B. Gebrauch gemacht, nachdem eine Stadt den Pachtvertrag gekündigt hatte, um die Grundstücke anderweitig zu verwenden. Die Umsetzung der betroffenen beiden Gebäude, die in Laufe des Jahres 2003 erfolgen soll, wird voraussichtlich 352.000 € kosten.
Unter der Voraussetzung, dass sich die Umsetzung als wirtschaftlich erweist, hält der RH auch eine solche weitere Nutzung der Behelfsbauten grundsätzlich für sinnvoll. Gleichwohl zeigt dieser Fall in anschaulicher Weise die negativen Auswirkungen der 1990 geschlossenen Pachtverträge, die den Gemeinden bereits nach wenigen Jahren einen Anspruch auf Rückbau der Behelfsbauten einräumen.
4.4 Abbau und Wiederaufbau der Gebäude an anderer Stelle für einen anderen Zweck
Behelfsgebäude wurden auch für einen anderen Zweck als den bisherigen abgebaut und wiederaufgebaut.
So veräußerte beispielsweise eine Gemeinde ein Gebäude an einen örtlichen Unternehmer. Dieser zerlegte das Gebäude und veräußerte es an einen Existenzgründer weiter. Eine Besichtigung des in anderer Form wieder aufgebauten und durch einige zusätzliche Bauteile ergänzten Gebäudes ergab, dass der ursprüngliche Behelfsbau zu einer attraktiven Betriebsstätte mit Wohnung für den Firmeninhaber wurde. Nach Aussagen des neuen Eigentümers seien durch diese Maßnahme im Vergleich mit einem Neubau deutlich geringere Kosten angefallen.
4.5 Veräußerung der Gebäude
Am ehesten möglich und rechtlich unproblematisch ist eine Veräußerung von Behelfsbauten durch die VBV, wenn die Gebäude auf landeseigenen Grundstücken errichtet wurden.
Wurden die Behelfsbauten auf gepachteten Grundstücken errichtet, scheidet eine Veräußerung durch die VBV dagegen aus, da die Grundstückseigentümer regelmäßig auch Eigentümer der Gebäude geworden sind.
Die VBV kann in diesen Fällen ggf. nur das Recht auf Wegnahme der errichteten Objekte einfordern und versuchen, die rückgebauten Gebäude zu veräußern oder einen Bereicherungsanspruch geltend machen.
So wurden Ende 1999 fünf Behelfsbauten einem privaten Unternehmer zum Abbau und zur nachfolgenden Wiederverwendung unentgeltlich überlassen. Ziel war es dabei, die für das Land teuren Abrisskosten von geschätzt rd. 100.000 € einzusparen. Die Gebäude wurden als Arbeiterunterkunft in die Schweiz verkauft. In einem anderen Fall veräußerte eine Stadt ein Gebäude einschließlich Grundstück für 136.000 €. Vom Kaufpreis erhielt die Stadt 82.000 € für das Grundstück und das Land 54.000 € für das Gebäude.
4.6 Rückbau bestehender Infrastruktur
Die Bemühungen der am Verfahren beteiligten Landesbehörden um die weitere Nutzung der Behelfsbauten waren indes nicht in allen Fällen erfolgreich. Sofern es in Zusammenarbeit mit den Eingliederungsbehörden nicht gelang, mit den Standortgemeinden eine weitere Verlängerung der Nutzungszeit zu vereinbaren oder eine andere Verwertungsmöglichkeit zu finden, war die VBV verpflichtet, die Gebäude abzubrechen.
Der RH verkennt nicht, dass es in Einzelfällen nachvollziehbare Gründe geben kann, die einen Rückbau rechtfertigen. Dies gilt vor allem für Behelfsbauten auf Grundstücken, die für die Ansiedlung von Gewerbebetrieben vorgesehen sind oder eine anderweitige städtebauliche Entwicklungsvorstellung behindern.
Aus wirtschaftlichen Überlegungen heraus - insbesondere aber vor dem Hintergrund der angespannten Lage der öffentlichen Haushalte - ist es aber im Ergebnis völlig unbefriedigend, dass einzelne Standortgemeinden allein wegen der bekannten Integrationsprobleme der Bewohner der Behelfsbauten auf einen Rückbau drängen. In solchen Fällen würden intakte Gebäude lediglich deshalb rückgebaut, um die Bewohner zu einem Wohnortswechsel zu zwingen. Die bestehenden Probleme werden damit jedoch nicht gelöst, sondern lediglich - mit hohen Kostenbelastungen für den Landeshaushalt - in andere, teilweise nur wenige Kilometer entfernte Gemeinden verlagert.
5 Wertung
Das in den Jahren 1989/1990 von der Landesregierung beschlossene Behelfsbautenprogramm zur Unterbringung des erheblichen Zustroms von Aus- und Übersiedlern sorgte mit seinen insgesamt 13.500 Plätzen für die dringend notwendige Entlastung der damals bestehenden Wohnungsnot. Die s.Z. geplante Nutzungsdauer der Gebäude von längstens zehn Jahren ergab sich aus der Erwartung, dass die vorübergehende Unterbringung von Aussiedlern längstens für diesen Zeitraum notwendig sei. Nicht vorhersehbar war, dass der Zustrom nicht nur von Aussiedlern, sondern ebenso von Kontingentflüchtlingen und Asylbewerbern auch heute noch in einer nur schwer beherrschbaren Größenordnung anhält. Obwohl sich sämtliche mit der vorübergehenden Unterbringung von Personen befassten Behörden auf Grund der in den Jahren 1989/1990 aus einer Notlage heraus geschlossenen Pachtverträge heute in einer unbefriedigenden Situation befinden, sollen die damaligen Verträge nicht im Nachhinein hinterfragt werden.
Wichtiger ist nach Auffassung des RH die Einsicht aller Beteiligten, dass die gesamtgesellschaftliche Aufgabe, Personen vorübergehend durch das Land unterbringen zu müssen, weiterhin Bestand hat und gelöst werden muss. So räumen alle beteiligten Stellen einschließlich der betroffenen Kommunen unumwunden ein, dass derzeit und wohl auch künftig in Baden-Württemberg Wohnheimplätze dringend benötigt werden. Dieser Bedarf könnte mit Hilfe der Behelfsbauten gedeckt werden, die sich in einem unbestritten guten baulichen Erhaltungszustand befinden.
Der RH anerkennt ausdrücklich die bisherigen Anstrengungen der Landesbehörden zum Erhalt der Behelfsbauten. Sie konnten die Lage insoweit entschärfen, als es in Verhandlungen mit Kommunen gelang, die bestehende Notlage durch Verlängerungen der Nutzungsdauer der gepachteten Grundstücke etwas abzumildern. Leider wurde dies jedoch nicht flächendeckend erreicht. Vielmehr bestehen zahlreiche Kommunen verstärkt auf der in den Pachtverträgen verankerten Möglichkeit, eine Entfernung der Behelfsbauten zu verlangen.
Sollten die von den unteren Eingliederungsbehörden eindringlich vorgetragenen Befürchtungen einer neuen Wohnungsnot für vorübergehend unterzubringende Personen Realität werden, erscheint es mehr als fraglich, ob das Land in der Lage sein würde, seine Aufgabe zu erfüllen, wenn die Behelfsbauten nicht mehr zur Verfügung stehen.
Der RH hält es vor diesem Hintergrund nicht für vertretbar, dass die bestehende intakte Infrastruktur, die erst vor 12 Jahren mit einem hohen finanziellen Aufwand geschaffen wurde, heute auf Betreiben zahlreicher Standortgemeinden größtenteils aufgegeben werden soll. Gleichzeitig sind andere Wohnheime bei einer Belegungsquote von bis zu 98 % am Rande ihrer Kapazität angelangt, und die unteren Eingliederungsbehörden sind deshalb gezwungen, zusätzlich Objekte anzumieten.
Es ist zwar nachvollziehbar, dass viele Kommunen die Einhaltung der damaligen Pachtverträge einfordern. Bei der hier gebotenen gesamtstaatlichen Betrachtungsweise kann mit der Vertragserfüllung aber nicht der Schlusspunkt gesetzt werden. Die weitgehende Vernichtung der intakten Infrastruktur führt zu ganz erheblichen wirtschaftlichen Schäden für das Land, die nicht zuletzt angesichts der leeren öffentlichen Kassen abgewendet werden müssen.
Nach Auffassung des RH gilt es dabei auch zu bedenken, dass sich die Ausgangslage beim Abschluss der jeweiligen Pacht- und Nutzungsverträge mit den Standortgemeinden inzwischen grundlegend gewandelt hat. Zur Lösung der Problematik sind Land und Kommunen gleichermaßen aufgerufen.
6 Empfehlung
Vor dem Hintergrund des anhaltenden Unterbringungsdrucks und dem weiterhin bestehenden Bedarf an Behelfsbauten sind nach Ansicht des RH alle Beteiligten in der Pflicht, die gesamtgesellschaftliche Aufgabe gemeinsam zu lösen.
Der RH empfiehlt deshalb,
- die vorhandenen Behelfsbauten für die Unterbringung sämtlicher unterzubringender Personengruppen zu nutzen,
- die Nutzungsdauer der Behelfsbauten durch intensive Nachverhandlungen mit den Kommunen zu verlängern,
- Behelfsbauten nur dort ausnahmsweise aufzugeben, wo
- nachweislich kein weiterer Bedarf für deren Vorhaltung mehr besteht,
- auf Grund örtlicher oder wirtschaftlicher Gegebenheiten eine weitere Vorhaltung nachweislich nicht zumutbar ist oder
- die Grundstücke für andere übergeordnete Vorhaben benötigt werden,
- im Rahmen eines aktiven Immobilienmanagements gemeinsam mit den Standortgemeinden eine andere Verwendung für nachweislich entbehrliche Gebäude zu suchen und
- Rückbauten soweit möglich zu vermeiden.
7 Stellungnahme der Ministerien
Das FM und das IM teilen die Auffassung des RH, dass der Abbruch von Behelfsbauten vermieden werden sollte. Beide Ministerien sind bestrebt, die aus heutiger Sicht nachteiligen Folgen aus den damaligen Pachtverträgen abzuwenden oder wenigstens abzumildern. Sofern Kommunen auf ihren vertraglichen Anspruch auf Grundstücksfreimachung pochen, werden allerdings wenig Möglichkeiten gesehen, einen Abbruch zu verhindern. Die VBV wurde vom FM aufgefordert, entsprechend den vorgenannten Empfehlungen (s. Pkt. 6) zu verfahren.
8 Schlussbemerkung
Der RH verkennt nicht, dass die Errichtung von Behelfsbauten für Spätaussiedler aus damaliger Sicht wirtschaftlicher war als die teure Unterbringung in Hotels und Pensionen. Eine Ausdehnung der Standzeit würde jedoch zu einer noch wirtschaftlicheren Nutzung führen. Bei Wegfall der Behelfsbauten und einem voraussichtlich weiter anhaltenden Zugang auf heutigem Niveau müsste eine längerfristig tragfähige Ersatzlösung gefunden werden.
Land und Kommunen sind deshalb nach Auffassung des RH gleichermaßen gefordert, gemeinsam eine für alle Seiten verträgliche Lösung des Problems zu erarbeiten. Modifizierungen der unter anderen Voraussetzungen geschlossenen Pachtverträge müssen angesichts der geänderten Lage angegangen werden und auch möglich sein. Eine weitgehende Vernichtung der nach wie vor notwendigen Infrastruktur lassen weder die aktuelle Aufgabenstellung noch die dramatische Lage der öffentlichen Haushalte zu.
Anhänge
Einzelplan 14: Ministerium für Wissenschaft, Forschung und Kunst
Der von den Universitätsklinika praktizierte Abruf von Investitionsmitteln führte 2001 zu einer vermeidbaren Kreditaufnahme des Landes von rd. 73 Mio. € mit Zinsaufwendungen des Landes von rd. 3 Mio. €. Durch die geänderte Bewirtschaftungs-befugnis für die Mittel der Universitätsklinika sind diesen in der Zeit von 1998 bis 2001 rd. 41 Mio. € Zinserlöse zugeflossen. Für Beihilfezahlungen an künftige Versorgungsempfänger wurden notwendige Rückstellungen bisher nicht gebildet.
1 Ausgangslage
Zum 01.01.1998 wurden die vier Universitätsklinika (UK) von Landesbetrieben in rechtsfähige Anstalten des öffentlichen Rechts der Universitäten umgewandelt. Ihnen fließen auch danach erhebliche finanzielle Leistungen des Landes zu.
Nach der Prüfung der Auswirkungen der rechtlichen Verselbstständigung der Zentren für Psychiatrie, über die in den Denkschriften 2001 (Nr. 16) und 2002 (Nr. 20) berichtet wurde, hat der RH nun die entsprechenden Auswirkungen bei den UK untersucht.
2 Zuschüsse des Landes und Mittelbewirtschaftung
2.1 Zuschüsse des Landes
Die UK sind Krankenhäuser der Maximalversorgung. Der Zuschuss für Forschung und Lehre wird vom Land über die bei den Universitäten angesiedelten Medizinischen Fakultäten gewährt, in deren Auftrag die UK die kassenmäßige Abwicklung dieser Mittel übernehmen. Außerdem bezahlt das Land den UK in Form eines Landeszuschusses die nicht pflegesatzfähigen Betriebskosten - Aufwendungen für Instandhaltungen, Mieten, Wohnheime usw. - und die Investitionskosten. Die Landeszuschüsse für die Hochschulmedizin seit 1998 sind in Übersicht 1 dargestellt.
Die darin angegebenen Betriebsmittel basieren auf den LHR, die angegebenen Haushaltsreste bei den Investitionsmitteln geben die im StHpl. bewilligten, aber von den UK noch nicht abgerufenen Zuschüsse an.

2.2 Mittelbewirtschaftung der Universitätsklinika
Durch die rechtliche Verselbstständigung der UK und die damit einhergegangene Trennung von UK und Medizinischen Fakultäten seit 1998 haben sich die Mittelbewirtschaftung der UK und der Mittelabfluss der Landeszuschüsse vom Land an die UK wesentlich verändert.
Vor 1998 haben die UK ihren gesamten Zahlungsverkehr im Zusammenhang mit Krankenversorgung, Forschung und Lehre und Investitionen über die LOK abgewickelt. Dies hatte zur Folge, dass die UK aus flüssigen Mitteln keine Zinseinnahmen erwirtschaften konnten. Eine Ausnahme galt nur für die Drittmittel, die die UK verwalteten. Ihr Bestand belief sich zum 31.12.1997 auf rd. 30,4 Mio. €. Auch die im StHpl. bewilligten Mittel standen den UK auf einem Konto der LOK zur Verfügung und wurden von dort grundsätzlich erst dann abgerufen, wenn sie für Zahlungen der UK benötigt worden sind. Die verfügbaren Mittel der UK befanden sich damit regelmäßig bei der LOK und damit im Geldkreislauf des Landes.
Seit der rechtlichen Verselbstständigung bewirtschaften die UK ihre Mittel selbst. Deswegen hat das Land zum 01.01.1998 auch die bei den LOK zum 31.12.1997 vorhandenen Mittel von rd. 111,7 Mio. € an die UK zur eigenen Bewirtschaftung ausgezahlt, d. h. auf deren Bankkonten übertragen. Darin enthalten waren rd. 48,2 Mio. € noch nicht in Anspruch genommene Investitionsmittel. Außerdem fließen seit 1998 die Investitionszuschüsse beim Land z. T. früher ab als bisher. Von den LOK-Konten wurden die Mittel von den UK über die Universitäten teilweise unabhängig vom Finanzbedarf der UK abgerufen und auf deren Bankkonten überwiesen. Die einzelnen UK haben sich insoweit unterschiedlich verhalten. Dementsprechend haben sie bei sich in unterschiedlicher Höhe Bestände nicht verbrauchter Investitionsmittel gebildet; deren Umfang ist in Übersicht 2 dargestellt.

Von den vier UK sind im Wesentlichen die UK Freiburg und Tübingen im Besitz hoher Investitionsmittel des Landes, die sie noch nicht verausgabt haben. Wären den UK diese Landesmittel erst beim entsprechenden Bedarf ausgezahlt worden, wären auf Seiten des Landes Ende 2001 Mittel in Höhe von rd. 73 Mio. € mehr vorhanden gewesen, denen allerdings Verpflichtungen in gleicher Höhe gegenübergestanden hätten. In dieser Höhe hätten zu diesem Zeitpunkt deswegen Kreditaufnahmen des Landes vermieden werden können.
3 Zinseinnahmen der Universitätsklinika
Während die UK bis Ende 1997 statusbedingt nur Zinseinnahmen aus der Anlage von Drittmitteln erwirtschaften konnten, bewirtschaften sie seit ihrer rechtlichen Selbstständigkeit sämtliche Mittel selbst und haben seitdem erhebliche Zinseinnahmen erzielt. Deren Höhe ist aus Übersicht 3 ersichtlich.

Die positive Entwicklung der Zinseinnahmen der UK ist auf einen Zuwachs der liquiden Mittel und auf eine verbesserte Anlagepolitik zurückzuführen.
Gliedert man die Zinseinnahmen nach ihrer Herkunft, geht von einem errechneten Zinssatz aus allen Einzelanlagen eines UK aus und legt für die Anlagenhöhe den Mittelwert der Gelder am Jahresanfang und -ende zu Grunde, so ergibt sich das in Übersicht 4 dargestellte Bild.

Die in Übersicht 4 vorgenommene Gliederung der Zinserträge berücksichtigt deren unterschiedlichen Charakter:
Die UK konnten bereits vor ihrer rechtlichen Selbstständigkeit Zinsen aus der Anlage von Drittmitteln erzielen. Den seitdem zusätzlich erzielten Zinsen aus Pensionsrückstellungen stehen jährlich wesentlich stärker zunehmende Pensionsverpflichtungen gegenüber. Entsprechendes gilt für die Rückstellungen für Altersteilzeit. Lediglich die Zinseinnahmen aus noch nicht verbrauchten Investitionsmitteln - 2001 in Höhe von rd. 3,0 Mio. € - und die sonstigen Zinserträge - 2001 in Höhe von rd. 11,3 Mio. € - stellen Einnahmen der UK dar, die durch die Veränderung ihrer Rechtsform bedingt sind und den UK seit 1998 insoweit zusätzlich zur Verfügung stehen. Bezogen auf die vier Jahre seit der Rechtsformänderung handelt es sich um insgesamt 41 Mio. €, die den UK auf diese Weise zusätzlich zugeflossen sind.
Eine Auswertung der von den UK durchschnittlich erzielten Habenzinsen und ein Vergleich mit den durchschnittlichen Sollzinsen, die das Land in derselben Zeit für Kredite zu zahlen hatte, ergibt gegenüber den Habenzinsen der UK einen um rd. 1,25 Prozentpunkte höheren Sollzins des Landes (Zinsspanne).
4 Empfehlungen des Rechnungshofs
Durch die geänderte Mittelbewirtschaftung, die Auszahlung der noch nicht in Anspruch genommenen Investitionsmittel zum Zeitpunkt der Rechtsformänderung und den vorzeitigen Abruf von rd. 24,7 Mio. € Investitionsmitteln durch die UK sind diesen im Vergleich zu der Zeit vor der Rechtsformänderung zu Lasten des Landes finanzielle Zinsvorteile entstanden. Die jährlichen Zinserträge der UK sind seit 1998 deutlich angestiegen und haben im Jahr 2001 insgesamt 18,5 Mio. € betragen. Soweit sie aus den UK zugeflossenen und noch nicht verbrauchten Investitionsmitteln stammen, werden sie künftig durch stringentere Regelungen des Mittelabrufs entfallen. Die in Übersicht 4 als sonstige liquide Mittel dargestellten Zinsanteile sind eine notwendige Folge der Rechtsformänderung und der damit verbundenen Mittelbewirtschaftung, die vom Land auf die rechtlich selbstständigen UK übergegangen ist. Dadurch stehen derzeit steigenden Finanzmitteln der UK, die diesen Zinsen einbringen, Kreditaufnahmen des Landes gegenüber, die ohne rechtliche Verselbstständigung der UK nicht nötig gewesen wären. Zugleich nehmen allerdings die Risiken der UK im Bereich der Krankenversorgung zu, da die Deckungslücke zwischen den Personalkostensteigerungen und der Erlösentwicklung zunehmend größer wird.
Der RH hat den Ministerien vorgeschlagen,
- das Abrufverfahren so zu regeln, dass diese Mittel vom Land künftig erst dann ausgezahlt werden, wenn sie von den UK unmittelbar benötigt werden. Soweit die UK derzeit nicht verbrauchte Investitionsmittel besitzen, können sie weitere Haushaltsmittel erst in Anspruch nehmen, wenn die vorzeitig abgerufenen Mittel verbraucht sind,
- politisch zu entscheiden, ob die gegenwärtige Mittelbewirtschaftung korrigiert werden soll,
- im Zuge der Haushaltsberatungen zu entscheiden, wie Zinserträge der UK bei den Finanzzuschüssen des Landes zu berücksichtigen sind.
5 Stellungnahme der Ministerien und Position des Rechnungshofs
Das MWK und das FM haben die entsprechende Änderung des Abrufverfahrens der Investitionsmittel zugesagt. Hierbei ist ab dem Jahr 2004 eine Verfahrensweise wie bei den Zentren für Psychiatrie vorgesehen, sodass Investitionsmittel erst dann abgerufen werden dürfen, wenn die jeweils vorhandenen, vorzeitig abgerufenen Mittel verbraucht sind. Durch einen Haushaltsvermerk soll bei der Aufstellung des Haushalts 2004 sichergestellt werden, dass die veranschlagten und nicht abgeflossenen Investitionsmittel auch in den Folgejahren zur Verfügung stehen. Im Übrigen weisen die Ministerien darauf hin, dass die UK seit 1998 wesentliche, den Betrag der vorzeitig abgerufenen Mittel weit übersteigende, Investitionsaufwendungen aus eigenen Mitteln vorgenommen und für 1998 und 1999 den Zuschuss des Landes für Forschung und Lehre in Höhe von insgesamt rd. 29 Mio. € zinslos vorfinanziert hätten (vgl. StHpl. 2000 - 2003, Kap. 1410, 1412, 1415, 1421 jeweils Tit. 682 97 - Erläuterungen zu den Finanzplänen). Dem Land sei deswegen insoweit kein Nachteil aus der Rechtsformänderung entstanden.
Eine Rückübertragung des Cash Managements der UK zum Land ist nach Ansicht des FM und des MWK nicht möglich. Die Ministerien seien aber bereit - nachdem ein früherer erster Anlauf ergebnislos geblieben war - mit den UK Gespräche über eine für alle Beteiligten vorteilhafte Anlage ausgewählter langfristiger liquider Mittel der UK beim Land wieder aufzunehmen.
Die Zinserträge der UK aus dem Cash Management könnten bei der Bemessung der Landeszuschüsse nicht berücksichtigt werden, weil sie überwiegend aus ihrer wirtschaftlichen Betätigung in der Krankenversorgung stammten und sie auch deren finanzielle Risiken zu tragen hätten, die sich durch die Einführung des neuen Vergütungssystems der Fallpauschalen noch verschärfen würden. Eine Anrechnung der Zinserträge auf die Landeszuschüsse wäre kontraproduktiv, weil dadurch die Möglichkeiten der UK zu einer selbstständigen und nachhaltigen Wirtschaftsführung beschnitten und durch fehlende Anreize die Erfolge der Hochschulmedizinreform massiv eingeschränkt würden. Die beiden Ministerien hielten das für eine Fehlsteuerung, die gerade angesichts der strukturellen Umbrüche im Gesundheitswesen, letztlich auch die Beeinträchtigung des Landes als Gewährträger zur Folge haben könnte.
Es ist zutreffend, dass die UK seit 1998 nicht nur den Landeschuss für Forschung und Lehre zeitweise vorfinanziert, sondern auch Investitionen aus eigenen Mitteln bestritten haben. Der RH weist aber darauf hin, dass auch in den letzten Jahren vor der Rechtsformänderung Investitionen aus Mitteln der UK in vergleichbarem Umfang finanziert worden sind. Die rechtliche Verselbstständigung der UK hat im Bereich des Cash Managements zu einer Verlagerung der Zinseinnahmen auf die UK geführt. Damit verlagert sich nicht nur die Entscheidung, wie über sie verfügt wird, letztlich vom Haushaltsgesetzgeber auf die Entscheidungsgremien der UK. Zugleich werden dadurch beim Land höhere Kreditaufnahmen als vor der Rechtsformänderung ausgelöst, mit der Folge von Sollzinsen des Landes, welche die Habenzinsen der UK übertreffen. Bei einer Zinsspanne von 1,25 % entsprach dies im Jahr 2001 einem Betrag von rd. 4,5 Mio. €. Die von den Ministerien angestrebte Änderung bei der Anlage ausgewählter langfristiger liquider Mittel verringert diese Auswirkung nur teilweise.
6 Pensionsrückstellungen
Als rechtsfähige Anstalten sind die UK seit 1998 verpflichtet, für ihre Beamten die Versorgungslasten zu erwirtschaften, § 11 Abs. 6 Universitätsklinika-Gesetz. Zu diesem Zweck bilden sie Rückstellungen. Pensionsverpflichtungen aus der Zeit vor 1998 sind vom Land zu tragen. Die Pensionsrückstellungen der UK entlasten das Land von künftigen Pensionslasten, die das Land ohne Rechtsformänderung der UK selbst zu tragen gehabt hätte, ohne dafür Rückstellungen gebildet zu haben. Die Höhe der Pensionsverpflichtungen insgesamt sowie der auf das Land und der auf die UK entfallende Anteil daran sind in Übersicht 5 dargestellt.

Die UK haben in ihren Jahresabschlüssen ihren Anteil an den Pensionsrückstellungen als Eigenanteil ausgewiesen, der sich auf das Jahresergebnis auswirkt. Der Anteil des Landes erscheint in der Bilanz als Forderung aus Pensionsverpflichtungen an das Land; er beeinflusst das jeweilige Jahresergebnis der UK nicht.
7 Rückstellungen für Beihilfeverpflichtungen gegenüber künftigen Versorgungsempfängern
Die UK haben bisher bei ihren Pensionsrückstellungen die Beihilfeansprüche künftiger Ruhestandsbeamter nicht berücksichtigt. Nach den Haushaltsrechnungen der Jahre 1997 bis 2000 entsprechen diese Ansprüche - bezogen auf alle Versorgungsempfänger des Landes - wertmäßig 14 % der Pensionsleistungen. Dieser Prozentsatz stellt für die UK die Untergrenze der notwendigen Rückstellungen dar, weil bei ihnen ausscheidende Beamte nur noch durch Angestellte ersetzt werden und wegen des deshalb ansteigenden durchschnittlichen Lebensalters der Versorgungsempfänger mit einem stärkeren Anstieg der Beihilfeaufwendungen als beim Land zu rechnen ist. Die Höhe der bis 2001 erforderlichen Rückstellungen ist in Übersicht 6 dargestellt.

Die seit 1998 in den Jahresrechnungen nicht erfolgten Rückstellungen für Beihilfeaufwendungen für Versorgungsempfänger betragen bei den vier UK auf der Grundlage der für das Geschäftsjahr 2001 maßgeblichen Beträge insgesamt rd. 7 Mio. €.
Die UK werden in ihren Jahresabschlüssen 2002 erstmalig auch Rückstellungen für Beihilfeaufwendungen ausweisen. Ob eine anteilige Übernahme der Beihilfeaufwendungen durch das Land erfolgt, war bisher ungeklärt. Der RH hat insoweit darauf hingewiesen, dass das Land bei den Zentren für Psychiatrie eine anteilige Erstattung der Beihilfeaufwendungen entsprechend dem Anteil der vom Land zu tragenden Pensionsverpflichtungen für Ruhestandsbeamte vornimmt. Das FM hat zugesagt, ab dem Hj. 2004 auch bei den UK so zu verfahren. Dies wird in Form einer entsprechenden Forderungsposition gegenüber dem Land (entsprechend den Pensionsrückstellungen) in den Jahresabschlüssen berücksichtigt werden.
8 Schlussbetrachtung
Die Rechtsformänderung zum 01.01.1998 hat den UK neue Handlungsspielräume eröffnet und sie nach Einschätzung der Landesregierung in die Lage versetzt, sachgerechter auf Veränderungen und Risiken im Gesundheitswesen zu reagieren. Mit der größeren Selbstständigkeit sind aber auch zwangsläufig Nachteile und neue Belastungen für den Landeshaushalt verbunden. Es gilt, diese im Rahmen der rechtlichen Möglichkeiten einzugrenzen. Der Spielraum des Landes ist allerdings als Folge der rechtlichen Verselbstständigung der UK gering.
Anhänge
Der RH berichtet hier über Auswirkungen der Tätigkeit der Finanzkontrolle. Der Bericht gibt die Umsetzung einiger bedeutsamer Vorschläge aus früheren Denkschriftbeiträgen, aus Berichten an den Landtag sowie einer prüfungsorientierten Beratung wieder und stellt, soweit dies möglich ist, auch dar, welche finanziellen Auswirkungen hiermit verbunden waren. Die Darstellung soll dem Parlament zeitgleich mit der Vorstellung der Denkschrift einen Überblick über wesentliche Ergebnisse aus früheren Prüfungen und über die Umsetzung seiner Beschlüsse vermitteln. Die nachstehend aufgeführten Sachverhalte sind nicht mehr Gegenstand des laufenden Verfahrens zur Entlastung der Landesregierung im Sinne von § 97 Abs. 1 LHO.
[Der gesamte Text einschließlich Einzelergebnisse ist in der nachfolgenden PDF-Datei enthalten]
Anhänge